Giải bài 2 trang 156 sgk Đại Số 11
Bài 1: Định nghĩa và ý nghĩa của đạo hàm
Video Giải Bài 2 trang 156 SGK Đại số 11 - Cô Ngô Hoàng Ngọc Hà (Giáo viên VietJack)
Bài 2 (trang 156 SGK Đại số 11): Tính Δy và
của các hàm số sau theo x và Δx:
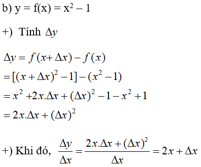
Lời giải:
Gọi Δ x là số gia của biến số x.
Kiến thức áp dụng
+ Đại lượng Δx = x – x0 được gọi là số gia của đối số tại x0.
+ Đại lượng Δy = f(x) – f(x0) được gọi là số gia tương ứng của hàm số.
Các bài giải bài tập Toán 11 Đại số Chương 5 Bài 1 khác:
Trả lời câu hỏi Toán 11 Đại số Bài 1 trang 146 : Một đoàn tàu chuyển động khởi hành....
Trả lời câu hỏi Toán 11 Đại số Bài 1 trang 149 : Cho hàm số y = x2. Hãy tính ....
Trả lời câu hỏi Toán 11 Đại số Bài 1 trang 150 : a) Vẽ đồ thị của hàm số f(x) ....
Trả lời câu hỏi Toán 11 Đại số Bài 1 trang 152 : Viết phương trình đường thẳng ....
Trả lời câu hỏi Toán 11 Đại số Bài 1 trang 153 : Bằng định nghĩa, hãy tính đạo hàm ....
Bài 1 (trang 156 SGK Đại số 11): Tìm số gia của hàm số f(x) = x3,...
Bài 3 (trang 156 SGK Đại số 11): Tính ( bằng định nghĩa) đạo hàm ...
Bài 4 (trang 156 SGK Đại số 11): Chứng minh rằng hàm số: f(x)...
Bài 5 (trang 156 SGK Đại số 11): Viết phương trình tiếp tuyến đường cong ...
Bài 6 (trang 156 SGK Đại số 11): Viết phương trình tiếp tuyến cuả hypebol ...
Bài 7 (trang 157 SGK Đại số 11): Một vật rơi tự do theo phương trình s...
Các bài giải Đại số 11 Chương 5 khác:
- Bài 1: Định nghĩa và ý nghĩa của đạo hàm
- Bài 2: Quy tắc tính đạo hàm
- Bài 3: Đạo hàm của hàm số lượng giác
- Bài 4: Vi phân
- Bài 5: Đạo hàm cấp hai
Tủ sách VIETJACK shopee lớp 10-11 (cả 3 bộ sách):
Đã có app VietJack trên điện thoại, giải bài tập SGK, SBT Soạn văn, Văn mẫu, Thi online, Bài giảng....miễn phí. Tải ngay ứng dụng trên Android và iOS.
Theo dõi chúng tôi miễn phí trên mạng xã hội facebook và youtube:Nếu thấy hay, hãy động viên và chia sẻ nhé! Các bình luận không phù hợp với nội quy bình luận trang web sẽ bị cấm bình luận vĩnh viễn.
- Giải Tiếng Anh 11 Global Success
- Giải sgk Tiếng Anh 11 Smart World
- Giải sgk Tiếng Anh 11 Friends Global
- Lớp 11 - Kết nối tri thức
- Soạn văn 11 (hay nhất) - KNTT
- Soạn văn 11 (ngắn nhất) - KNTT
- Giải sgk Toán 11 - KNTT
- Giải sgk Vật Lí 11 - KNTT
- Giải sgk Hóa học 11 - KNTT
- Giải sgk Sinh học 11 - KNTT
- Giải sgk Lịch Sử 11 - KNTT
- Giải sgk Địa Lí 11 - KNTT
- Giải sgk Giáo dục KTPL 11 - KNTT
- Giải sgk Tin học 11 - KNTT
- Giải sgk Công nghệ 11 - KNTT
- Giải sgk Hoạt động trải nghiệm 11 - KNTT
- Giải sgk Giáo dục quốc phòng 11 - KNTT
- Giải sgk Âm nhạc 11 - KNTT
- Lớp 11 - Chân trời sáng tạo
- Soạn văn 11 (hay nhất) - CTST
- Soạn văn 11 (ngắn nhất) - CTST
- Giải sgk Toán 11 - CTST
- Giải sgk Vật Lí 11 - CTST
- Giải sgk Hóa học 11 - CTST
- Giải sgk Sinh học 11 - CTST
- Giải sgk Lịch Sử 11 - CTST
- Giải sgk Địa Lí 11 - CTST
- Giải sgk Giáo dục KTPL 11 - CTST
- Giải sgk Hoạt động trải nghiệm 11 - CTST
- Giải sgk Âm nhạc 11 - CTST
- Lớp 11 - Cánh diều
- Soạn văn 11 Cánh diều (hay nhất)
- Soạn văn 11 Cánh diều (ngắn nhất)
- Giải sgk Toán 11 - Cánh diều
- Giải sgk Vật Lí 11 - Cánh diều
- Giải sgk Hóa học 11 - Cánh diều
- Giải sgk Sinh học 11 - Cánh diều
- Giải sgk Lịch Sử 11 - Cánh diều
- Giải sgk Địa Lí 11 - Cánh diều
- Giải sgk Giáo dục KTPL 11 - Cánh diều
- Giải sgk Tin học 11 - Cánh diều
- Giải sgk Công nghệ 11 - Cánh diều
- Giải sgk Hoạt động trải nghiệm 11 - Cánh diều
- Giải sgk Giáo dục quốc phòng 11 - Cánh diều
- Giải sgk Âm nhạc 11 - Cánh diều


Giải bài tập SGK & SBT
Tài liệu giáo viên
Sách
Khóa học
Thi online
Hỏi đáp

