Trả lời câu hỏi Toán 8 Tập 1 Bài 1 trang 5
Bài 1: Nhân đơn thức với đa thức
Video Trả lời câu hỏi Toán 8 Tập 1 Bài 1 trang 5 - Cô Nguyễn Thị Ngọc Ánh (Giáo viên VietJack)
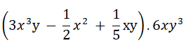
Trả lời câu hỏi Toán 8 Tập 1 Bài 1 trang 5: Làm tính nhân:
Lời giải
Trả lời câu hỏi Toán 8 Tập 1 Bài 1 trang 5: Một mảnh vườn hình thang có hai đáy bằng (5x + 3) mét và (3x + y) mét, chiều cao bằng 2y mét.
- Hãy viết biểu thức tính diện tích mảnh vườn nói trên theo x và y.
- Tính diện tích mảnh vườn nếu cho x = 3 mét và y = 2 mét.
Lời giải
– Biểu thức tính diện tích mảnh vườn trên theo x và y là:
– Nếu x = 3 mét và y = 2 mét thì diện tích mảnh vườn là:
S = 8.3.2 + 22 + 3.2 = 58 (m2).
Các bài giải Toán 8 Tập 1 khác:
Trả lời câu hỏi Toán 8 Tập 1 Bài 1 trang 4 : Hãy viết một đơn thức và một đa thức tùy ý.....
Bài 6 (trang 6 SGK Toán 8 Tập 1): Đánh dấu x vào ô mà em cho là đáp số đúng ...
Xem thêm các bài giải bài tập Toán lớp 8 hay, chi tiết khác:
- Bài 1: Nhân đơn thức với đa thức
- Bài 2: Nhân đa thức với đa thức
- Luyện tập (trang 8-9)
- Bài 3: Những hằng đẳng thức đáng nhớ
- Luyện tập (trang 12)
Xem thêm các loạt bài Để học tốt Toán lớp 8 hay khác:
Tủ sách VIETJACK shopee lớp 6-8 (2025):
Đã có app VietJack trên điện thoại, giải bài tập SGK, SBT Soạn văn, Văn mẫu, Thi online, Bài giảng....miễn phí. Tải ngay ứng dụng trên Android và iOS.
Theo dõi chúng tôi miễn phí trên mạng xã hội facebook và youtube:Loạt bài Giải bài tập Toán 8 Tập 1 & Tập 2 của chúng tôi được biên soạn bám sát sgk Toán 8 (NXB Giáo dục).
Nếu thấy hay, hãy động viên và chia sẻ nhé! Các bình luận không phù hợp với nội quy bình luận trang web sẽ bị cấm bình luận vĩnh viễn.
- Giải Tiếng Anh 8 Global Success
- Giải sgk Tiếng Anh 8 Smart World
- Giải sgk Tiếng Anh 8 Friends plus
- Lớp 8 - Kết nối tri thức
- Soạn văn 8 (hay nhất) - KNTT
- Soạn văn 8 (ngắn nhất) KNTT
- Giải sgk Toán 8 - KNTT
- Giải sgk Khoa học tự nhiên 8 - KNTT
- Giải sgk Lịch Sử 8 - KNTT
- Giải sgk Địa Lí 8 - KNTT
- Giải sgk Giáo dục công dân 8 - KNTT
- Giải sgk Tin học 8 - KNTT
- Giải sgk Công nghệ 8 - KNTT
- Giải sgk Hoạt động trải nghiệm 8 - KNTT
- Giải sgk Âm nhạc 8 - KNTT
- Lớp 8 - Chân trời sáng tạo
- Soạn văn 8 (hay nhất) - CTST
- Soạn văn 8 (ngắn nhất) - CTST
- Giải sgk Toán 8 - CTST
- Giải sgk Khoa học tự nhiên 8 - CTST
- Giải sgk Lịch Sử 8 - CTST
- Giải sgk Địa Lí 8 - CTST
- Giải sgk Giáo dục công dân 8 - CTST
- Giải sgk Tin học 8 - CTST
- Giải sgk Công nghệ 8 - CTST
- Giải sgk Hoạt động trải nghiệm 8 - CTST
- Giải sgk Âm nhạc 8 - CTST
- Lớp 8 - Cánh diều
- Soạn văn 8 Cánh diều (hay nhất)
- Soạn văn 8 Cánh diều (ngắn nhất)
- Giải sgk Toán 8 - Cánh diều
- Giải sgk Khoa học tự nhiên 8 - Cánh diều
- Giải sgk Lịch Sử 8 - Cánh diều
- Giải sgk Địa Lí 8 - Cánh diều
- Giải sgk Giáo dục công dân 8 - Cánh diều
- Giải sgk Tin học 8 - Cánh diều
- Giải sgk Công nghệ 8 - Cánh diều
- Giải sgk Hoạt động trải nghiệm 8 - Cánh diều
- Giải sgk Âm nhạc 8 - Cánh diều


Giải bài tập SGK & SBT
Tài liệu giáo viên
Sách
Khóa học
Thi online
Hỏi đáp

