Giáo án Toán 10 Chương 3: Phương pháp tọa độ trong mặt phẳng (mới, chuẩn nhất)
Với mục đích giúp các Thầy / Cô giảng dạy môn Toán dễ dàng biên soạn Giáo án Toán lớp 10, VietJack biên soạn Bộ Giáo án Toán 10 Chương 3: Phương pháp tọa độ trong mặt phẳng phương pháp mới theo hướng phát triển năng lực bám sát mẫu Giáo án môn Toán chuẩn của Bộ Giáo dục. Hi vọng tài liệu Giáo án Toán 10 này sẽ được Thầy/Cô đón nhận và đóng góp những ý kiến quí báu.
Giáo án Toán 10 Chương 3: Phương pháp tọa độ trong mặt phẳng
Xem thử Giáo án Toán 10 KNTT Xem thử Giáo án Toán 10 CTST Xem thử Giáo án Toán 10 CD
Chỉ từ 300k mua trọn bộ Kế hoạch bài dạy (KHBD) hay Giáo án Toán 10 cả năm (mỗi bộ sách) bản word chuẩn kiến thức, trình bày đẹp mắt:
- B1: gửi phí vào tk:
1133836868- CT TNHH DAU TU VA DV GD VIETJACK - Ngân hàng MB (QR) - B2: Nhắn tin tới Zalo VietJack Official - nhấn vào đây để thông báo và nhận giáo án
- Giáo án Toán 10 Bài 1: Phương trình đường thẳng
- Giáo án Toán 10 Bài 2: Phương trình đường tròn
- Giáo án Toán 10 Bài 3: Phương trình đường elip
- Giáo án Toán 10 Ôn tập chương 3 Hình học
- Giáo án Toán 10 Ôn tập cuối năm hình học
Giáo án Toán 10 Bài 1: Phương trình đường thẳng
A. KẾ HOẠCH CHUNG
Phân phối thời gian |
Tiến trình dạy học |
||
Tiết 1 |
HOẠT ĐỘNG KHỞI ĐỘNG |
||
HOẠT ĐỘNG HÌNH THÀNH KIẾN THỨC |
KT1: VTCP, Phương trình tham số |
||
Tiết 2+3+4 |
KT2: VTPT, Phương trình tổng quát |
||
KT3: Vị trí tương đối, góc giữa hai đường thẳng, |
|||
KT4: Khoảng cách từ một điểm đến đường thẳng. |
|||
Tiết 5 |
HOẠT ĐỘNG LUYỆN TẬP |
||
HOẠT ĐỘNG VẬN DỤNG |
|||
HOẠT ĐỘNG TÌM TÒI, MỞ RỘNG |
|||
B. KẾ HOẠCH DẠY HỌC
I. MỤC TIÊU CỦA BÀI:
1. Kiến thức:
HS biết:
- Khái niệm vectơ chỉ phương - phương trình tham số của đừơng thẳng
- Khái niệm vectơ pháp tuyến - phương trình tổng quát của đường thẳng
- Vị trí tương đối giữa 2 đường thẳng, góc giữa 2 đường thẳng
- Khoảng cách từ 1 điểm đến 1 đường thẳng
- Đánh giá được kết quả học tập của HS
2. Về kỹ năng:
+ Lập được phương trình tham số, phương trình tổng quát của đường thẳng khi biết các yếu tố đủ để xác định đường thẳng đó.
+ Nắm vững cách vẽ đường thẳng trong mặt phẳng tọa độ khi biết phương trình của nó.
+ Xác định được vị trí tương đối, góc giữa 2 đường thẳng khi biết phương trình 2 đường thẳng đó
+ Tính được khoảng cách từ 1 điểm đến 1 đường thẳng
+Tính được độ dài của các cạnh, các góc trong một tam giác bất kì khi biết các yếu tố cho trước.
+ Hình thành kỹ năng giải quyết các bài toán liên quan đến đo đạc khoảng cách.
+ Hình thành cho HS các kĩ năng khác:
- Thu thập và xử lý thông tin.
- Tìm kiếm thông tin và kiến thức thực tế, thông tin trên mạng Internet.
- Làm việc nhóm trong việc thực hiện dự án dạy học của giáo viên.
- Viết và trình bày trước đám đông.
- Học tập và làm việc tích cực chủ động và sáng tạo.
- HS tự đánh giá được kết quả học tập của mình, của bạn.
- Trình bày bài giải bài Toán
3. Thái độ:
+ Nghiêm túc, tích cực, chủ động, độc lập và hợp tác trong hoạt động nhóm.
+ Say sưa, hứng thú trong học tập và tìm tòi nghiên cứu liên hệ thực tiễn
+ Bồi dưỡng đạo đức nghề nghiệp, tình yêu thương con người, yêu quê hương, đất nước.
- Nghiêm túc, trung thực trong kiểm tra.
4. Các năng lực chính hướng tới hình thành và phát triển ở học sinh:
- Năng lực hợp tác: Tổ chức nhóm HS hợp tác thực hiện các hoạt động.
- Năng lực tự học, tự nghiên cứu: HS tự giác tìm tòi, lĩnh hội kiến thức và phương pháp giải quyết bài tập và các tình huống.
- Năng lực giải quyết vấn đề: HS biết cách huy động các kiến thức đã học để giải quyết các câu hỏi. Biết cách giải quyết các tình huống trong giờ học.
- Năng lực sử dụng công nghệ thông tin: HS sử dụng máy tính, mang Internet, các phần mềm hỗ trợ học tập để xử lý các yêu cầu bài học.
- Năng lực thuyết trình, báo cáo: Phát huy khả năng báo cáo trước tập thể, khả năng thuyết trình.
- Năng lực tính toán.
- Năng lực tự đánh giá.
II. Chuẩn bị
1. Giáo viên: Kế hoạch dạy học, sgk, các phiêu học tập, đồ dùng phục vụ dạy và học...
2. HS: Sgk, các thông tin đã biết về đường thẳng, đồ dùng học tập, làm các câu hỏi GV giao về nhà,...
III.TIẾN TRÌNH DẠY HỌC:
Tiết 1 - PPCT 29: Vectơ chỉ phương và phương trình tham số của đường thẳng
* Ổn định tổ chức lớp và kiểm tra sĩ số.
1. HOẠT ĐỘNG KHỞI ĐỘNG
• Mục tiêu: Tạo sự hứng khởi cho HS để vào bài mới bằng cách tạo tình huống có vấn đề, giúp HS nhớ lại các kiến thức đã học có liên quan đến nội dung bài mới, từ đó các em có thể tự tìm ra kiến thức mới dựa trên các kiến thức đã biết và các hoạt động hình thành kiến thức.
• Nội dung: Đưa ra các câu hỏi bài tập và yêu cầu HS chuẩn bị trước ở nhà.
Kỹ thuật tổ chức: Chia lớp thành hai nhóm, đưa các câu hỏi cho từng nhóm chuẩn bị trước ở nhà, dự kiến các tình huống đặt ra để gợi ý HS trả lời câu hỏi (nếu HS chưa giải quyết được câu hỏi).
• Sản phẩm: HS trả lời được các câu hỏi đặt ra.
• Thực hiện hoạt động khởi động: (GV đưa phiếu bài tập cho HS chuẩn bị trước ở nhà)
NHÓM 1:
|
PHIẾU BÀI TẬP NHÓM 1 Trả lời các câu hỏi sau: 1/ Định nghĩa hàm số bậc nhất, đồ thị của hàm số bậc nhất? 2/ Đường thẳng Δ đi qua A(x0; y0) có hệ số góc k có phương trình như thế nào? 3/ Viết phương trình đường thẳng Δ đi qua A(2; 3) và có hệ số góc k = 2? 4/ Viết phương trình đường thẳng d đi qua hai điểm A(2; 3) và B(4; 2)? Biểu diễn hai đường thẳng Δ và d trên cùng một hệ trục tọa độ? |
NHÓM 2:
|
PHIẾU BÀI TẬP NHÓM 2 Trả lời các câu hỏi sau: 1/ Tìm các cách xác định một đường thẳng trong mặt phẳng? Và các kiến thức liên quan đến đường thẳng? 2/ Cách xét vị trí tương đối của hai đường thẳng trong mặt phẳng? 3/ Theo sự hiểu biết của em trình bày cách tính khoảng cách từ một điểm đến một đường thẳng? Nêu ra một số cách tính góc giữa hai đường thẳng? |
• Hoạt động trên lớp:
- HS đại diện 2 nhóm báo cáo kết quả thu được; GV chính xác hóa những kiến thức các nhóm đã thu nhận và GV dùng hình ảnh HS biểu diễn hai đường thẳng Δ và d trên cùng một hệ trục tọa độ (Kết quả của nhóm 1) để nêu các câu hỏi:
Em hãy trao đổi cặp đôi với nhau và trả lời câu hỏi
H1: Có nhận xét gì về vị trí của hai đường thẳng Δ và d? Từ đó có kết luận gì về góc giữa chúng?
H2: Phương trình của Δ và d đều được biểu diễn ở dạng hàm số nào?
H3: Khoảng cách từ điểm B đến đường thẳng Δ được tính như thế nào?
- HS suy nghĩ trả lời các câu hỏi.
- GV nhận xét, chỉnh sửa kiến thức HS đã trả lời?
- GV nêu ra vấn đề: Đường thẳng đã biết dạng phương trình của nó là
y = ax + b, vậy nó còn có dạng nào khác nữa và tên gọi của các phương trình ấy như thế nào?
Tại sao lại phải nghiên cứu về PTĐT khi mà đường thẳng và các vấn đề liên quan đã được nghiên cứu rất nhiều rồi?
Để trả lời những những thắc mắc đó chúng ta sẽ đi nghiên cứu bài học “Phương trình đường thẳng”.
2. HOẠT ĐỘNG HÌNH THÀNH KIẾN THỨC.
*Mục tiêu :HS nắm được định nghĩa VTCP và PTTS
*Nội dung: Đưa ra nội dung ĐN các nhận xét có liên quan, Dạng PTTS, quan hệ giữa VTCP và hệ số góc của đường thẳng và các bài tập ở mức độ nhận biết và thông hiểu.
*Kỹ thuật tổ chức :Thuyết trình, hoạt động nhóm, vấn đáp
*Sản phẩm: HS nắm được ĐN VTCP và PTTS vận dụng vào trả lời câu hỏi, bài tập ở mức độ NB, TH
HĐ1. Xây dựng VTCP và PTTS của đường thẳng
Hoạt động của GV |
Hoạt động của HS |
Nội dung cần ghi |
|
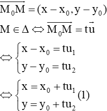
*Nêu HĐ 1 trong SGK Trong mp Oxy cho đ.thẳng Δ là đồ thị của HSố a) Tìm tung độ của 2 điểm M0;M nằm trên Δ , có hoành độ lượt là 2 và 6 b) Chứng tỏ *Trong mp Oxy cho đường thẳng Δ đi qua điểm M0(x0,y0) và nhận Làm VTCP.Hãy tìm đk để M(x,y) nằm trên Δ *Hãy viết PTTS của Δ đi qua M(2;3) và nhận *Cho đường thẳng có PTTS Hãy tìm 1 điểm có toạ độ xđ và 1 VTCP của đt đó? |
-Thế hoành độ x=2 của M0 và x=6 của M vào phương trình - Tìm được tung độ, ta có tọa độ - KL: M thuộc vào Δ khi và chỉ khi *Cho t=0 ta có Vậy M(5;2)∈Δ * |
I. Vectơ chỉ phương của đường thẳng. -Định nghĩa: (SGK- Trang 70) - Nhận xét: -Δ xác định nếu biết điểm và 1 vectơ chỉ phương II. P.Trình tham số của đường thẳng a.Định nghĩa: Trong mp Oxy cho đường thẳng Δ đi qua điểm M0(x0,y0) và nhận Làm VTCP.M=(x,y) *Hệ phương trình (1) gọi là PTTS của đường thẳng Δ *Cho t 1 giá trị cụ thể thì ta xác định được 1 điểm trên đường thẳng Δ |
HĐ2. Tính hệ số góc của đường thẳng khi biết VTCP
Hoạt động của GV |
Hoạt động của HS |
Nội dung cần ghi |
|
GV giúp HS tìm hệ số góc từ PTTS của đthẳng có VTCP là Rút t từ p.tr (1) rồi thay vào p.tr (2). Đặt *GV nêu HĐ 3 (SGK) *GV nêu VD b)HS viết PTTS cần có 1 điểm A (hoặc B), chọn được VTCP là Có VTCP ta sẽ tính được hệ số góc |
Suy ra:
HS tự thay số và tìm kết quả |
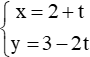
b.Liên hệ giữa VTCP và hệ số góc của đường thẳng Đthẳng Δ có VTCP VD: Viết PTTS của đthẳng d qua A(2;3),B(3;1). Tính hệ số góc của d. d qua A và B nên Vậy PTTS của d: hệ số góc của d là: |
3. LUYỆN TẬP
Phiếu học tập
|
Câu 1(NB):Trong mặt phẳng tọa độ Oxy, cho đường thẳng d có VTCP A. (4;2) B. (2;1) C. (-4;2) D. (-1;2) Câu 2(NB):Trong mặt phẳng tọa độ Oxy, cho hai điểm A(-1;4), B(1;3). Tìm một VTCP của đường thẳng AB. A. (0;-1) B. (-2;1) C. (-1;-1) D. (2;-1) Câu 3: a) Viết PTTS của đường thẳng d qua A(2;3) ; B(3;1) . Tính hệ số góc của d. b) Viết PTTS của đt đi qua điểm A(2; 3) và có hệ số góc bằng 2. |
GV yêu cầu HS làm việc theo 4 nhóm suy nghĩ viết lời giải của bài toán trên phiếu học tập. Sau đó một nhóm đại diện báo cáo các nhóm còn lại nhận xét cho điểm.
+ Thực hiện nhiệm vụ: HS thảo luận tìm ra câu trả lời.
+ Báo cáo thảo luận: Đại diện hai nhóm báo cáo, các nhóm còn lại theo dõi và nhận xét, bổ sung (nếu có).
+ Đánh giá, nhận xét, tổng hợp: GV nhận xét kết quả hoạt động của HS.
+ Sản phẩm: HS biết giải toán và trình bày lời giải.
4. CỦNG CỐ VÀ HƯỚNG DẪN VỀ NHÀ KHI H ẾT TIẾT 1
+ Chuyển giao nhiệm vụ: Em hãy nhắc lại các kiến thức cơ bản của tiết học ngày hôm nay?
+ HS báo cáo:(cá nhân)
+ GV chốt lại:
+ HD học và chuẩn bị phần tiếp theo.
.....................................................................................................
.....................................................................................................
.....................................................................................................
.....................................................................................................
Giáo án Toán 10 Bài 2: Phương trình đường tròn
A. KẾ HOẠCH CHUNG
Phân phối thời gian |
Tiến trình dạy học |
||
Tiết 1 |
HOẠT ĐỘNG KHỞI ĐỘNG |
||
HOẠT ĐỘNG HÌNH THÀNH KIẾN THỨC |
PT đường tròn dạng 1 |
||
Tiết 2 |
PT đường tròn dạng 2 |
||
PT tiếp tuyến của đường tròn |
|||
Tiết 3 |
HOẠT ĐỘNG LUYỆN TẬP |
||
HOẠT ĐỘNG VẬN DỤNG |
|||
HOẠT ĐỘNG TÌM TÒI, MỞ RỘNG |
|||
B. KẾ HOẠCH DẠY HỌC
I. MỤC TIÊU CỦA BÀI:
1. Kiến thức:
+ Phương trình đường tròn.
+Phương trình tiếp tuyến với đường tròn tại 1 điểm thuộc đường tròn.
b. Về kỹ năng:
+ Nhận diện được phương trình cho trước có là phương trình đường tròn không
+ Viết được pt đường tròn khi tìm được tâm và bán kính.
+ Viết được phương trình tiếp tuyến với đường tròn tại một điểm.
c. Thái độ:
+ Nghiêm túc, tích cực, chủ động, độc lập và hợp tác trong hoạt động nhóm
+ Say sưa, hứng thú trong học tập và tìm tòi nghiên cứu liên hệ thực tiễn
d. Các năng lực chính hướng tới hình thành và phát triển ở học sinh:
- Năng lực hợp tác: Tổ chức nhóm học sinh hợp tác thực hiện các hoạt động.
- Năng lực tự học, tự nghiên cứu: Học sinh tự giác tìm tòi, lĩnh hội kiến thức và phương pháp giải quyết bài tập và các tình huống.
- Năng lực giải quyết vấn đề: Học sinh biết cách huy động các kiến thức đã học để giải quyết các câu hỏi. Biết cách giải quyết các tình huống trong giờ học.
- Năng lực sử dụng công nghệ thông tin: Học sinh sử dụng máy tính, mang internet, các phần mềm hỗ trợ học tập để xử lý các yêu cầu bài học.
- Năng lực thuyết trình, báo cáo: Phát huy khả năng báo cáo trước tập thể, khả năng thuyết trình.
- Năng lực tính toán.
*Bảng mô tả các mức độ nhận thức và năng lực được hình thành
- Bảng mô tả các mức độ nhận thức
Nội dung |
Nhận biết(NB) |
Thông hiểu(TH) |
Vận dụng thấp(VDT) |
Vận dụng cao(VDC) |
Phương trình đường tròn dạng 1 |
Học sinh nắm được dạng của pt |
Học sinh áp dụng được công thức viết ptđt khi cho tâm, bk |
Viết ptđtr cần xác định tâm, bk |
Viết ptđtr trường hợp tìm tâm bk khó,bài toán tìm điểm liên quan đên đường tròn |
Phương trình đường tròn dạng 2 |
Nhận diện được pt đã cho có phải là pt đường tròn không |
Xác định tâm, bk của đường tròn dạng 2 |
Viết pt đường tròn qua 3 điểm |
|
Phương trình tiếp tuyến của đường tròn |
Học sinh nắm được cách viết |
Học sinh áp dụng viết pttt với đtr khi biết tọa điểm điểm tiếp xúc |
Đk để một đường thẳng tx với một đtr |
Viết pttt với đường tròn dựa vào đk tiếp xúc |
Bất đẳng thức, Bất phương trình, Hệ bất phương trình |
Sử dụng công thức làm bài tập |
Phân tích bài toán sử dụng công thức |
Phân tích để áp dụng công thức làm bài tập |
Sử dụng công thức để làm bài toán thực tế bài toán nâng cao |
2/ Phương pháp dạy học tích cực có thể sử dụng:
+ Nêu vấn đề và giải quyết vấn đề qua tổ chúc hoạt động nhóm.
+ PP khăn trải bàn.
3/ Phương tiện dạy học:
+ Bảng phụ, bút dạ, máy chiếu, máy tính.
HOẠT ĐỘNG KHỞI ĐỘNG
*Mục tiêu: Tạo sự chú ý của học sinh để vào bài mới.
*Nội dung:
- Đưa các hình ảnh về đường tròn trong thực tế
- Đưa ra hình ảnh đồ thị của parabol.
- Đưa ra hình ảnh đồ thị của đường thẳng.
- Đưa ra hình ảnh đường tròn tâm I(a;b), bán kính R, đặt câu hỏi vậy đường tròn này có phương trình như thế nào?
*Kỹ thuật tổ chức: Chia lớp thành nhiều nhóm(Mỗi nhóm 2 hoặc 3 em), cho học sinh quan sát hình ảnh, dự kiến các tình huống đặt ra để trả lời câu hỏi.
*Sản phẩm: Học sinh chốt được điều kiện để một điểm nằm trên đường tròn, điều kiện bằng tọa độ để M nằm trên đường tròn tâm I(a;b), bán kính R.
HOẠT ĐỘNG HÌNH THÀNH KIẾN THỨC.
*Mục tiêu: Học sinh nắm được phương trình đường tròn dạng 1 và dạng 2.
*Nội dung: Đưa ra các phần lý thuyết và có ví dụ ở mức độ NB, TH.
*Kỹ thuật tổ chức: Thuyết trình, tổ chức hoạt động nhóm.
*Sản phẩm: Viết được phương trình đường tròn, nhận diện được phương trình đường tròn
I. HTKT1: PHƯƠNG TRÌNH ĐƯỜNG TRÒN DẠNG 1
|
+) HÐI.1: Khởi động(Tiếp cận). |
GỢI Ý |
|
|
HÐI.1.1. Tìm điều kiện để một điểm nằm trên đường tròn GV phát phiếu trắc nghiệm mục đích để nhắc lại công thức tính độ dài đoạn thẳng; nhận biết ra vị trí tương đối của đường tròn và của điểm bằng tọa độ; nhận biết được đk để một điểm nằm trên đường tròn bằng tọa độ PHIẾU TRẮC NGHIỆM SỐ 01 Bài 1. Công thức nào là công thức tính độ dài đoạn thẳng AB Bài 2. Trong hệ trục OXY cho đường tròn (C) tâm I(1;2), bán kính R=3 và các điểm A,B,C,D. Kết luận nào sau đây đúng A. Có 2 điểm nằm trên (C), một điểm nằm ngoài, một điểm nằm trong (C) B. Có 1 điểm nằm trên (C), một điểm nằm ngoài và 2 điểm nằm trong (C) C. Có 1 điểm nằm trên (C), 2 điểm nằm ngoại (C) và 1 điểm nằm trong (C) D. Cả 4 điểm đều nằm trên (C) Bài 3. Đk nào dưới đây làm cho điểm M(x;y) nằm trên đường tròn (C) tâm I(1;2), bk R = 3 |
Hai nhóm lên thuyết trình phiếu trắc nghiệm của minh, các nhóm bên dưới nhận xét Đáp án C Hs có thể vẽ hình quan sát và đếm. Trên hình vẽ GV lưa ý về khoảng cách IA,IB, IC, ID và R Hs có thể tính các độ dài IA, IB, IC, ID sau đó so sánh với R Đáp án A Để điểm M nằm trên (C) đk IM = R ⇒ chọn đáp án B |
|
|
Câu hỏi : Cho điểm M (x;y) và đường tròn (C) tâm I(a;b) bán kính R. Điều kiện để điểm M nằm trên (C) là: |
M∈(C) ⇒ IM = R Viết biểu thức tọa độ ⇒ đáp án A GV chốt kiến thức |
|
+) HĐI.2: Hình thành kiến thức. |
||
Từ kết quả HĐI.1, ta suy ra đường tròn tâm I(a;b) , bán kính R có phương trình như sau: (x-a)2+(y-b)2=R2 |
||
|
Ví dụ 1(NB) Trong hệ trục tọa Oxy, phương trình đường tròn (C) (x-3)2+(y+4)2=25 có tâm và bán kính là A. Tâm I(3; -4), R= 25 B. Tâm I(-3; 4), R= 25 C. Tâm I(3; -4), R= 5 D. Tâm I(-3; 4), R= 5 Ví dụ 2: (TH) Trong hệ trục Oxy cho đường tròn tâm I(2;-3), bán kính R = 4 có phương trình là A. (x+2)2+(y+3)2=16 B. (x-2)2+(y+3)2=16 C. (x-2)2+(y-3)2=16 D. (x-2)2+(y+3)2=4 |
||
+) HĐI.3: Củng cố. |
GỢI Ý |
|
HĐI.3.1. Đường tròn tâm I(1;4) và đi qua điểm B(2;6) có pt là: |
Bán kính |
|
HĐI.3.2. Trong hệ trục Oxy, cho điểm A(2;-3) và điểm B(4;1). Viết phương trình đường tròn đường kính AB. |
+ Tâm I là trung điểm của AB. + Bán kính |
|
.....................................................................................................
.....................................................................................................
.....................................................................................................
.....................................................................................................
Xem thử Giáo án Toán 10 KNTT Xem thử Giáo án Toán 10 CTST Xem thử Giáo án Toán 10 CD
Xem thêm các bài soạn Giáo án Toán lớp 10 theo hướng phát triển năng lực mới nhất, hay khác:
- Giáo án Toán 10 Chương 1: Mệnh đề - Tập hợp
- Giáo án Toán 10 Chương 2: Hàm số bậc nhất và bậc hai
- Giáo án Toán 10 Chương 3: Phương trình. Hệ phương trình
- Giáo án Toán 10 Chương 4: Bất đẳng thức. Bất phương trình
- Giáo án Toán 10 Chương 5: Thống kê
- Giáo án Toán 10 Chương 6: Cung và góc lượng giác. Công thức lượng giác
- Giáo án Toán 10 Chương 1: Vectơ
- Giáo án Toán 10 Chương 2: Tích vô hướng của hai vectơ và ứng dụng
Để học tốt lớp 10 các môn học sách mới:
- Giải bài tập Lớp 10 Kết nối tri thức
- Giải bài tập Lớp 10 Chân trời sáng tạo
- Giải bài tập Lớp 10 Cánh diều
Tủ sách VIETJACK shopee lớp 10-11 (cả 3 bộ sách):
Đã có app VietJack trên điện thoại, giải bài tập SGK, SBT Soạn văn, Văn mẫu, Thi online, Bài giảng....miễn phí. Tải ngay ứng dụng trên Android và iOS.
Theo dõi chúng tôi miễn phí trên mạng xã hội facebook và youtube:Nếu thấy hay, hãy động viên và chia sẻ nhé! Các bình luận không phù hợp với nội quy bình luận trang web sẽ bị cấm bình luận vĩnh viễn.
Đã có app VietJack trên điện thoại, giải bài tập SGK, SBT Soạn văn, Văn mẫu, Thi online, Bài giảng....miễn phí. Tải ngay ứng dụng trên Android và iOS.
Theo dõi chúng tôi miễn phí trên mạng xã hội facebook và youtube:Loạt bài Giáo án Toán 10 cả ba sách mới của chúng tôi được biên soạn bám sát chuẩn Giáo án môn Toán 10 của Bộ GD & ĐT.
Nếu thấy hay, hãy động viên và chia sẻ nhé! Các bình luận không phù hợp với nội quy bình luận trang web sẽ bị cấm bình luận vĩnh viễn.
- Giáo án lớp 10 (các môn học)
- Giáo án điện tử lớp 10 (các môn học)
- Giáo án Ngữ văn 10
- Giáo án Toán 10
- Giáo án Tiếng Anh 10
- Giáo án Vật Lí 10
- Giáo án Hóa học 10
- Giáo án Sinh học 10
- Giáo án Lịch Sử 10
- Giáo án Địa Lí 10
- Giáo án Kinh tế Pháp luật 10
- Giáo án Tin học 10
- Giáo án Công nghệ 10
- Giáo án Giáo dục quốc phòng 10
- Giáo án Hoạt động trải nghiệm 10
- Đề thi lớp 10 (các môn học)
- Đề thi Ngữ Văn 10 (có đáp án)
- Chuyên đề Tiếng Việt lớp 10
- Đề cương ôn tập Văn 10
- Đề thi Toán 10 (có đáp án)
- Đề thi cương ôn tập Toán 10
- Đề thi Toán 10 cấu trúc mới (có đáp án)
- Đề thi Tiếng Anh 10 (có đáp án)
- Đề thi Vật Lí 10 (có đáp án)
- Đề thi Hóa học 10 (có đáp án)
- Đề thi Sinh học 10 (có đáp án)
- Đề thi Lịch Sử 10 (có đáp án)
- Đề thi Địa Lí 10 (có đáp án)
- Đề thi Kinh tế & Pháp luật 10 (có đáp án)
- Đề thi Tin học 10 (có đáp án)
- Đề thi Công nghệ 10 (có đáp án)
- Đề thi Giáo dục quốc phòng 10 (có đáp án)


Giải bài tập SGK & SBT
Tài liệu giáo viên
Sách
Khóa học
Thi online
Hỏi đáp

