Giáo án Toán 10 Bài 3: Công thức lượng giác (mới, chuẩn nhất)
Giáo án Toán 10 Bài 3: Công thức lượng giác
Xem thử Giáo án Toán 10 KNTT Xem thử Giáo án Toán 10 CTST Xem thử Giáo án Toán 10 CD
Chỉ từ 300k mua trọn bộ Kế hoạch bài dạy (KHBD) hay Giáo án Toán 10 cả năm (mỗi bộ sách) bản word chuẩn kiến thức, trình bày đẹp mắt:
- B1: gửi phí vào tk:
1133836868- CT TNHH DAU TU VA DV GD VIETJACK - Ngân hàng MB (QR) - B2: Nhắn tin tới Zalo VietJack Official - nhấn vào đây để thông báo và nhận giáo án
A. KẾ HOẠCH CHUNG
Phân phối thời gian |
Tiến trình dạy học |
|
Tiết 1 |
HOẠT ĐỘNG KHỞI ĐỘNG (BÀI CŨ) |
|
HOẠT ĐỘNG HÌNH THÀNH KIẾN THỨC |
Công thức cộng |
|
Công thức nhân đôi |
||
Công thức hạ bậc |
||
Tiết 2 |
Công thức biến đổi tổng thành tích |
|
Công thức biến đối tích thành tổng |
||
Tiết 3 |
HOẠT ĐỘNG LUYỆN TẬP - VẬN DỤNG |
|
B. KẾ HOẠCH DẠY HỌC
I. MỤC TIÊU CỦA BÀI:
1. Kiến thức:
- Hiểu công thức tính sin, côsin, tang, côtang của tổng, hiệu hai góc.
- Từ các công thức cộng suy ra công thức góc nhân đôi.
- Hiểu công thức biến đổi tích thành tổng và công thức biến đổi tổng thành tích.
2. Về kĩ năng:
- Vận dụng được công thức cộng, công thức góc nhân đôi để giải các bài toán như tính giá trị lượng giác của một góc, rút gọn những biểu thức lượng giác đơn giản và chứng minh một số bất đẳng thức.
- Vận dụng được công thức biến đổi tích thành tổng, công thức biến đổi tổng thành tích vào một số bài toán biến đổi, rút gọn biểu thức.
3. Về tư duy, thái độ: Biết quy lạ về quen; cẩn thận, chính xác.
4. Định hướng phát triển năng lực:
- Năng lực quan sát, năng lực phát hiện và giải quyết vấn đề.
- Năng lực hợp tác, năng lực tính toán.
- Năng lực vận dụng kiến thức vào cuộc sống.
II. CHUẨN BỊ PHƯƠNG TIỆN DẠY HỌC:
1. Thực tiễn: HS đã biết các công thức về: Giá trị lượng giác của các cung có liên quan đặc biệt,...
2. Phương tiện:
+ GV: Chuẩn bị các bảng phụ kết quả mỗi hoạt động, SGK, thước, compa,..
+ HS: Xem bài trước ở nhà, SGK, ...
III. GỢI Ý VỀ PPDH: Cơ bản dùng PP gợi mở, vấn đáp thông qua các HĐ điều khiển tư duy.
IV. TIẾN TRÌNH BÀI HỌC VÀ CÁC HOẠT ĐỘNG:
1. Ổn định lớp:
2. Kiểm tra bài cũ:
Viết GTLG của các cung có liên quan đặc biệt: cung đối nhau và cung phụ nhau? Không sử dụng máy tính: Tính
3. HOẠT ĐỘNG HÌNH THÀNH KIẾN THỨC
Nội dung, mục đích |
Hoạt động của GV |
Hoạt động của HS |
|
|
HĐ1: Giới thiệu công thức cộng: I. Công thức cộng:
Với điều kiện là các biểu thức trên có nghĩa. * Ta cm ct thứ 2 cos( a + b) = cos[a-(-b)] = cosacos(-b) + sinasin(-b) = cosacosb – sinasinb * Ta cm ct thứ 3 |
* Tính cos( * Phân tích ⇒Dán bảng phụ công thức * Ta thừa nhận công thức đầu tiên. * Nêu cách cm 1 đẳng thức ? + Ta cm công thức thứ hai: Áp dụng ct thứ 1 + Áp dụng ct 2 cung phụ nhau * HĐ1SGK: Hãy cm c.thức: sin( a + b) = sinacosb + cosasinb ? + Ta áp ct thứ 3 + Ta có thể áp dụng ct cung phụ và ct thứ 1 |
* HS quan sát * HS trả lời câu hỏi mà GV đặt ra trong quá trình cm * Học sinh trả lời: sin( a + b) = sin[a - (-b)] = sinacos(-b) - cosasin(-b) = sinacosb + cosasinb.(đpcm) |
|
|
HĐ2: Rèn luyện kĩ năng sử dụng công thức cộng tính các giá trị lượng giác và chứng minh các đẳng thức lượng giác VD1: Tính tan Giải: Ta có: VD2: Chứng minh rằng: Giải: Ta có: |
* Gv đưa vd1 * tan(α+k2π) = ? * Phân tích tan( * Phân tích * Có dạng ct nào ? * Gv đưa vd1 * Cách cm 1 đẳng thức ? Chia hai vế cho cosacosb ta được? * Tính nhanh |
* HS tìm hiểu đề * = tanα * = tan * * Ct thứ 5 * HS tính * HS tìm hiểu đề * HS phát biểu |
|
|
HĐ3: Giới thiệu công thức nhân đôi: II. Công thức nhân đôi: Cho a = b trong công thức cộng ta được công thức nhân đôi sau: Từ công thức nhân đôi ta suy ra công thức hạ bậc sau: |
* Thế b = a trong các công thức cộng ta được gì? * sin2a + cos2a = 1 . Tìm cos2a theo cos2a ( sin2a)? sin3π= ? * sin3a = 3sinacosa ? * cos3a = cos3a – sin3a ? Từ : cos2a = 2cos2a-1 , cos2a = 1 – 2sin2a Tìm cos2a, sin2a theo cos2a? Từ công thức vừa tìm được tìm tan2a? |
* Học sinh trả lời. * * Không * Không |
|
|
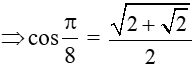
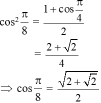
HĐ4: Rèn luyện kĩ năng sử dụng công thức nhân đôi và công thức hạ bậc tính các giá trị lượng giác: VD1: Biết Giải: Ta có: VD2:Tính cos( Giải: Ta có: Vì |
* Gv đưa vd * Tìm mối quan hệ của sina + cosa và sin2a? sin2a + cos2a = ? Tìm sin2a? * Cung cos2( Vì ⇒ ? |
* HS tìm hiểu đề
|
.....................................................................................................
.....................................................................................................
.....................................................................................................
.....................................................................................................
Xem thử Giáo án Toán 10 KNTT Xem thử Giáo án Toán 10 CTST Xem thử Giáo án Toán 10 CD
Xem thêm các bài soạn Giáo án Toán lớp 10 theo hướng phát triển năng lực mới nhất, hay khác:
- Giáo án Toán 10 Bài 1: Cung và góc lượng giác
- Giáo án Toán 10 Bài 2: Giá trị lượng giác của một cung
- Giáo án Toán 10 Ôn tập chương 6 Đại số
Để học tốt lớp 10 các môn học sách mới:
- Giải bài tập Lớp 10 Kết nối tri thức
- Giải bài tập Lớp 10 Chân trời sáng tạo
- Giải bài tập Lớp 10 Cánh diều
Tủ sách VIETJACK shopee lớp 10-11 (cả 3 bộ sách):
Đã có app VietJack trên điện thoại, giải bài tập SGK, SBT Soạn văn, Văn mẫu, Thi online, Bài giảng....miễn phí. Tải ngay ứng dụng trên Android và iOS.
Theo dõi chúng tôi miễn phí trên mạng xã hội facebook và youtube:Nếu thấy hay, hãy động viên và chia sẻ nhé! Các bình luận không phù hợp với nội quy bình luận trang web sẽ bị cấm bình luận vĩnh viễn.
Đã có app VietJack trên điện thoại, giải bài tập SGK, SBT Soạn văn, Văn mẫu, Thi online, Bài giảng....miễn phí. Tải ngay ứng dụng trên Android và iOS.
Theo dõi chúng tôi miễn phí trên mạng xã hội facebook và youtube:Loạt bài Giáo án Toán 10 cả ba sách mới của chúng tôi được biên soạn bám sát chuẩn Giáo án môn Toán 10 của Bộ GD & ĐT.
Nếu thấy hay, hãy động viên và chia sẻ nhé! Các bình luận không phù hợp với nội quy bình luận trang web sẽ bị cấm bình luận vĩnh viễn.
- Giáo án lớp 10 (các môn học)
- Giáo án điện tử lớp 10 (các môn học)
- Giáo án Ngữ văn 10
- Giáo án Toán 10
- Giáo án Tiếng Anh 10
- Giáo án Vật Lí 10
- Giáo án Hóa học 10
- Giáo án Sinh học 10
- Giáo án Lịch Sử 10
- Giáo án Địa Lí 10
- Giáo án Kinh tế Pháp luật 10
- Giáo án Tin học 10
- Giáo án Công nghệ 10
- Giáo án Giáo dục quốc phòng 10
- Giáo án Hoạt động trải nghiệm 10
- Đề thi lớp 10 (các môn học)
- Đề thi Ngữ Văn 10 (có đáp án)
- Chuyên đề Tiếng Việt lớp 10
- Đề cương ôn tập Văn 10
- Đề thi Toán 10 (có đáp án)
- Đề thi cương ôn tập Toán 10
- Đề thi Toán 10 cấu trúc mới (có đáp án)
- Đề thi Tiếng Anh 10 (có đáp án)
- Đề thi Vật Lí 10 (có đáp án)
- Đề thi Hóa học 10 (có đáp án)
- Đề thi Sinh học 10 (có đáp án)
- Đề thi Lịch Sử 10 (có đáp án)
- Đề thi Địa Lí 10 (có đáp án)
- Đề thi Kinh tế & Pháp luật 10 (có đáp án)
- Đề thi Tin học 10 (có đáp án)
- Đề thi Công nghệ 10 (có đáp án)
- Đề thi Giáo dục quốc phòng 10 (có đáp án)


Giải bài tập SGK & SBT
Tài liệu giáo viên
Sách
Khóa học
Thi online
Hỏi đáp

