Trả lời câu hỏi Toán 11 Đại số Bài 2 trang 159
Bài 2: Quy tắc tính đạo hàm
Video Trả lời câu hỏi Toán 11 Đại số Bài 2 trang 159 - Cô Ngô Hoàng Ngọc Hà (Giáo viên VietJack)
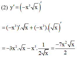
Trả lời câu hỏi Toán 11 Đại số Bài 2 trang 159: Áp dụng các công thức trong định lí 3, hãy tính đạo hàm của các hàm số y = 5x3 – 2x5; .
Lời giải:
(1) y′ = (5x3 − 2x5)′
= (5x3)′ − (2x5)′
= (5′.x3 + 5(x3)′) − (2′.x5 + 2.(x5)′)
= (0.x3 + 5.3x2) − (0.x5 + 2.5x4)
= (0 + 15x2) − (0 + 10x4)
= 15x2 − 10x4
Các bài giải bài tập Toán 11 Đại số - Giải Tích khác:
Trả lời câu hỏi Toán 11 Đại số Bài 2 trang 157 : Dùng định nghĩa tính đạo hàm của ....
Trả lời câu hỏi Toán 11 Đại số Bài 2 trang 158 : Chứng minh khẳng định trong....
Trả lời câu hỏi Toán 11 Đại số Bài 2 trang 160 : Hãy chứng minh các công thức ....
Trả lời câu hỏi Toán 11 Đại số Bài 2 trang 161 : Hàm số y = ....
Bài 1 (trang 162 SGK Đại số 11): Bằng định nghĩa, tìm đạo hàm của các hàm số sau :...
Bài 2 (trang 163 SGK Đại số 11): Tìm đạo hàm của các hàm số sau :...
Bài 3 (trang 163 SGK Đại số 11): Tìm đạo hàm của các hàm số sau :...
Bài 4 (trang 163 SGK Đại số 11): Tính đạo hàm của các hàm số sau:...
Bài 5 (trang 163 SGK Đại số 11): Cho y=x3-3x2+2. Tìm x để:...
Các bài giải Đại số 11 Chương 5 khác:
- Bài 2: Quy tắc tính đạo hàm
- Bài 3: Đạo hàm của hàm số lượng giác
- Bài 4: Vi phân
- Bài 5: Đạo hàm cấp hai
- Ôn tập chương 5
Tủ sách VIETJACK shopee lớp 10-11 (cả 3 bộ sách):
Đã có app VietJack trên điện thoại, giải bài tập SGK, SBT Soạn văn, Văn mẫu, Thi online, Bài giảng....miễn phí. Tải ngay ứng dụng trên Android và iOS.
Theo dõi chúng tôi miễn phí trên mạng xã hội facebook và youtube:Nếu thấy hay, hãy động viên và chia sẻ nhé! Các bình luận không phù hợp với nội quy bình luận trang web sẽ bị cấm bình luận vĩnh viễn.
- Giải Tiếng Anh 11 Global Success
- Giải sgk Tiếng Anh 11 Smart World
- Giải sgk Tiếng Anh 11 Friends Global
- Lớp 11 - Kết nối tri thức
- Soạn văn 11 (hay nhất) - KNTT
- Soạn văn 11 (ngắn nhất) - KNTT
- Giải sgk Toán 11 - KNTT
- Giải sgk Vật Lí 11 - KNTT
- Giải sgk Hóa học 11 - KNTT
- Giải sgk Sinh học 11 - KNTT
- Giải sgk Lịch Sử 11 - KNTT
- Giải sgk Địa Lí 11 - KNTT
- Giải sgk Giáo dục KTPL 11 - KNTT
- Giải sgk Tin học 11 - KNTT
- Giải sgk Công nghệ 11 - KNTT
- Giải sgk Hoạt động trải nghiệm 11 - KNTT
- Giải sgk Giáo dục quốc phòng 11 - KNTT
- Giải sgk Âm nhạc 11 - KNTT
- Lớp 11 - Chân trời sáng tạo
- Soạn văn 11 (hay nhất) - CTST
- Soạn văn 11 (ngắn nhất) - CTST
- Giải sgk Toán 11 - CTST
- Giải sgk Vật Lí 11 - CTST
- Giải sgk Hóa học 11 - CTST
- Giải sgk Sinh học 11 - CTST
- Giải sgk Lịch Sử 11 - CTST
- Giải sgk Địa Lí 11 - CTST
- Giải sgk Giáo dục KTPL 11 - CTST
- Giải sgk Hoạt động trải nghiệm 11 - CTST
- Giải sgk Âm nhạc 11 - CTST
- Lớp 11 - Cánh diều
- Soạn văn 11 Cánh diều (hay nhất)
- Soạn văn 11 Cánh diều (ngắn nhất)
- Giải sgk Toán 11 - Cánh diều
- Giải sgk Vật Lí 11 - Cánh diều
- Giải sgk Hóa học 11 - Cánh diều
- Giải sgk Sinh học 11 - Cánh diều
- Giải sgk Lịch Sử 11 - Cánh diều
- Giải sgk Địa Lí 11 - Cánh diều
- Giải sgk Giáo dục KTPL 11 - Cánh diều
- Giải sgk Tin học 11 - Cánh diều
- Giải sgk Công nghệ 11 - Cánh diều
- Giải sgk Hoạt động trải nghiệm 11 - Cánh diều
- Giải sgk Giáo dục quốc phòng 11 - Cánh diều
- Giải sgk Âm nhạc 11 - Cánh diều


Giải bài tập SGK & SBT
Tài liệu giáo viên
Sách
Khóa học
Thi online
Hỏi đáp

