Giải Toán 8 trang 11 Kết nối tri thức, Chân trời sáng tạo, Cánh diều
Trọn bộ lời giải bài tập Toán 8 trang 11 Kết nối tri thức, Chân trời sáng tạo, Cánh diều sẽ giúp học sinh lớp 8 dễ dàng làm bài tập Toán 8 trang 11. Bạn vào trang hoặc Xem lời giải để theo dõi chi tiết.
Giải Toán 8 trang 11 Kết nối tri thức, Chân trời sáng tạo, Cánh diều
Lưu trữ: Giải Toán 8 trang 11 Bài 16 (sách cũ)
Video Bài 16 trang 11 SGK Toán 8 tập 1 - Cô Nguyễn Thị Ngọc Ánh (Giáo viên VietJack)
Bài 16 (trang 11 SGK Toán 8 Tập 1): Viết các biểu thức sau đây dưới dạng bình phương của một tổng hoặc một hiệu:
Lời giải:
a) x2 + 2x + 1
= x2 + 2.x.1 + 12
= (x + 1)2 (Áp dụng hằng đẳng thức (1) với A = x và B = 1)
b) 9x2 + y2 + 6xy
= 9x2 + 6xy + y2
= (3x)2 + 2.3x.y + y2
= (3x + y)2 (Áp dụng hằng đẳng thức (1) với A = 3x và B = y)
c) 25a2 + 4b2 – 20ab
= 25a2 – 20ab + 4b2
= (5a)2 – 2.5a.2b + (2b)2
= (5a – 2b)2 (Áp dụng hằng đẳng thức (2) với A = 5a và B = 2b)
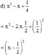
(Áp dụng hằng đẳng thức (2) với A = x và
)
Kiến thức áp dụng
+ Hằng đẳng thức:
(A + B)2 = A2 + 2AB + B2 (1)
(A – B)2 = A2 – 2AB + B2 (2)
+ Lưu ý : (A – B)2 = (B – A)2.
Các bài giải bài tập Toán 8 Bài 3 khác
Trả lời câu hỏi Toán 8 Tập 1 Bài 3 trang 9 : Với a và b là hai số bất kì....
Trả lời câu hỏi Toán 8 Tập 1 Bài 3 trang 10 : Tính [a + (-b)]o2 (với a, b là các số....
Trả lời câu hỏi Toán 8 Tập 1 Bài 3 trang 11 : Ai đúng, ai sai ?....
Bài 18 (trang 11 SGK Toán 8 Tập 1): Hãy tìm cách giúp bạn An ...
Bài 19 (trang 12 SGK Toán 8 Tập 1): Đố. Tính diện tích phần hình ...
Bài 20 (trang 12 SGK Toán 8 Tập 1): Nhận xét sự đúng, sai của kết quả sau : ...
Xem thêm các bài giải bài tập Toán lớp 8 hay, chi tiết khác:
- Bài 3: Những hằng đẳng thức đáng nhớ
- Luyện tập (trang 12)
- Bài 4: Những hằng đẳng thức đáng nhớ (tiếp)
- Bài 5: Những hằng đẳng thức đáng nhớ (tiếp)
- Luyện tập (trang 16-17)
Xem thêm các loạt bài Để học tốt Toán lớp 8 hay khác:
Tủ sách VIETJACK shopee lớp 6-8 (2025):
Đã có app VietJack trên điện thoại, giải bài tập SGK, SBT Soạn văn, Văn mẫu, Thi online, Bài giảng....miễn phí. Tải ngay ứng dụng trên Android và iOS.
Theo dõi chúng tôi miễn phí trên mạng xã hội facebook và youtube:Loạt bài Giải bài tập Toán 8 Tập 1 & Tập 2 của chúng tôi được biên soạn bám sát sgk Toán 8 (NXB Giáo dục).
Nếu thấy hay, hãy động viên và chia sẻ nhé! Các bình luận không phù hợp với nội quy bình luận trang web sẽ bị cấm bình luận vĩnh viễn.
- Giải Tiếng Anh 8 Global Success
- Giải sgk Tiếng Anh 8 Smart World
- Giải sgk Tiếng Anh 8 Friends plus
- Lớp 8 - Kết nối tri thức
- Soạn văn 8 (hay nhất) - KNTT
- Soạn văn 8 (ngắn nhất) KNTT
- Giải sgk Toán 8 - KNTT
- Giải sgk Khoa học tự nhiên 8 - KNTT
- Giải sgk Lịch Sử 8 - KNTT
- Giải sgk Địa Lí 8 - KNTT
- Giải sgk Giáo dục công dân 8 - KNTT
- Giải sgk Tin học 8 - KNTT
- Giải sgk Công nghệ 8 - KNTT
- Giải sgk Hoạt động trải nghiệm 8 - KNTT
- Giải sgk Âm nhạc 8 - KNTT
- Lớp 8 - Chân trời sáng tạo
- Soạn văn 8 (hay nhất) - CTST
- Soạn văn 8 (ngắn nhất) - CTST
- Giải sgk Toán 8 - CTST
- Giải sgk Khoa học tự nhiên 8 - CTST
- Giải sgk Lịch Sử 8 - CTST
- Giải sgk Địa Lí 8 - CTST
- Giải sgk Giáo dục công dân 8 - CTST
- Giải sgk Tin học 8 - CTST
- Giải sgk Công nghệ 8 - CTST
- Giải sgk Hoạt động trải nghiệm 8 - CTST
- Giải sgk Âm nhạc 8 - CTST
- Lớp 8 - Cánh diều
- Soạn văn 8 Cánh diều (hay nhất)
- Soạn văn 8 Cánh diều (ngắn nhất)
- Giải sgk Toán 8 - Cánh diều
- Giải sgk Khoa học tự nhiên 8 - Cánh diều
- Giải sgk Lịch Sử 8 - Cánh diều
- Giải sgk Địa Lí 8 - Cánh diều
- Giải sgk Giáo dục công dân 8 - Cánh diều
- Giải sgk Tin học 8 - Cánh diều
- Giải sgk Công nghệ 8 - Cánh diều
- Giải sgk Hoạt động trải nghiệm 8 - Cánh diều
- Giải sgk Âm nhạc 8 - Cánh diều


Giải bài tập SGK & SBT
Tài liệu giáo viên
Sách
Khóa học
Thi online
Hỏi đáp

