Giáo án Toán 7 Bài 1: Đại lượng tỉ tệ thuận mới nhất
Giáo án Toán 7 Bài 1: Đại lượng tỉ tệ thuận mới nhất
Xem thử Giáo án Toán 7 KNTT Xem thử Giáo án Toán 7 CTST Xem thử Giáo án Toán 7 CD
Chỉ từ 300k mua trọn bộ Kế hoạch bài dạy (KHBD) hay Giáo án Toán 7 cả năm (mỗi bộ sách) bản word chuẩn kiến thức, trình bày đẹp mắt:
- B1: gửi phí vào tk:
1133836868- CT TNHH DAU TU VA DV GD VIETJACK - Ngân hàng MB (QR) - B2: Nhắn tin tới Zalo VietJack Official - nhấn vào đây để thông báo và nhận giáo án
I. MỤC TIÊU
Qua bài này giúp học sinh:
1. Kiến thức: Biết được công thức biểu diễn mối liên hệ giữa hai đại lượng tỉ lệ thuận y = ax (a ≠ 0).
Nhận biết được hai đại lượng có tỉ lệ thuận hay không? Biết được các tính chất của hai đại lượng tỉ lệ thuận: .
2. Kỹ năng: Biết cách tìm hệ số tỉ lệ khi biết một cặp giá trị tương ứng của hai đại lượng tỉ lệ thuận, tìm giá trị của một đại lượng khi biết hệ số tỉ lệ và giá trị tương ứng của đại lượng kia.
3. Thái độ: Rèn luyện tính cẩn thận, chính xác của HS. HS yêu thích môn học.
4. Định hướng năng lực, phẩm chất
- Năng lực: Năng lực tự học, năng lực giải quyết vấn đề, năng lực hợp tác, năng lực ngôn ngữ, năng lực tự học, năng lực tính toán, năng lực suy luận.
- Phẩm chất: Tự tin, tự chủ.
II. CHUẨN BỊ
1. Giáo viên: Phấn màu, bảng phụ, thước thẳng, SGK, SBT
2. Học sinh: Đồ dùng học tập, đọc trước bài.
III. TỔ CHỨC CÁC HOẠT ĐỘNG DẠY HỌC
1. Ổn định lớp: Kiểm tra sĩ số. (1 phút)
2. Nội dung:
Hoạt động của GV |
Hoạt động của HS |
Nội dung |
|---|---|---|
A. Hoạt động khởi động (5 phút) Mục tiêu: HS có cái nhìn khái quát về chương học mới Phương pháp: thuyết trình |
||
GV giới thiệu về chương hàm số và đồ thị |
HS lắng nghe |
|
B. Hoạt động hình thành kiến thức |
||
Hoạt động 1: Các ví dụ. (12 phút) Mục tiêu: nhớ lại đại lượng tỉ lệ thuận ở tiểu học và hình thành khái niệm hai đại lượng tỉ lệ thuận, hiểu rõ hai đại lượng tỉ lệ thuận với nhau khi nào. Phương pháp: đàm thoại, hoạt động cá nhân, nhóm |
||
- Thế nào là hai đại lượng tỉ lệ thuận đã học ở tiểu học? Ví dụ - Như vậy có cách nào để mô tả ngắn gọn hai đại lượng tỉ lệ thuận? chúng ta sẽ nghiên cứu phần thứ nhât định nghĩa - Yêu cầu HS hoạt động cá nhân: viết công thức tính: Quãng đường đi được s (km) theo thời gian t (h) của một vật chuyển động đều với vận tốc 15 km/h. b, Chu vi P của hình vuông theo cạnh a của hv? - Em hãy rút ra nhận xét về sự giống nhau của các công thức trên? - GV: Ta nói đại lượng s tỉ lệ thuận với đại lượng t theo hệ số tỉ lệ 15. Vậy đại lượng P tỉ lệ thuận với đại lượng a theo hệ số tỉ lệ nào? - GV: Tổng quát: Khi nào thì đại lượng y tỉ lệ thuận với đại lượng x theo hệ số tỉ lệ k ? - GV ghi bảng, gạch chân công thức y = k.x, y tỉ lệ thuận với x theo tỉ số k - GV giải thích cho HS thấy kiến thức đại lượng tỉ lệ thuận đã học ở tiểu học chỉ là trường hợp riêng (k > 0). Để nhận biết hai đại lượng có tỉ lệ thuận với nhau hay không, ta cần xem chúng có liên hệ với nhau bằng công thức dạng y = kx hay không. - GV yêu cầu HS hđ nhóm làm VD 1, 2 trên máy chiếu - GV gọi đại diện nhóm trả lời, nhóm khác nhận xét và chốt kiến thức - GV: Khi y tỉ lệ thuận với x thì x có tỉ lệ thuận với y không? Nhận xét hệ số k’ và hệ số k. Từ đó rút ra nhận xét. - GV yêu cầu HS làm VD3 - GV: Qua ví dụ trên em hãy cho biết: nếu biết hai giá trị tương ứng của đại lượng tỉ lệ thuận ta tìm được gì? - GV chốt kiến thức |
- Hai đại lượng liên hệ với nhau sao cho khi đại lượng này tăng (hay giảm) bấy nhiêu lần thì đại lượng kia cũng tăng hay giảm (hay giảm) bấy nhiêu lần - Ví dụ: Chu vi và cạnh của hình vuông; quãng đường đi được và thời gian của một vật chuyển động đều. - HS suy nghĩ làm bài - 2HS đứng tại chỗ trả lời: S = 15. t ; P = 4. a - HS: đại lượng này bằng đại lượng kia nhân với một hằng số khác 0. - HS đọc định nghĩa và nhắc lại - HS hoạt động nhóm làm VD1, 2 - Đại diện nhóm trả lời và giải thích, nhóm khác nhận xét - HS thảo luận cặp đôi, trả lời - HS làm VD3 |
1. Định nghĩa (SGK – 52) VD1: Đại lượng y có tỉ lệ thuận với đại lượng x không ? VD2: Cho biết y tỉ lệ thuận với x theo hệ số tỉ lệ k = 2. Hỏi x tỉ lệ thuận với y theo hệ số tỉ lệ nào? Giải: Ta có: ⇒ x tỉ lệ thuận với y theo hệ số tỉ lệ là k’ = *Chú ý: Khi y tỉ lệ thuận với x theo hệ số tỉ lệ k (k ≠ 0) thì x cũng tỉ lệ thuận với y theo hệ số tỉ lệ VD3: Biết đại lượng y tỉ lệ thuận với đại lượng x. Khi y = -3 thì x = 9. Tìm hệ số tỉ lệ? Tính giá trị của y khi x = 2? Giải: a) y tỉ lệ thuận với x nên y = kx. Khi y = -3 thì x = 9, thay vào ta có: |
Hoạt động 2: Qua ví dụ cụ thể hình thành tính chất ( 15 phút) Mục tiêu: Từ ví dụ cụ thể rút ra tính chất của hai đại lượng tỉ lệ thuận Phương pháp: hoạt động nhóm |
||
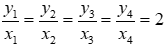
- GV yêu cầu HS hoạt động nhóm làm ?4 trên phiếu học tập và báo cáo theo vòng tròn - GV quan sát và trợ giúp HS khi cần - GV giải thích thêm sự tương ứng của x1 và y1 ; x2 và y2 ; … - Qua phần vừa làm GV cho HS biết đó là tính chất của hai đại lượng tỉ lệ thuận - Yêu cầu HS nhắc lại tính chất |
- HS nhận nhiệm vụ - HS quan sát, lắng nghe, ghi nhớ kiến thức - HS nhắc lại tính chất |
2. Tính chất. (15 phút) ?4 a. Vì x, y là hai đại lượng tỉ lệ thuận ⇒ y1 = kx1 hay 6 = k. 3 ⇒ k = y : x = 6 :3 = 2 Vậy hệ số tỉ lệ là 2 b) y2 = kx2 = 2.4 = 8 y3 = 2.5 = 10; y4 = 2.6 = 12 c) |
C. Hoạt động luyện tập (6 phút) Mục tiêu: Rèn kĩ năng tính hệ số tỉ lệ, tính giá trị của một đại lượng khi biết hệ số tỉ lệ và giá trị tương ứng của đại lượng kia Phương pháp: hoạt động cá nhân |
||
- GV yêu cầu HS làm bài tập 1 sgk/53 - GV gọi HS lên bảng trình bày, HS khác nhận xét, GV nhận xét và chốt kiến thức |
- HS làm bài cá nhân và lên bảng trình bày - HS khác nhận xét |
Bài 1/ 53SGK: a) Vì x và y tỉ lệ thuận nên y = kx. Thay x = 6; y = 4 ta có: 4 = k.6 |
D. Hoạt động vận dụng (6 phút) Mục tiêu: Biết vận dụng tính chất hai đại lượng tỉ lệ thuận để giải bài tập Phương pháp: hoạt động nhóm |
||
- GV yêu cầu HS hđ nhóm làm bài 2 sgk/54 vào bảng nhóm - GV nhận xét bài của nhóm làm nhanh nhất |
-HS nhận nhiệm vụ |
Bài 2/54 SGK: Ta có x4 = 2; y4 = -4. Vì x và y là hai đại lượng tỉ lệ thuận nên y4 =k.x4 ⇒ k = y4 : x4 = -4 : 2= -2 |
E. Hoạt động tìm tòi, mở rộng (3 phút) Mục tiêu: HS vận dụng công thức hai đại lượng tỉ lệ thuận vào bài tập nâng cao Phương pháp: hoạt động cặp đôi |
||
- GV yêu cầu HS tìm các đại lượng tỉ lệ thuận với nhau trong thực tế - Dặn dò: BT: 3, 4 sgk/54 |
HS có thể tìm được: lượng lương thực tỉ lệ thuận với số người tham gia bữa ăn; số vật liệu tỉ lệ thuận với diện tích công trình; số sản phẩm tỉ lệ thuận với số thời gian sản xuất. |
|
Xem thử Giáo án Toán 7 KNTT Xem thử Giáo án Toán 7 CTST Xem thử Giáo án Toán 7 CD
Xem thêm các bài soạn Giáo án Toán lớp 7 theo hướng phát triển năng lực mới nhất, hay khác:
- Giáo án Toán 7 Bài 2: Một số bài toán về đại lượng tỉ lệ thuận
- Giáo án Toán 7 Bài 3: Đại lượng tỉ lệ nghịch
- Giáo án Toán 7 Bài 4: Một số bài toán về đại lượng tỉ lệ nghịch
- Giáo án Toán 7 Bài 5: Hàm số
- Giáo án Toán 7 Bài 6: Mặt phẳng tọa độ
Lời giải bài tập lớp 7 sách mới:
- Giải bài tập Lớp 7 Kết nối tri thức
- Giải bài tập Lớp 7 Chân trời sáng tạo
- Giải bài tập Lớp 7 Cánh diều
Tủ sách VIETJACK shopee lớp 6-8 (2025):
Đã có app VietJack trên điện thoại, giải bài tập SGK, SBT Soạn văn, Văn mẫu, Thi online, Bài giảng....miễn phí. Tải ngay ứng dụng trên Android và iOS.
Theo dõi chúng tôi miễn phí trên mạng xã hội facebook và youtube:Loạt bài Giáo án Toán lớp 7 mới, chuẩn nhất của chúng tôi được biên soạn bám sát theo mẫu Kế hoạch bài dạy (KHBD) môn Toán lớp 7 chuẩn của Bộ GD & ĐT.
Nếu thấy hay, hãy động viên và chia sẻ nhé! Các bình luận không phù hợp với nội quy bình luận trang web sẽ bị cấm bình luận vĩnh viễn.
- Giáo án lớp 7 (các môn học)
- Giáo án điện tử lớp 7 (các môn học)
- Giáo án Toán 7
- Giáo án Ngữ văn 7
- Giáo án Tiếng Anh 7
- Giáo án Khoa học tự nhiên 7
- Giáo án Lịch Sử 7
- Giáo án Địa Lí 7
- Giáo án GDCD 7
- Giáo án Tin học 7
- Giáo án Công nghệ 7
- Giáo án HĐTN 7
- Giáo án Hoạt động trải nghiệm 7
- Giáo án Vật Lí 7
- Giáo án Sinh học 7
- Giáo án Hóa học 7
- Giáo án Âm nhạc 7
- Đề thi lớp 7 (các môn học)
- Đề thi Ngữ Văn 7 (có đáp án)
- Chuyên đề Tiếng Việt lớp 7
- Đề thi Toán 7 (có đáp án)
- Đề cương ôn tập Toán 7
- Đề thi Tiếng Anh 7 (có đáp án)
- Đề thi Khoa học tự nhiên 7 (có đáp án)
- Đề thi Lịch Sử & Địa Lí 7 (có đáp án)
- Đề thi Địa Lí 7 (có đáp án)
- Đề thi Lịch Sử 7 (có đáp án)
- Đề thi GDCD 7 (có đáp án)
- Đề thi Công nghệ 7 (có đáp án)
- Đề thi Tin học 7 (có đáp án)


Giải bài tập SGK & SBT
Tài liệu giáo viên
Sách
Khóa học
Thi online
Hỏi đáp

