Giáo án Toán 8 Bài 11: Chia đa thức cho đơn thức (mới, chuẩn nhất)
Giáo án Toán 8 Bài 11: Chia đa thức cho đơn thức (mới, chuẩn nhất)
Xem thử Giáo án Toán 8 KNTT Xem thử PPT Toán 8 KNTT Xem thử Giáo án Toán 8 CTST Xem thử Giáo án Toán 8 CD
Chỉ từ 500k mua trọn bộ Kế hoạch bài dạy (KHBD) hay Giáo án Toán 8 (mỗi bộ sách) bản word chuẩn kiến thức, trình bày đẹp mắt, dễ dàng chỉnh sửa:
- B1: gửi phí vào tk:
1133836868- CT TNHH DAU TU VA DV GD VIETJACK - Ngân hàng MB (QR) - B2: Nhắn tin tới Zalo VietJack Official - nhấn vào đây để thông báo và nhận giáo án
A. Mục tiêu
1. Kiến thức:
- HS chỉ ra được 1 đa thức A chia hết cho đơn thức B khi tất cả các hạng tử của đa thức A đều chia hết cho B.
- HS phát biểu được quy tắc chia đa thức cho đơn thức.
2. Kỹ năng:
- Thực hiện đúng phép chia đa thức cho đơn thức (chủ yếu trong trường hợp chia hết). Biết trình bày ngắn gọn (chia nhẩm từng đơn thức rồi cộng lại KQ với nhau).
3. Thái độ: Học sinh hưởng ứng và rèn luyện khả năng suy luận, linh hoạt và sáng tạo. Rèn luyện tính cẩn thận, chính xác khi giải toán.
4. Phát triển năng lực:
- Biết cách sắp xếp đa thức theo lũy thừa tăng dần số mũ của biến.
- Biết thực hiện phép chia lần lượt từng hạng tử và chú ý dấu hạng tử.
B. Chuẩn bị
1. Giáo viên: Bảng phụ ghi Bài tập.
2. Học sinh: HS làm bài đầy đủ ở nhà.
C. Tiến trình dạy học
1. Tổ chức lớp: Kiểm diện.
2. Kiểm tra bài cũ: (5') Thực hiện các phép chia sau:
3. Bài mới
Hoạt động của giáo viên |
Hoạt động của học sinh |
Ghi bảng |
|---|---|---|
1. KHỞI ĐỘNG Gv yêu cầu hs hoạt động nhóm mục 1và mục 2 theo shd/30 HS: Thực hiện nhiệm vụ trên bảng nhóm. GV: Quan sát, HS hoạt động HS: Lên bảng thực hiện . HS: Nhận xét GV: Bổ sung |
||
2. HÌNH THÀNH KIẾN THỨC |
||
Hoạt động 1: Tìm hiểu quy tắc thực hiện. (16 phút)-Hãy phát biểu quy tắc chia đơn thức cho đơn thức. - Chốt lại các bước thực hiện của quy tắc lần nữa. - Treo bảng phụ nội dung ?1 - Hãy viết một đa thức có các hạng tử đều chia hết cho 3xy2 - Chia các hạng tử của đa thức 15x2y5 + 12x3y2 – 10xy3 cho 3xy2 - Cộng các kết quả vừa tìm được với nhau - Qua bài toán này, để chia một đa thức cho một đơn thức ta làm như thế nào? - Treo bảng phụ nội dung quy tắc - Treo bảng phụ yêu cầu ví dụ - Hãy nêu cách thực hiện - Gọi học sinh thực hiện trên bảng - Chú ý: Trong thực hành ta có thể tính nhẩm và bỏ bớt một số phép tính trung gian. |
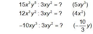
- Muốn chia đơn thức A cho đơn thức B (trường hợp A chia hết cho B) ta làm như sau: - Chia hệ số của đơn thức A cho hệ số của đơn thức B. - Chia lũy thừa của từng biến trong A cho lũy thừa của cùng biến đó trong B. - Nhân các kết quả vừa tìm được với nhau. - Đọc yêu cầu ?1 - Chẳng hạn: 15x2y5 + 12x3y2 – 10xy3 (15x2y5 + 12x3y2 – 10xy3) : 3xy2 = (15x2y5 : 3xy2) + (12x3y2 : 3xy2) + (–10xy3 : 3xy2) - Nêu quy tắc rút ra từ bài toán - Đọc lại và ghi vào tập - Đọc yêu cầu ví dụ - Lấy từng hạng tử của A chia cho B rồi cộng các kết quả với nhau - Thực hiện - Lắng nghe |
1/ Quy tắc. ?1 15x2y5 + 12x3y2 – 10xy3) : 3xy2 = (15x2y5 : 3xy2) + (12x3y2 : 3xy2) +(–10xy3 : 3xy2) Quy tắc: Muốn chia đa thức A cho đơn thức B (trường hợp cá hạng tử của đa thức A đều chia hết cho đơn thức B), ta chia mỗi hạng tử của A cho B rồi cộng các kết quả với nhau. Ví dụ: (SGK) Giải |
Hoạt động 2: Áp dụng. (8 phút) - Treo bảng phụ nội dung ?2 - Hãy cho biết bạn Hoa giải đúng hay không? - Để làm tính chia ta dựa vào quy tắc nào? - Hãy giải hoàn chỉnh theo nhóm |
- Đọc yêu cầu ?2 - Quan sát bài giải của bạn Hoa trên bảng phụ và trả lời là bạn Hoa giải đúng. - Để làm tính chia ta dựa vào quy tắc chia đa thức cho đơn thức. - Thảo luận nhóm và trình bày. |
2/ Áp dụng. ?2 a) Bạn Hoa giải đúng. |
3. LUYỆN TẬP |
||
HS hoạt động nhóm làm Bài 1- Báo cáo kq GV: Nhấn mạnh phép chia hết và phép không chia hết. HS hoạt động cá nhân làm bài 2 HS: Thực hiện nhiệm vụ GV: - Kiểm tra, hỗ trợ cách trình bày HS: Đại diện lên bảng trình bày GV: Nhận xét, bổ sung tương ứng từng phần. HS lhoạt động cặp đôi àm bài 3 Nhiệm vụ: + Đọc kỹ bài viết của bạn Bình. + Nêu nhận xét bài giải của bạn Bình. HS: thực hiện - Báo cáo kq GV: nhận xét – sửa sai (nếu có) |
- Thực hiện theo yêu cầu của giáo viên. - Lắng nghe và vận dụng. |
Bài 1/SHD- 33 Bài 2/SHD- 33 Làm Tính chia Bài 3/SHD- 33 Bạn Bình giải đúng. g) (3x2y2 – 6x2y + 12xy) : 3xy = 3xy(xy – 2x + 4) : 3xy = xy – 2x + 4 |
4. VẬN DỤNG |
||
- Làm bài tập 64 trang 28 SGK. - Treo bảng phụ nội dung - Để làm tính chia ta dựa vào quy tắc nào? - Gọi ba học sinh thực hiện trên bảng - Gọi học sinh khác nhận xét - Sửa hoàn chỉnh lời giải |
- Đọc yêu cầu - Để làm tính chia ta dựa vào quy tắc chia đa thức cho đơn thức. - Thực hiện - Thực hiện - Ghi bài vào tập |
Bài tập 64 trang 28 SGK. |
5. MỞ RỘNG |
||
- Vận dụng được quy tắc chia đơn (đa) thức cho đơn thức. - Làm bài tập phần 2,3/4 |
Làm bài tập phần mở rộng |
|
4. Hướng dẫn học ở nhà: (3 phút)
- Quy tắc chia đa thức cho đơn thức.
- Vận dụng giải bài tập 63, 65, 66 trang 29 SGK.
- Ôn tập kiến thức về đa thức một biến (lớp 7)
- Xem trước nội dung bài 12: “Chia đa thức một biến đã sắp xếp” (đọc kĩ các ví dụ trong bài học).
Xem thử Giáo án Toán 8 KNTT Xem thử PPT Toán 8 KNTT Xem thử Giáo án Toán 8 CTST Xem thử Giáo án Toán 8 CD
Xem thêm các bài soạn Giáo án Toán lớp 8 theo hướng phát triển năng lực mới nhất, hay khác:
- Giáo án Toán 8 Bài 8: Phân tích đa thức thành nhân tử bằng phương pháp nhóm hạng tử
- Giáo án Toán 8 Bài 9: Phân tích đa thức thành nhân tử bằng cách phối hợp nhiều phương pháp
- Giáo án Toán 8 Luyện tập (trang 25)
- Giáo án Toán 8 Bài 10: Chia đơn thức cho đơn thức
- Giáo án Toán 8 Bài 12: Chia đa thức một biến đã sắp xếp
- Giáo án Toán 8 Ôn tập chương 1 Đại số
Tủ sách VIETJACK shopee lớp 6-8 (2025):
Đã có app VietJack trên điện thoại, giải bài tập SGK, SBT Soạn văn, Văn mẫu, Thi online, Bài giảng....miễn phí. Tải ngay ứng dụng trên Android và iOS.
Theo dõi chúng tôi miễn phí trên mạng xã hội facebook và youtube:Loạt bài Giáo án Toán lớp 8 mới, chuẩn nhất của chúng tôi được biên soạn bám sát chuẩn Giáo án môn Toán 8 của Bộ GD & ĐT.
Nếu thấy hay, hãy động viên và chia sẻ nhé! Các bình luận không phù hợp với nội quy bình luận trang web sẽ bị cấm bình luận vĩnh viễn.
- Giáo án lớp 8 (các môn học)
- Giáo án điện tử lớp 8 (các môn học)
- Giáo án Toán 8
- Giáo án Ngữ văn 8
- Giáo án Tiếng Anh 8
- Giáo án Khoa học tự nhiên 8
- Giáo án KHTN 8
- Giáo án Lịch Sử 8
- Giáo án Địa Lí 8
- Giáo án GDCD 8
- Giáo án HĐTN 8
- Giáo án Tin học 8
- Giáo án Công nghệ 8
- Giáo án Vật Lí 8
- Giáo án Hóa học 8
- Giáo án Sinh học 8
- Đề thi lớp 8 (các môn học)
- Đề thi Ngữ Văn 8 (có đáp án)
- Chuyên đề Tiếng Việt lớp 8
- Đề thi Toán 8
- Đề cương ôn tập Toán 8
- Đề thi Tiếng Anh 8 (có đáp án)
- Đề thi Tiếng Anh 8 mới (có đáp án)
- Đề thi Khoa học tự nhiên 8 (có đáp án)
- Đề thi Lịch Sử và Địa Lí 8 (có đáp án)
- Đề thi GDCD 8 (có đáp án)
- Đề thi Tin học 8 (có đáp án)
- Đề thi Công nghệ 8 (có đáp án)


Giải bài tập SGK & SBT
Tài liệu giáo viên
Sách
Khóa học
Thi online
Hỏi đáp

