12+ Bài tập Ôn tập Phép nhân và phép chia hai phân số lớp 5 (có lời giải)
Tổng hợp Bài tập Ôn tập Phép nhân và phép chia hai phân số lớp 5 có lời giải chi tiết với bài tập đa dạng, đầy đủ các mức độ giúp học sinh ôn tập từ đó biết cách làm bài tập Toán lớp 5.
12+ Bài tập Ôn tập Phép nhân và phép chia hai phân số lớp 5 (có lời giải)
(199k) Xem Khóa học Toán lớp 5 KNTTXem Khóa học Toán lớp 5 CTSTXem Khóa học Toán lớp 5 CD
Câu 1: Điền phân số thích hợp vào ô trống:
Phân số đảo ngược của phân số
Câu 2: Chọn đáp án đúng nhất:
A. Phân số đảo ngược của một phân số là phân số đảo ngược tử số thành mẫu số, mẫu số thành tử số.
B. Muốn nhân hai phân số ta lấy tử số nhân với tử số, mẫu số nhân với mẫu số.
C. Muốn chia một phân số cho một phân số, ta lấy phân số thứ nhất nhân với phân số thứ hai đảo ngược.
D. Tất cả các đáp án trên đều đúng.
Câu 3: Tính:
Câu 4: Kết quả của phép tính là:
Câu 5: Rút gọn rồi tính:
Câu 6: Tìm x biết:
Câu 7: Một hình chữ nhật có chiều dài là , chiều rộng kém chiều dài
. Vậy diện tích hình chữ nhật đó là:
Câu 8: Chọn phân số thích hợp đặt vào chỗ trống:
Tính rồi rút gọn:
Câu 9: Tính bằng cách thuận tiện:
Thực hiện phép tính ta được phân số tối giản là:
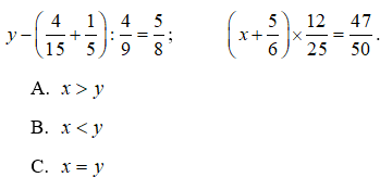
Câu 10: So sánh x và y biết rằng:
(199k) Xem Khóa học Toán lớp 5 KNTTXem Khóa học Toán lớp 5 CTSTXem Khóa học Toán lớp 5 CD
Xem thêm các bài tập & câu hỏi trắc nghiệm Toán lớp 5 chọn lọc, có đáp án chi tiết hay khác:
- 12+ Bài tập Hỗn số
- 12+ Bài tập Hỗn số (tiếp theo)
- 12+ Bài tập ôn tập về phân số và hỗn số
- 12+ Bài tập Ôn tập về giải toán
- 12+ Bài tập Ôn tập và bổ sung về giải toán
Xem thêm các bài Để học tốt Toán lớp 5 hay khác:
- Giải bài tập sgk Toán lớp 5
- Giải Vở bài tập Toán lớp 5
- Đề thi Toán lớp 5 (có đáp án)
- Giải lớp 5 Kết nối tri thức (các môn học)
- Giải lớp 5 Chân trời sáng tạo (các môn học)
- Giải lớp 5 Cánh diều (các môn học)
Tủ sách VIETJACK shopee lớp 1-5 (2025):
Đã có app VietJack trên điện thoại, giải bài tập SGK, SBT Soạn văn, Văn mẫu, Thi online, Bài giảng....miễn phí. Tải ngay ứng dụng trên Android và iOS.
Theo dõi chúng tôi miễn phí trên mạng xã hội facebook và youtube:Loạt bài Giải bài tập sgk Toán lớp 5 của chúng tôi được biên soạn bám sát nội dung sgk Toán lớp 5 Tập 1 & Tập 2.
Nếu thấy hay, hãy động viên và chia sẻ nhé! Các bình luận không phù hợp với nội quy bình luận trang web sẽ bị cấm bình luận vĩnh viễn.
- Giải Tiếng Anh lớp 5 Global Success
- Giải sgk Tiếng Anh lớp 5 Smart Start
- Giải sgk Tiếng Anh lớp 5 Family and Friends
- Lớp 5 Kết nối tri thức
- Giải sgk Tiếng Việt lớp 5 - KNTT
- Giải Vở bài tập Tiếng Việt lớp 5 - KNTT
- Giải sgk Toán lớp 5 - KNTT
- Giải Vở bài tập Toán lớp 5 - KNTT
- Giải sgk Đạo đức lớp 5 - KNTT
- Giải sgk Khoa học lớp 5 - KNTT
- Giải sgk Lịch Sử và Địa Lí lớp 5 - KNTT
- Giải sgk Hoạt động trải nghiệm lớp 5 - KNTT
- Giải sgk Tin học lớp 5 - KNTT
- Giải sgk Công nghệ lớp 5 - KNTT
- Giải sgk Âm nhạc lớp 5 - KNTT
- Giải sgk Mĩ thuật lớp 5 - KNTT
- Lớp 5 Chân trời sáng tạo
- Giải sgk Tiếng Việt lớp 5 - CTST
- Giải Vở bài tập Tiếng Việt lớp 5 - CTST
- Giải sgk Toán lớp 5 - CTST
- Giải Vở bài tập Toán lớp 5 - CTST
- Giải sgk Đạo đức lớp 5 - CTST
- Giải sgk Khoa học lớp 5 - CTST
- Giải sgk Lịch Sử và Địa Lí lớp 5 - CTST
- Giải sgk Hoạt động trải nghiệm lớp 5 - CTST
- Giải sgk Tin học lớp 5 - CTST
- Giải sgk Công nghệ lớp 5 - CTST
- Giải sgk Âm nhạc lớp 5 - CTST
- Giải sgk Mĩ thuật lớp 5 - CTST
- Lớp 5 Cánh diều
- Giải sgk Tiếng Việt lớp 5 - Cánh diều
- Giải Vở bài tập Tiếng Việt lớp 5 - Cánh diều
- Giải sgk Toán lớp 5 - Cánh diều
- Giải Vở bài tập Toán lớp 5 - Cánh diều
- Giải sgk Đạo đức lớp 5 - Cánh diều
- Giải sgk Khoa học lớp 5 - Cánh diều
- Giải sgk Lịch Sử và Địa Lí lớp 5 - Cánh diều
- Giải sgk Hoạt động trải nghiệm lớp 5 - Cánh diều
- Giải sgk Tin học lớp 5 - Cánh diều
- Giải sgk Công nghệ lớp 5 - Cánh diều
- Giải sgk Âm nhạc lớp 5 - Cánh diều
- Giải sgk Mĩ thuật lớp 5 - Cánh diều


Giải bài tập SGK & SBT
Tài liệu giáo viên
Sách
Khóa học
Thi online
Hỏi đáp

