Giáo án Hóa học 10 Ôn tập đầu năm (Tiết 1) mới nhất
Với mục đích giúp các Thầy / Cô giảng dạy môn Hóa học dễ dàng biên soạn Giáo án Hóa học lớp 10, VietJack biên soạn Giáo án Hóa học 10 Ôn tập đầu năm (Tiết 1) phương pháp mới theo hướng phát triển năng lực theo 5 bước bám sát mẫu Giáo án môn Hóa học chuẩn của Bộ Giáo dục. Hi vọng tài liệu Giáo án Hóa học 10 này sẽ được Thầy/Cô đón nhận và đóng góp những ý kiến quí báu.
Giáo án Hóa học 10 Ôn tập đầu năm (Tiết 1) mới nhất
Xem thử Giáo án Hóa 10 KNTT Xem thử Giáo án Hóa 10 CTST Xem thử Giáo án Hóa 10 CD Xem thử Giáo án PPT Hóa 10 CD
Chỉ từ 300k mua trọn bộ Kế hoạch bài dạy (KHBD) hay Giáo án Hóa 10 cả năm (mỗi bộ sách) bản word chuẩn kiến thức, trình bày đẹp mắt:
- B1: gửi phí vào tk:
1133836868- CT TNHH DAU TU VA DV GD VIETJACK - Ngân hàng MB (QR) - B2: Nhắn tin tới Zalo VietJack Official - nhấn vào đây để thông báo và nhận giáo án
I - MỤC TIÊU BÀI HỌC:
1. Kiến thức:
- Giúp học sinh tái hiện và củng cố lại các kiến thức cơ bản đã học ở THCS, cụ thể:
- Nguyên tử |
- Nguyên tố hoá học |
- Hoá trị của một nguyên tố |
- Định luật bảo toàn khối lượng |
- Mol |
- Tỉ khối của chất khí. |
2. Kỹ năng: Giúp học sinh tự giải quyết một số các bài tập liên quan.
3. Thái độ: Học sinh hăng hái trong học tập.
4. Định hướng năng lực:
- Năng lực phát hiện và giải quyết vấn đề;
- Năng lực sử dụng ngôn ngữ hóa học;
- Năng lực hợp tác.
II – CHUẨN BỊ ĐỒ DÙNG DẠY HỌC:
- Mô hình, Bảng TH các nguyên tố hoá học.
III – PHƯƠNG PHÁP DẠY HỌC CHỦ YẾU.
- Vấn đáp, đàm thoại, thuyết trình nêu vấn đề.
IV- HOẠT ĐỘNG DẠY HỌC:
1. Ổn định trật tự, kiểm tra sĩ số:
2. Kiểm tra bài cũ:
Bỏ qua kiểm tra bài cũ đầu giờ.
3. Chuỗi các hoạt động dạy học
Hoạt động 1: Khởi động – vào bài
Xin chào tất cả các em, chào mừng các em đến với bài học đầu tiên của chương trình hóa học lớp 10. Trong tiết học đầu tiên này, cô sẽ cùng các em củng cố lại một số kiến thức hóa học trọng tâm mà chúng ta đã học ở THCS.
Hoạt động 2: Củng cố - luyện tập
Hoạt động của giáo viên |
Hoạt động của học sinh |
Nội dung ghi bảng |
|||||||||||||||
2.1. Củng cố kiến thức về nguyên tử |
|||||||||||||||||
|
GV hỏi: + Hạt vô cùng nhỏ bé tạo nên các chất gọi là gì? (hay nguyên tử là gì?) + Nguyên tử có cấu tạo như thế nào? GV tổng kết, hệ thống hóa kiến thức. |
+ HS trả lời: nguyên tử + HS trả lời: nguyên tử cấu tạo gồm lớp vỏ (là electron) và hạt nhân (gồm proton và nơtron); |
1. Nguyên tử - Nguyên tử là hạt vô cùng nhỏ và trung hoà về điện. - Nguyên tử của bất kì nguyên tố nào cũng gồm có hạt nhân mang điện tích dương và lớp vỏ có một hay nhiều electron mang điện tích âm. |
|||||||||||||||
|
a. Electon - Kí hiệu e, điện tích 1-, me ≈ 0 |
|||||||||||||||||
|
b. Hạt nhân nguyên tử. - Gồm có p và n.
Số p = số e KLNT ≈ mp + mn |
|||||||||||||||||
2.2. Củng cố kiến thức về nguyên tố hóa học |
|||||||||||||||||
|
GV hỏi: + Nguyên tố hoá học là gì? + Những nguyên tử của cùng một nguyên tố hoá hoc thì chúng có đặc điểm gì giống nhau? GV chuẩn hóa kiến thức. |
HS trả lời: HS trả lời: |
2. Nguyên tố hóa học - Nguyên tố hoá học là tập hợp những nguyên tử có cùng số hạt proton trong hạt nhân. - Nguyên tử của cùng một nguyên tố hoá học thì có tính chất hoá học giống nhau. |
|||||||||||||||
2.3. Củng cố kiến thức về hóa trị của một nguyên tố |
|||||||||||||||||
|
GV: + Hoá trị là gì? |
HS trả lời |
3. Hóa trị + Hoá trị là con số biểu thị khả năng liên kết của nguyên tử nguyên tố này với nguyên tử nguyên tố khác. |
|||||||||||||||
|
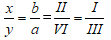
+ Hoá trị của một nguyên tố được xác định như thế nào? Cho ví dụ: GV nhấn mạnh thêm: Trong công thức hoá học, tích chỉ số và hoá trị của nguyên ng/tố này bằng tích của chỉ số và hoá trị của ng/ tố kia. Tức nếu công thức hoá học ax = by và do đó GV lấy ví dụ cho HS trình bày: Ví dụ: Lập CT của hợp chất tạo bởi: a) S (VI) với O (II): b) Ca (II) với O (II): |
HS lắng nghe 2HS lên bảng làm; Các HS khác làm vào vở. a) Ta có: SxOy: Vậy CT là: SO3 b) Ta có: CaxOy: Vậy CT là: CaO |
+ Qui ước chọn hoá trị của H là đơn vị và của O là 2 đơn vị + Cho công thức hoá học ax = by và do đó |
|||||||||||||||
2.4. Củng cố kiến thức về định luật bảo toàn khối lượng |
|||||||||||||||||
|
GV: Nêu định luật bảo toàn khối lượng? |
- 1 HS trả lời |
4. Định luật bảo toàn khối lượng. Trong một phản ứng hoá học, tổng khối lượng các chất sản phẩm bằng tổng khối lượng các chất phản ứng. |
|||||||||||||||
|
GV nhấn mạnh: Khi có n chất trong p/ứ mà đã biết khối lượng n-1 chất ta có thể tính KL chất còn lại. GV lấy ví dụ để HS áp dụng: Cho 80 gam một oxit kim loại (trong đó KL có hóa trị 2) phản ứng hoàn toàn với 2 gam H2 thì thấy thu được 64 gam kim loại. Khối lượng hơi nước sinh ra sau phản ứng là? GV gọi 1 HS lên bảng chữa rồi nhận xét, kết luận. |
- HS lắng nghe - Một HS lên bảng trình bày, các em khác làm vào vở. MO + H2 80(g) + 2 (g) → 64(g) + X? X = 82 – 64 = 18 (g) |
||||||||||||||||
Xem thử Giáo án Hóa 10 KNTT Xem thử Giáo án Hóa 10 CTST Xem thử Giáo án Hóa 10 CD Xem thử Giáo án PPT Hóa 10 CD
Xem thêm các bài soạn Giáo án Hóa học lớp 10 theo hướng phát triển năng lực mới nhất, hay khác:
- Giáo án Hóa học 10 Ôn tập đầu năm (Tiết 2)
- Giáo án Hóa học 10 Bài 1: Thành phần nguyên tử
- Giáo án Hóa học 10 Bài 2: Hạt nhân nguyên tử - Nguyên tố hóa học - Đồng vị
- Giáo án Hóa học 10 Bài 3: Luyện tập: Thành phần nguyên tử
- Giáo án Hóa học 10 Bài 4: Cấu tạo vỏ nguyên tử
Để học tốt lớp 10 các môn học sách mới:
- Giải bài tập Lớp 10 Kết nối tri thức
- Giải bài tập Lớp 10 Chân trời sáng tạo
- Giải bài tập Lớp 10 Cánh diều
Tủ sách VIETJACK shopee lớp 10-11 (cả 3 bộ sách):
Đã có app VietJack trên điện thoại, giải bài tập SGK, SBT Soạn văn, Văn mẫu, Thi online, Bài giảng....miễn phí. Tải ngay ứng dụng trên Android và iOS.
Theo dõi chúng tôi miễn phí trên mạng xã hội facebook và youtube:Nếu thấy hay, hãy động viên và chia sẻ nhé! Các bình luận không phù hợp với nội quy bình luận trang web sẽ bị cấm bình luận vĩnh viễn.
Đã có app VietJack trên điện thoại, giải bài tập SGK, SBT Soạn văn, Văn mẫu, Thi online, Bài giảng....miễn phí. Tải ngay ứng dụng trên Android và iOS.
Theo dõi chúng tôi miễn phí trên mạng xã hội facebook và youtube:Loạt bài Giáo án Vật Lí lớp 10 chuẩn nhất của chúng tôi được biên soạn bám sát nội dung sgk Vật Lí 10 theo chuẩn Giáo án của Bộ GD & ĐT.
Nếu thấy hay, hãy động viên và chia sẻ nhé! Các bình luận không phù hợp với nội quy bình luận trang web sẽ bị cấm bình luận vĩnh viễn.
- Giáo án lớp 10 (các môn học)
- Giáo án điện tử lớp 10 (các môn học)
- Giáo án Ngữ văn 10
- Giáo án Toán 10
- Giáo án Tiếng Anh 10
- Giáo án Vật Lí 10
- Giáo án Hóa học 10
- Giáo án Sinh học 10
- Giáo án Lịch Sử 10
- Giáo án Địa Lí 10
- Giáo án Kinh tế Pháp luật 10
- Giáo án Tin học 10
- Giáo án Công nghệ 10
- Giáo án Giáo dục quốc phòng 10
- Giáo án Hoạt động trải nghiệm 10
- Đề thi lớp 10 (các môn học)
- Đề thi Ngữ Văn 10 (có đáp án)
- Chuyên đề Tiếng Việt lớp 10
- Đề cương ôn tập Văn 10
- Đề thi Toán 10 (có đáp án)
- Đề thi cương ôn tập Toán 10
- Đề thi Toán 10 cấu trúc mới (có đáp án)
- Đề thi Tiếng Anh 10 (có đáp án)
- Đề thi Vật Lí 10 (có đáp án)
- Đề thi Hóa học 10 (có đáp án)
- Đề thi Sinh học 10 (có đáp án)
- Đề thi Lịch Sử 10 (có đáp án)
- Đề thi Địa Lí 10 (có đáp án)
- Đề thi Kinh tế & Pháp luật 10 (có đáp án)
- Đề thi Tin học 10 (có đáp án)
- Đề thi Công nghệ 10 (có đáp án)
- Đề thi Giáo dục quốc phòng 10 (có đáp án)


Giải bài tập SGK & SBT
Tài liệu giáo viên
Sách
Khóa học
Thi online
Hỏi đáp

