Giải bài 9 trang 177 sgk Đại Số 11
Ôn tập chương 5
Video Giải Bài 9 trang 177 SGK Đại số 11 - Cô Ngô Hoàng Ngọc Hà (Giáo viên VietJack)
Bài 9 (trang 177 SGK Đại số 11): Cho hai hàm số
Viết phương trình tiếp tuyến với đồ thị của mỗi hàm số đã cho tại giao điểm của chúng. Tính góc giữa hai tiếp tuyến kể trên.
Lời giải:
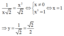
Phương trình hoành độ giao điểm của (C1) và (C2) là:
Vậy giao điểm của (C1) và (C2) là
Phương trình tiếp tuyến của (C1) tại điểm A là:
Phương trình tiếp tuyến của (C2) tại điểm A là:
Ta có: 
⇒ Hai tiếp tuyến nói trên vuông góc với nhau
⇒ Góc giữa hai tiếp tuyến bằng 90º.
Kiến thức áp dụng
+ Phương trình tiếp tuyến của đường cong y = f(x) tại điểm M(x0; y0):
trong đó y0 = f(x0).
+ Hai đường thẳng có tích của hệ số góc k1.k2 = -1 thì vuông góc với nhau.
Các bài giải bài tập Toán 11 Đại số Chương 5 Ôn tập chương 5 khác:
Bài tập Tự luận
Bài 2 (trang 176 SGK Đại số 11): Tìm đạo hàm của các hàm số sau:...
Bài 4 (trang 176 SGK Đại số 11): Cho hai hàm số f(x) = tan x và...
Bài 5 (trang 176 SGK Đại số 11): giải phương trình f'(x) = 0,...
Bài 7 (trang 176 SGK Đại số 11): Viết phương trình tiếp tuyến của:...
Bài 8 (trang 177 SGK Đại số 11): Cho chuyển động thẳng xác định bởi...
Bài tập trắc nghiệm
Các bài giải Đại số 11 Chương 5 khác:
- Bài 2: Quy tắc tính đạo hàm
- Bài 3: Đạo hàm của hàm số lượng giác
- Bài 4: Vi phân
- Bài 5: Đạo hàm cấp hai
- Ôn tập chương 5
- Ôn tập cuối năm
Tủ sách VIETJACK shopee lớp 10-11 (cả 3 bộ sách):
Đã có app VietJack trên điện thoại, giải bài tập SGK, SBT Soạn văn, Văn mẫu, Thi online, Bài giảng....miễn phí. Tải ngay ứng dụng trên Android và iOS.
Theo dõi chúng tôi miễn phí trên mạng xã hội facebook và youtube:Nếu thấy hay, hãy động viên và chia sẻ nhé! Các bình luận không phù hợp với nội quy bình luận trang web sẽ bị cấm bình luận vĩnh viễn.
- Giải Tiếng Anh 11 Global Success
- Giải sgk Tiếng Anh 11 Smart World
- Giải sgk Tiếng Anh 11 Friends Global
- Lớp 11 - Kết nối tri thức
- Soạn văn 11 (hay nhất) - KNTT
- Soạn văn 11 (ngắn nhất) - KNTT
- Giải sgk Toán 11 - KNTT
- Giải sgk Vật Lí 11 - KNTT
- Giải sgk Hóa học 11 - KNTT
- Giải sgk Sinh học 11 - KNTT
- Giải sgk Lịch Sử 11 - KNTT
- Giải sgk Địa Lí 11 - KNTT
- Giải sgk Giáo dục KTPL 11 - KNTT
- Giải sgk Tin học 11 - KNTT
- Giải sgk Công nghệ 11 - KNTT
- Giải sgk Hoạt động trải nghiệm 11 - KNTT
- Giải sgk Giáo dục quốc phòng 11 - KNTT
- Giải sgk Âm nhạc 11 - KNTT
- Lớp 11 - Chân trời sáng tạo
- Soạn văn 11 (hay nhất) - CTST
- Soạn văn 11 (ngắn nhất) - CTST
- Giải sgk Toán 11 - CTST
- Giải sgk Vật Lí 11 - CTST
- Giải sgk Hóa học 11 - CTST
- Giải sgk Sinh học 11 - CTST
- Giải sgk Lịch Sử 11 - CTST
- Giải sgk Địa Lí 11 - CTST
- Giải sgk Giáo dục KTPL 11 - CTST
- Giải sgk Hoạt động trải nghiệm 11 - CTST
- Giải sgk Âm nhạc 11 - CTST
- Lớp 11 - Cánh diều
- Soạn văn 11 Cánh diều (hay nhất)
- Soạn văn 11 Cánh diều (ngắn nhất)
- Giải sgk Toán 11 - Cánh diều
- Giải sgk Vật Lí 11 - Cánh diều
- Giải sgk Hóa học 11 - Cánh diều
- Giải sgk Sinh học 11 - Cánh diều
- Giải sgk Lịch Sử 11 - Cánh diều
- Giải sgk Địa Lí 11 - Cánh diều
- Giải sgk Giáo dục KTPL 11 - Cánh diều
- Giải sgk Tin học 11 - Cánh diều
- Giải sgk Công nghệ 11 - Cánh diều
- Giải sgk Hoạt động trải nghiệm 11 - Cánh diều
- Giải sgk Giáo dục quốc phòng 11 - Cánh diều
- Giải sgk Âm nhạc 11 - Cánh diều


Giải bài tập SGK & SBT
Tài liệu giáo viên
Sách
Khóa học
Thi online
Hỏi đáp

