Bài 90 trang 43 SGK Toán 6 Tập 2
Bài 12: Phép chia phân số
Luyện tập (trang 43-44 sgk Toán 6 Tập 2)
Video Bài 90 trang 43 SGK Toán 6 tập 2 - Cô Diệu Linh (Giáo viên VietJack)
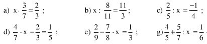
Bài 90 (trang 43 SGK Toán 6 tập 2): Tìm x, biết:
Lời giải
Tham khảo các bài giải bài tập Toán lớp 6 hay khác:
Bài 84 (trang 43 SGK Toán 6 tập 2): Tính: a) -5/6 : 3/13 ...
Bài 86 (trang 43 SGK Toán 6 tập 2): Tìm x, biết: a) 4/5 . x = 4/7 ...
Bài 87 (trang 43 SGK Toán 6 tập 2): a) Tính giá trị biểu thức sau ...
Xem thêm các bài giải bài tập Toán lớp 6 hay, chi tiết khác:
- Luyện tập trang 43
- Bài 13: Hỗn số. Số thập phân. Phần trăm
- Luyện tập trang 47
- Luyện tập trang 48
- Bài 14: Tìm giá trị phân số của một số cho trước
Xem thêm các loạt bài Để học tốt Toán lớp 6 hay khác:
Tủ sách VIETJACK shopee lớp 6-8 (2025):
Đã có app VietJack trên điện thoại, giải bài tập SGK, SBT Soạn văn, Văn mẫu, Thi online, Bài giảng....miễn phí. Tải ngay ứng dụng trên Android và iOS.
Theo dõi chúng tôi miễn phí trên mạng xã hội facebook và youtube:Loạt bài Giải bài tập Toán lớp 6 | Để học tốt Toán 6 của chúng tôi được biên soạn bám sát theo chương trình Sách giáo khoa Toán 6 (Tập 1 & Tập 2) và một phần dựa trên cuốn Giải bài tập Toán 6.
Nếu thấy hay, hãy động viên và chia sẻ nhé! Các bình luận không phù hợp với nội quy bình luận trang web sẽ bị cấm bình luận vĩnh viễn.
- Giải sgk Tiếng Anh 6 Global Success
- Giải sgk Tiếng Anh 6 Friends plus
- Giải sgk Tiếng Anh 6 Smart World
- Giải sgk Tiếng Anh 6 Explore English
- Lớp 6 - Kết nối tri thức
- Soạn Văn 6 (hay nhất) - KNTT
- Soạn Văn 6 (ngắn nhất) - KNTT
- Giải sgk Toán 6 - KNTT
- Giải sgk Khoa học tự nhiên 6 - KNTT
- Giải sgk Lịch Sử 6 - KNTT
- Giải sgk Địa Lí 6 - KNTT
- Giải sgk Giáo dục công dân 6 - KNTT
- Giải sgk Hoạt động trải nghiệm 6 - KNTT
- Giải sgk Tin học 6 - KNTT
- Giải sgk Công nghệ 6 - KNTT
- Giải sgk Âm nhạc 6 - KNTT
- Lớp 6 - Chân trời sáng tạo
- Soạn Văn 6 (hay nhất) - CTST
- Soạn Văn 6 (ngắn nhất) - CTST
- Giải sgk Toán 6 - CTST
- Giải sgk Khoa học tự nhiên 6 - CTST
- Giải sgk Lịch Sử 6 - CTST
- Giải sgk Địa Lí 6 - CTST
- Giải sgk Giáo dục công dân 6 - CTST
- Giải sgk Công nghệ 6 - CTST
- Giải sgk Hoạt động trải nghiệm 6 - CTST
- Giải sgk Âm nhạc 6 - CTST
- Lớp 6 - Cánh diều
- Soạn Văn 6 Cánh diều (hay nhất)
- Soạn Văn 6 Cánh diều (ngắn nhất)
- Giải sgk Toán 6 - Cánh diều
- Giải sgk Khoa học tự nhiên 6 - Cánh diều
- Giải sgk Lịch Sử 6 - Cánh diều
- Giải sgk Địa Lí 6 - Cánh diều
- Giải sgk Giáo dục công dân 6 - Cánh diều
- Giải sgk Hoạt động trải nghiệm 6 - Cánh diều
- Giải sgk Tin học 6 - Cánh diều
- Giải sgk Công nghệ 6 - Cánh diều
- Giải sgk Âm nhạc 6 - Cánh diều


Giải bài tập SGK & SBT
Tài liệu giáo viên
Sách
Khóa học
Thi online
Hỏi đáp

