Bài 25 trang 16 SGK Toán 6 Tập 2
Bài 4: Rút gọn phân số
Video Bài 25 trang 16 SGK Toán 6 tập 2 - Cô Diệu Linh (Giáo viên VietJack)
Luyện tập (Trang 15-16 sgk Toán 6 tập 2)
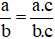
Bài 25 (trang 16 SGK Toán 6 tập 2): Viết tất cả các phân số bằng mà tử và mẫu là các số tự nhiên có hai chữ số.
Lời giải:
- Ta lấy phân số tối giản của phân số đã cho:
- Sau đó nhân tử và mẫu của phân số tối giản đó lần lượt với các số tự nhiên 2, 3, 4, 5, ... cho đến khi tử số và mẫu số vẫn là số tự nhiên có hai chữ số. Ta tìm được 7 phân số:
Kiến thức áp dụng
+ Rút gọn phân số về phân số tối giản: Ta chia cả tử và mẫu cho ước chung lớn nhất của chúng.
+ Khi cùng nhân cả tử và mẫu của một phân số với một số nguyên khác 0 ta được phân số bằng phân số ban đầu:
Tham khảo các bài giải bài tập Toán lớp 6 hay khác:
Bài 15 (trang 15 SGK Toán 6 tập 2): Rút gọn các phân số sau: ...
Bài 19 (trang 15 SGK Toán 6 tập 2): Đổi ra mét muông (viết dưới dạng phân số tối giản) ...
Bài 20 (trang 15 SGK Toán 6 tập 2): Tìm các cặp phân số bằng nhau trong các phân số sau đây: ...
Bài 22 (trang 15 SGK Toán 6 tập 2): Điền số thích hợp vào ô vuông: ...
Bài 23 (trang 16 SGK Toán 6 tập 2): Cho tập hợp A = {0 ; -3 ; 5}. Viết tập hợp B các phân số ...
Bài 24 (trang 16 SGK Toán 6 tập 2): Tìm các số nguyên x và y biết: ...
Bài 27 (trang 16 SGK Toán 6 tập 2): Đố: Một học sinh đã "rút gọn" như sau: ...
Xem thêm các bài giải bài tập Toán lớp 6 hay, chi tiết khác:
- Luyện tập trang 15
- Bài 5: Quy đồng mẫu nhiều phân số
- Luyện tập trang 19
- Bài 6: So sánh phân số
- Bài 7: Phép cộng phân số
Xem thêm các loạt bài Để học tốt Toán lớp 6 hay khác:
Tủ sách VIETJACK shopee lớp 6-8 (2025):
Đã có app VietJack trên điện thoại, giải bài tập SGK, SBT Soạn văn, Văn mẫu, Thi online, Bài giảng....miễn phí. Tải ngay ứng dụng trên Android và iOS.
Theo dõi chúng tôi miễn phí trên mạng xã hội facebook và youtube:Loạt bài Giải bài tập Toán lớp 6 | Để học tốt Toán 6 của chúng tôi được biên soạn bám sát theo chương trình Sách giáo khoa Toán 6 (Tập 1 & Tập 2) và một phần dựa trên cuốn Giải bài tập Toán 6.
Nếu thấy hay, hãy động viên và chia sẻ nhé! Các bình luận không phù hợp với nội quy bình luận trang web sẽ bị cấm bình luận vĩnh viễn.
- Giải sgk Tiếng Anh 6 Global Success
- Giải sgk Tiếng Anh 6 Friends plus
- Giải sgk Tiếng Anh 6 Smart World
- Giải sgk Tiếng Anh 6 Explore English
- Lớp 6 - Kết nối tri thức
- Soạn Văn 6 (hay nhất) - KNTT
- Soạn Văn 6 (ngắn nhất) - KNTT
- Giải sgk Toán 6 - KNTT
- Giải sgk Khoa học tự nhiên 6 - KNTT
- Giải sgk Lịch Sử 6 - KNTT
- Giải sgk Địa Lí 6 - KNTT
- Giải sgk Giáo dục công dân 6 - KNTT
- Giải sgk Hoạt động trải nghiệm 6 - KNTT
- Giải sgk Tin học 6 - KNTT
- Giải sgk Công nghệ 6 - KNTT
- Giải sgk Âm nhạc 6 - KNTT
- Lớp 6 - Chân trời sáng tạo
- Soạn Văn 6 (hay nhất) - CTST
- Soạn Văn 6 (ngắn nhất) - CTST
- Giải sgk Toán 6 - CTST
- Giải sgk Khoa học tự nhiên 6 - CTST
- Giải sgk Lịch Sử 6 - CTST
- Giải sgk Địa Lí 6 - CTST
- Giải sgk Giáo dục công dân 6 - CTST
- Giải sgk Công nghệ 6 - CTST
- Giải sgk Hoạt động trải nghiệm 6 - CTST
- Giải sgk Âm nhạc 6 - CTST
- Lớp 6 - Cánh diều
- Soạn Văn 6 Cánh diều (hay nhất)
- Soạn Văn 6 Cánh diều (ngắn nhất)
- Giải sgk Toán 6 - Cánh diều
- Giải sgk Khoa học tự nhiên 6 - Cánh diều
- Giải sgk Lịch Sử 6 - Cánh diều
- Giải sgk Địa Lí 6 - Cánh diều
- Giải sgk Giáo dục công dân 6 - Cánh diều
- Giải sgk Hoạt động trải nghiệm 6 - Cánh diều
- Giải sgk Tin học 6 - Cánh diều
- Giải sgk Công nghệ 6 - Cánh diều
- Giải sgk Âm nhạc 6 - Cánh diều


Giải bài tập SGK & SBT
Tài liệu giáo viên
Sách
Khóa học
Thi online
Hỏi đáp

