Giải bài 11 trang 125 sgk Hình học 11
Câu hỏi trắc nghiệm chương 3
Video Giải Bài 11 trang 125 SGK Hình học 11 - Cô Ngô Hoàng Ngọc Hà (Giáo viên VietJack)
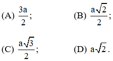
Bài 11 (trang 125 SGK Hình học 11): Khoảng cách giữa hai cạnh đối của một tứ diện đều cạnh a bằng kết quả nào trong các kết quả sau đây?
Lời giải:
Xét tứ diện ABCD là tứ diện đều cạnh a.
Gọi I và K lần lượt là các trung điểm của BC và AD.
Ta có: IA = ID (hai trung tuyến của hai tam giác đều bằng nhau)
Nên tam giác IAD cân tại I.
Do đó IK ⊥ AD
Tương tự ta có: IK ⊥ BC.
Ta có: (đường trung tuyến trong tam giác đều)
Vậy IK là đường vuông góc chung của hai cạnh đối diện AD và BC của tứ diện đều.
Tam giác AIK vuông tại K nên:

Vậy d(AD, BC) = IK = .
Chọn đáp án B
Các bài giải bài tập Toán 11 Hình học Câu hỏi trắc nghiệm chương 3 khác:
Bài 1 (trang 122 SGK Hình học 11): Trong các mệnh đề sau đây, ...
Bài 2 (trang 122 SGK Hình học 11): Tìm mệnh đề sai trong các mệnh đề ...
Bài 3 (trang 123 SGK Hình học 11): Trong các kết quả sau đây ...
Bài 4 (trang 123 SGK Hình học 11): Trong các mệnh đề sau đây ...
Bài 5 (trang 123 SGK Hình học 11): Trong các mệnh đề sau đây...
Bài 6 (trang 123 SGK Hình học 11): Tìm mệnh đề sai trong các mệnh đề ...
Bài 7 (trang 123 SGK Hình học 11): Trong các mệnh đề sau đây...
Bài 8 (trang 123 SGK Hình học 11): Trong các mệnh đề sau đây...
Bài 9 (trang 124 SGK Hình học 11): Trong các mệnh đề sau đây...
Các bài giải Hình học 11 Chương 3 khác:
- Bài 5 : Khoảng cách
- Câu hỏi ôn tập chương 3
- Bài tập ôn tập chương 3
- Câu hỏi trắc nghiệm chương 3
- Bài tập ôn tập cuối năm
Tủ sách VIETJACK shopee lớp 10-11 (cả 3 bộ sách):
Đã có app VietJack trên điện thoại, giải bài tập SGK, SBT Soạn văn, Văn mẫu, Thi online, Bài giảng....miễn phí. Tải ngay ứng dụng trên Android và iOS.
Theo dõi chúng tôi miễn phí trên mạng xã hội facebook và youtube:Nếu thấy hay, hãy động viên và chia sẻ nhé! Các bình luận không phù hợp với nội quy bình luận trang web sẽ bị cấm bình luận vĩnh viễn.
- Giải Tiếng Anh 11 Global Success
- Giải sgk Tiếng Anh 11 Smart World
- Giải sgk Tiếng Anh 11 Friends Global
- Lớp 11 - Kết nối tri thức
- Soạn văn 11 (hay nhất) - KNTT
- Soạn văn 11 (ngắn nhất) - KNTT
- Giải sgk Toán 11 - KNTT
- Giải sgk Vật Lí 11 - KNTT
- Giải sgk Hóa học 11 - KNTT
- Giải sgk Sinh học 11 - KNTT
- Giải sgk Lịch Sử 11 - KNTT
- Giải sgk Địa Lí 11 - KNTT
- Giải sgk Giáo dục KTPL 11 - KNTT
- Giải sgk Tin học 11 - KNTT
- Giải sgk Công nghệ 11 - KNTT
- Giải sgk Hoạt động trải nghiệm 11 - KNTT
- Giải sgk Giáo dục quốc phòng 11 - KNTT
- Giải sgk Âm nhạc 11 - KNTT
- Lớp 11 - Chân trời sáng tạo
- Soạn văn 11 (hay nhất) - CTST
- Soạn văn 11 (ngắn nhất) - CTST
- Giải sgk Toán 11 - CTST
- Giải sgk Vật Lí 11 - CTST
- Giải sgk Hóa học 11 - CTST
- Giải sgk Sinh học 11 - CTST
- Giải sgk Lịch Sử 11 - CTST
- Giải sgk Địa Lí 11 - CTST
- Giải sgk Giáo dục KTPL 11 - CTST
- Giải sgk Hoạt động trải nghiệm 11 - CTST
- Giải sgk Âm nhạc 11 - CTST
- Lớp 11 - Cánh diều
- Soạn văn 11 Cánh diều (hay nhất)
- Soạn văn 11 Cánh diều (ngắn nhất)
- Giải sgk Toán 11 - Cánh diều
- Giải sgk Vật Lí 11 - Cánh diều
- Giải sgk Hóa học 11 - Cánh diều
- Giải sgk Sinh học 11 - Cánh diều
- Giải sgk Lịch Sử 11 - Cánh diều
- Giải sgk Địa Lí 11 - Cánh diều
- Giải sgk Giáo dục KTPL 11 - Cánh diều
- Giải sgk Tin học 11 - Cánh diều
- Giải sgk Công nghệ 11 - Cánh diều
- Giải sgk Hoạt động trải nghiệm 11 - Cánh diều
- Giải sgk Giáo dục quốc phòng 11 - Cánh diều
- Giải sgk Âm nhạc 11 - Cánh diều


Giải bài tập SGK & SBT
Tài liệu giáo viên
Sách
Khóa học
Thi online
Hỏi đáp

