Giải Vở bài tập Hóa 9 Bài 17 trang 50
Bài 17: Dãy hoạt động hóa học của kim loại
Bài 1. (Trang 50 VBT Hóa học 9 ) Cho lá kẽm có khối lượng 25 gam vào dung dịch đồng sufat. Sau một thời gian phản ứng kết thúc, đem tấm kim loại ra rửa nhẹ, làm khô, cân được 24,96 gam.
a) Viết phương trình hóa học.
b) Tính khối lượng kẽm đã phản ứng.
c) Tính khối lượng đồng sunfat có trong dung dịch.
Lời giải:
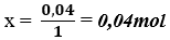
a) Độ giảm khối lượng lá kẽm = 25 – 25,96 = 0,04 gam
Theo phương trình:
1 mol Zn phản ứng, khối lượng giảm: 65- 64 = 1 gam
x mol Zn phản ứng, khối lượng giảm: 0,04 gam
b) Vậy khối lượng Zn đã phản ứng: 0,04. 65= 2,6 gam
c) Khối lượng CuSO4 có trong dung dịch: 0,04. 160=6,4 gam
Bài 2. (Trang 50 VBT Hóa học 9 ) Cho hỗn hợp Al và Fe tác dụng với dung dịch chứa AgNO3 và Cu(NO3)2 thu được dung dịch B và chất rắn D gồm 3 kim loại. Cho D tác dụng với dung dịch HCl dư thấy có khí bay lên. Thành phần của chất rắn D là:
A. Al, Fe và Cu
B. Fe, Cu và Ag
C. Al, Cu và Ag
D. Kết quả khác.
Trường hợp nào đúng? Giải thích.
Lời giải:
Trường hợp đúng là: B
Giải thích: Chất rắn D gồm kim loại: Ag, Cu và Fe dư
Xem thêm các bài Giải bài tập Vở bài tập Hóa học 9 hay khác:
Học theo Sách giáo khoa
Bài tập
Tủ sách VIETJACK luyện thi vào 10 cho 2k11 (2026):
Đã có app VietJack trên điện thoại, giải bài tập SGK, SBT Soạn văn, Văn mẫu, Thi online, Bài giảng....miễn phí. Tải ngay ứng dụng trên Android và iOS.
Theo dõi chúng tôi miễn phí trên mạng xã hội facebook và youtube:Loạt bài Giải vở bài tập Hóa học 9 hay, chi tiết của chúng tôi được biên soạn bám sát nội dung sách Vở bài tập Hóa học lớp 9.
Nếu thấy hay, hãy động viên và chia sẻ nhé! Các bình luận không phù hợp với nội quy bình luận trang web sẽ bị cấm bình luận vĩnh viễn.
- Giải Tiếng Anh 9 Global Success
- Giải sgk Tiếng Anh 9 Smart World
- Giải sgk Tiếng Anh 9 Friends plus
- Lớp 9 Kết nối tri thức
- Soạn văn 9 (hay nhất) - KNTT
- Soạn văn 9 (ngắn nhất) - KNTT
- Giải sgk Toán 9 - KNTT
- Giải sgk Khoa học tự nhiên 9 - KNTT
- Giải sgk Lịch Sử 9 - KNTT
- Giải sgk Địa Lí 9 - KNTT
- Giải sgk Giáo dục công dân 9 - KNTT
- Giải sgk Tin học 9 - KNTT
- Giải sgk Công nghệ 9 - KNTT
- Giải sgk Hoạt động trải nghiệm 9 - KNTT
- Giải sgk Âm nhạc 9 - KNTT
- Giải sgk Mĩ thuật 9 - KNTT
- Lớp 9 Chân trời sáng tạo
- Soạn văn 9 (hay nhất) - CTST
- Soạn văn 9 (ngắn nhất) - CTST
- Giải sgk Toán 9 - CTST
- Giải sgk Khoa học tự nhiên 9 - CTST
- Giải sgk Lịch Sử 9 - CTST
- Giải sgk Địa Lí 9 - CTST
- Giải sgk Giáo dục công dân 9 - CTST
- Giải sgk Tin học 9 - CTST
- Giải sgk Công nghệ 9 - CTST
- Giải sgk Hoạt động trải nghiệm 9 - CTST
- Giải sgk Âm nhạc 9 - CTST
- Giải sgk Mĩ thuật 9 - CTST
- Lớp 9 Cánh diều
- Soạn văn 9 Cánh diều (hay nhất)
- Soạn văn 9 Cánh diều (ngắn nhất)
- Giải sgk Toán 9 - Cánh diều
- Giải sgk Khoa học tự nhiên 9 - Cánh diều
- Giải sgk Lịch Sử 9 - Cánh diều
- Giải sgk Địa Lí 9 - Cánh diều
- Giải sgk Giáo dục công dân 9 - Cánh diều
- Giải sgk Tin học 9 - Cánh diều
- Giải sgk Công nghệ 9 - Cánh diều
- Giải sgk Hoạt động trải nghiệm 9 - Cánh diều
- Giải sgk Âm nhạc 9 - Cánh diều
- Giải sgk Mĩ thuật 9 - Cánh diều


Giải bài tập SGK & SBT
Tài liệu giáo viên
Sách
Khóa học
Thi online
Hỏi đáp

