Bài 56 trang 25 Toán 8 Tập 1
Bài 9: Phân tích đa thức thành nhân tử bằng cách phối hợp nhiều phương pháp
Video Bài 56 trang 25 SGK Toán 8 tập 1 - Cô Nguyễn Thị Ngọc Ánh (Giáo viên VietJack)
Bài 56 (trang 25 SGK Toán 8 Tập 1): Tính nhanh giá trị của đa thức:
Lời giải:
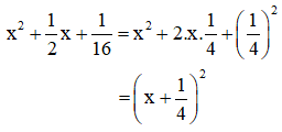
a) Ta có:
Do đó tại x = 49,75, giá trị biểu thức bằng
b) Ta có:
x2 – y2 – 2y – 1 (Thấy có y2 ; 2y ; 1 ta liên tưởng đến HĐT (1) hoặc (2))
= x2 – (y2 + 2y + 1)
= x2 – (y + 1)2 (Xuất hiện HĐT (3))
= (x – y – 1)(x + y + 1)
Với x = 93, y = 6 thì:
(93 – 6 – 1)(93 + 6 + 1) = 86.100 = 8600
Các bài giải bài tập Toán 8 Bài 9 khác
Trả lời câu hỏi Toán 8 Tập 1 Bài 9 trang 23 : Phân tích đa thức 2x3y – 2xy3 – 4xy2 – 2xy ....
Bài 51 (trang 24 SGK Toán 8 Tập 1): Phân tích các đa thức ...
Bài 53 (trang 24 SGK Toán 8 Tập 1): Phân tích các đa thức sau ...
Bài 54 (trang 25 SGK Toán 8 Tập 1): Phân tích các đa thức ...
Bài 57 (trang 25 SGK Toán 8 Tập 1): Phân tích các đa thức ...
Xem thêm các bài giải bài tập Toán lớp 8 hay, chi tiết khác:
- Luyện tập (trang 25)
- Bài 10: Chia đơn thức cho đơn thức
- Bài 11: Chia đa thức cho đơn thức
- Bài 12: Chia đa thức một biến đã sắp xếp
- Luyện tập (trang 32)
Xem thêm các loạt bài Để học tốt Toán lớp 8 hay khác:
Tủ sách VIETJACK shopee lớp 6-8 (2025):
Đã có app VietJack trên điện thoại, giải bài tập SGK, SBT Soạn văn, Văn mẫu, Thi online, Bài giảng....miễn phí. Tải ngay ứng dụng trên Android và iOS.
Theo dõi chúng tôi miễn phí trên mạng xã hội facebook và youtube:Loạt bài Giải bài tập Toán 8 Tập 1 & Tập 2 của chúng tôi được biên soạn bám sát sgk Toán 8 (NXB Giáo dục).
Nếu thấy hay, hãy động viên và chia sẻ nhé! Các bình luận không phù hợp với nội quy bình luận trang web sẽ bị cấm bình luận vĩnh viễn.
- Giải Tiếng Anh 8 Global Success
- Giải sgk Tiếng Anh 8 Smart World
- Giải sgk Tiếng Anh 8 Friends plus
- Lớp 8 - Kết nối tri thức
- Soạn văn 8 (hay nhất) - KNTT
- Soạn văn 8 (ngắn nhất) KNTT
- Giải sgk Toán 8 - KNTT
- Giải sgk Khoa học tự nhiên 8 - KNTT
- Giải sgk Lịch Sử 8 - KNTT
- Giải sgk Địa Lí 8 - KNTT
- Giải sgk Giáo dục công dân 8 - KNTT
- Giải sgk Tin học 8 - KNTT
- Giải sgk Công nghệ 8 - KNTT
- Giải sgk Hoạt động trải nghiệm 8 - KNTT
- Giải sgk Âm nhạc 8 - KNTT
- Lớp 8 - Chân trời sáng tạo
- Soạn văn 8 (hay nhất) - CTST
- Soạn văn 8 (ngắn nhất) - CTST
- Giải sgk Toán 8 - CTST
- Giải sgk Khoa học tự nhiên 8 - CTST
- Giải sgk Lịch Sử 8 - CTST
- Giải sgk Địa Lí 8 - CTST
- Giải sgk Giáo dục công dân 8 - CTST
- Giải sgk Tin học 8 - CTST
- Giải sgk Công nghệ 8 - CTST
- Giải sgk Hoạt động trải nghiệm 8 - CTST
- Giải sgk Âm nhạc 8 - CTST
- Lớp 8 - Cánh diều
- Soạn văn 8 Cánh diều (hay nhất)
- Soạn văn 8 Cánh diều (ngắn nhất)
- Giải sgk Toán 8 - Cánh diều
- Giải sgk Khoa học tự nhiên 8 - Cánh diều
- Giải sgk Lịch Sử 8 - Cánh diều
- Giải sgk Địa Lí 8 - Cánh diều
- Giải sgk Giáo dục công dân 8 - Cánh diều
- Giải sgk Tin học 8 - Cánh diều
- Giải sgk Công nghệ 8 - Cánh diều
- Giải sgk Hoạt động trải nghiệm 8 - Cánh diều
- Giải sgk Âm nhạc 8 - Cánh diều


Giải bài tập SGK & SBT
Tài liệu giáo viên
Sách
Khóa học
Thi online
Hỏi đáp

