Giáo án Toán 12 Chân trời sáng tạo Bài tập cuối chương 2
Giáo án Toán 12 Chân trời sáng tạo Bài tập cuối chương 2
Chỉ từ 500k mua trọn bộ Kế hoạch bài dạy (KHBD) hay Giáo án Toán 12 Chân trời sáng tạo (cả năm) bản word chuẩn kiến thức, trình bày đẹp mắt, dễ dàng chỉnh sửa:
- B1: Gửi phí vào tk:
1133836868- CT TNHH DAU TU VA DV GD VIETJACK - Ngân hàng MB (QR) - B2: Nhắn tin tới Zalo VietJack Official - nhấn vào đây để thông báo và nhận giáo án
I. MỤC TIÊU
1. Về kiến thức
Ôn tập củng cố về:
– Nhận biết được vectơ và các phép toán vectơ trong không gian (tổng và hiệu của hai vectơ, tích của một số với một vectơ, tích vô hướng của hai vectơ).
– Nhận biết được toạ độ của một vectơ đối với hệ trục toạ độ.
– Xác định được độ dài của một vectơ khi biết toạ độ hai đầu mút của nó và biểu thức toạ độ của các phép toán vectơ.
– Xác định được biểu thức toạ độ của các phép toán vectơ.
– Vận dụng được toạ độ của vectơ để giải một số bài toán có liên quan đến thực tiễn.
2. Về năng lực
2.1. Năng lực chung:
– Tự chủ và tự học: HS xác định được đúng đắn động cơ, thái độ học tập; tự đánh giá và điều chỉnh được kế hoạch học tập; tự nhận ra được sai sót và cách khắc phục sai sót.
– Giao tiếp và hợp tác: HS hoạt động nhóm thông qua việc thảo luận các bài toán trong SGK.
2.2. Năng lực Toán học:
– Giải quyết vấn đề Toán học: Biết tiếp nhận câu hỏi, bài tập có vấn đề hoặc đặt ra câu hỏi; phân tích đưuọc các tình huống trong học tập.
3. Về phẩm chất
– Chăm chỉ: Ham học hỏi, có ý thức tìm tòi, khám phá.
– Trung thực: Đưa ra các kết quả bài tập một cách chính xác.
– Trách nhiệm: Có ý thức làm việc nhóm; sẵn sàng chịu trách nhiệm với lời nói và việc làm của bản thân; hoàn thành các nhiệm vụ học tập.
II. THIẾT BỊ DẠY HỌC VÀ HỌC LIỆU
1. Đối với giáo viên: Kế hoạch dạy học, SGK, SGV, ti vi, bài trình chiếu.
2. Đối với học sinh: SGK, máy tính cầm tay, đồ dùng học tập.
III. TIẾN TRÌNH DẠY HỌC
A. CÂU HỎI TRẮC NGHIỆM
Hoạt động 1: Câu hỏi thực hành, vận dụng
a) Mục tiêu: HS vận dụng các kiến thức về toạ độ điểm, toạ độ vectơ đối với hệ trục toạ độ, các phép toán vectơ trong không gian, xác định được toạ độ trung điểm đoạn thẳng, toạ độ trọng tâm tam giác, góc giữa hai vectơ, tích vô hướng của hai vectơ, … để tìm đáp án đúng trong các phương án lựa chọn ở các câu hỏi trắc nghiệm.
b) Nội dung: HS đọc và thực hiện giải các câu hỏi trắc nghiệm.
c) Sản phẩm: Đáp án: 1. D; 2. D; 3. B; 4. D; 5. A; 6. B; 7. D; 8. A.
1. Ta có M(2;1;0).
2. Ta có = (3;-3;3).
3. Vì I là trung điểm của đoạn thẳng AB nên ta có
Vậy toạ độ I(1;0;4).
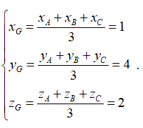
4. Vì G là trọng tâm của tam giác ABC nên ta có
Vậy toạ độ G(1;4;2).
5. Gọi D(). Ta có , .
ABCD là hình bình hành khi và chỉ khi
Vậy D(-4;6;3).
6. Ta có:
= =.
Suy ra .
7. Ta có:
,
= (-3).6 + 4.(-6) + (-2).5 = -52.
8. Gọi .
Suy ra M(-2;3;).
d) Tổ chức thực hiện:
* GV chuyển giao nhiệm vụ học tập: GV yêu cầu HS hoạt động cá nhân, đọc và thực hiện các câu hỏi trắc nghiệm, sau đó GV gọi HS lên bảng trình bày.
* HS thực hiện nhiệm vụ học tập: HS hoạt động cá nhân, thực hiện trả lời các câu hỏi theo yêu cầu.
* Báo cáo kết quả hoạt động và thảo luận: HS đại diện nhóm lên bảng trình bày. Các HS còn lại theo dõi, nhận xét, đánh giá.
* Kết luận nhận định: GV nhận xét thái độ làm việc, phương án trả lời của các nhóm, ghi nhận và tuyên dương nhóm HS có câu trả lời tốt nhất. Hướng dẫn HS chuẩn bị cho nhiệm vụ tiếp theo.
B. BÀI TẬP TỰ LUẬN
Hoạt động 2: Bài tập vận dụng
a) Mục tiêu: HS sử dụng các kiến thức đã học trong chương để giải quyết các bài tập tự luận vận dụng.
b) Nội dung: GV yêu cầu HS đọc và thực hiện giải các bài tập trong Bài tập tự luận.
c) Sản phẩm:
9. a) Toạ độ các đỉnh còn lại của hình hộp chữ nhật là: O'(0;0;5), A'(2;0;5), C'(0;3;5), O(0; 0; 0), B(2;3;0), A(2;0;0), C(0;3;0).
b) = (2;3;5) ⇒ OB' = .
10. Dựa vào Hình 2 trong SGK ta có: toạ độ điểm P(2;3;3) = (2;3;3).
Vậy khoảng cách OP = .
11. Ta có 4 = (0;8;-4), 2 = (2;14;4). Suy ra = (0;-27;3).
12. Gọi . ,
.
Ta có
Suy ra
13. Ta có
.
14. a) Ta có . Gọi toạ độ điểm H(x;y;z).
Suy ra , .
Vì H(x;y;z) là chân đường cao kẻ từ A nên H OBvà AH OB,
Suy ra , với
Suy ra
b) Diện tích tam giác OAB là S = AH.OB = .
15. a) Toạ độ vận tốc của máy bay B là = (900;600;1200).
b) Tốc độ của máy bay B là km/h.
16. Xét tứ diện đều ABCD có cạnh bằng a (a > 0). Gọi M là trung điểm của BC; O và G lần lượt là trọng tâm các tam giác ABC và BCD. H là giao điểm của AG và DO.
Xét hệ trục toạ độ Mxyz (với M(0;0;0) như hình vẽ , ta có:
.
, suy ra .
, suy ra .
Tương tự ta có .
................................
................................
................................
(Nguồn: NXB Giáo dục)
Trên đây tóm tắt một số nội dung miễn phí trong bộ Kế hoạch bài dạy (KHBD) hay Giáo án Toán 12 Chân trời sáng tạo năm 2026 mới nhất, để mua tài liệu đầy đủ, Thầy/Cô vui lòng xem thử:
Xem thêm các bài soạn Giáo án Toán lớp 12 Chân trời sáng tạo chuẩn khác:
Giáo án Toán 12 Bài 1: Khoảng biến thiên và khoảng tứ phân vị của mẫu số liệu ghép nhóm
Giáo án Toán 12 Bài 2: Phương sai và độ lệch chuẩn của mẫu số liệu ghép nhóm
Giáo án Toán 12 Bài 1: Vẽ đồ thị hàm số bằng phần mềm Geogebra
Giáo án Toán 12 Bài 2: Tìm giá trị lớn nhất và giá trị nhỏ nhất của hàm số bằng máy tính cầm tay
Đã có app VietJack trên điện thoại, giải bài tập SGK, SBT Soạn văn, Văn mẫu, Thi online, Bài giảng....miễn phí. Tải ngay ứng dụng trên Android và iOS.
Theo dõi chúng tôi miễn phí trên mạng xã hội facebook và youtube:Nếu thấy hay, hãy động viên và chia sẻ nhé! Các bình luận không phù hợp với nội quy bình luận trang web sẽ bị cấm bình luận vĩnh viễn.
- Giáo án lớp 12 (các môn học)
- Giáo án điện tử lớp 12 (các môn học)
- Giáo án Toán 12
- Giáo án Ngữ văn 12
- Giáo án Vật Lí 12
- Giáo án Hóa học 12
- Giáo án Sinh học 12
- Giáo án Địa Lí 12
- Giáo án Lịch Sử 12
- Giáo án Lịch Sử 12 mới
- Giáo án GDCD 12
- Giáo án Kinh tế Pháp luật 12
- Giáo án Tin học 12
- Giáo án Công nghệ 12
- Giáo án GDQP 12
- Đề thi lớp 12 (các môn học)
- Đề thi Ngữ văn 12
- Đề thi Toán 12
- Đề thi Tiếng Anh 12 mới
- Đề thi Tiếng Anh 12
- Đề thi Vật Lí 12
- Đề thi Hóa học 12
- Đề thi Sinh học 12
- Đề thi Địa Lí 12
- Đề thi Lịch Sử 12
- Đề thi Giáo dục Kinh tế Pháp luật 12
- Đề thi Giáo dục quốc phòng 12
- Đề thi Tin học 12
- Đề thi Công nghệ 12


Giải bài tập SGK & SBT
Tài liệu giáo viên
Sách
Khóa học
Thi online
Hỏi đáp

