Giáo án Toán 8 Bài 7: Phép nhân các phân thức đại số (mới, chuẩn nhất)
Giáo án Toán 8 Bài 7: Phép nhân các phân thức đại số (mới, chuẩn nhất)
Xem thử Giáo án Toán 8 KNTT Xem thử PPT Toán 8 KNTT Xem thử Giáo án Toán 8 CTST Xem thử Giáo án Toán 8 CD
Chỉ từ 500k mua trọn bộ Kế hoạch bài dạy (KHBD) hay Giáo án Toán 8 (mỗi bộ sách) bản word chuẩn kiến thức, trình bày đẹp mắt, dễ dàng chỉnh sửa:
- B1: gửi phí vào tk:
1133836868- CT TNHH DAU TU VA DV GD VIETJACK - Ngân hàng MB (QR) - B2: Nhắn tin tới Zalo VietJack Official - nhấn vào đây để thông báo và nhận giáo án
A. Mục tiêu
1. Kiến thức:
- Trình bày và vận dụng tốt quy tắc nhân 2 phân thức.
2. Kỹ năng:
- HS biết cách vận dụng các tính chất giao hoán kết hợp, ... của phép nhân và có ý thức nhận xét bài toán cụ thể để vận dụng.
3. Thái độ:
- Hợp tác tích cực và rèn tính cẩn thận, chính xác khoa học trong giải toán.
4. Phát triển năng lực:
- Tính toán và thực hiện tốt phép nhân phân thức đại số.
B. Chuẩn bị
1. Giáo viên:
- Bảng phụ ghi các tính chất một số bài tập thay cho ?2, ?3 trong SGK
Nội dung bảng phụ:
2. Học sinh:
- Đọc bài trước ở nhà.
C. Tiến trình dạy học
1. Tổ chức lớp: Kiểm diện.
2. Kiểm tra bài cũ: Kết hợp trong khi dạy bài mới.
3. Bài mới
Hoạt động của giáo viên |
Hoạt động của học sinh |
Ghi bảng |
|---|---|---|
1. KHỞI ĐỘNG Để biết cách vận dụng các tích chất giao hoán, kết hợp, ... của phép nhân và có ý thức nhận xét bài toán cụ thể để vận dụng. Chúng ta sẽ cùng tìm hiểu bài học hôm nay. |
||
2. HÌNH THÀNH KIẾN THỨC |
||
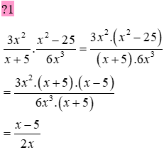
Hoạt động 1: Tìm hiểu quy tắc thực hiện. (9 phút) -Hãy nêu lại quy tắc nhân hai phân số dưới dạng công thức ? - Treo bảng phụ nội dung ?1 - Tương tự như phép nhân hai phân số do đó - Nếu phân tích thì x2 – 25 = ? - Tiếp tục rút gọn phân thức vừa tìm được thì ta được phân thức là tích của hai phân thức ban đầu. - Qua bài toán trên để nhân một phân thức với một phân thức ta làm như thế nào? - Treo bảng phụ nội dung quy tắc và chốt lại. - Treo bảng phụ phân tích ví dụ SGK. Hoạt động 2: Vận dụng quy tắc vào giải toán. (11 phút) - Treo bảng phụ nội dung ?2 - Tích của hai số cùng dấu thì kết quả là dấu gì ? - Tích của hai số khác dấu thì kết quả là dấu gì ? - Hãy hoàn thành lời giải bài toán theo gợi ý. - Treo bảng phụ nội dung ?3 - Trước tiên ta áp dụng quy tắc đổi dấu và áp dụng phương pháp phân tích đa thức thành nhân tử để rút gọn tích của hai phân thức vừa tìm được. - Vậy ta cần áp dụng phương pháp nào để phân tích ? - Nếu áp dụng quy tắc đổi dấu thì 1 - x = - ( ? ) - Hãy hoàn thành lời giải bài toán theo gợi ý. Hoạt động 3: Tìm hiểu các tính chất. (5 phút) - Phép nhân các phân thức có những tính chất gì ? - Treo bảng phụ nội dung ?4 - Để tính nhanh được phép nhân các phân thức này ta áp dụng các tính chất nào để thực hiện ? - Ta đưa thừa số thứ nhất với thứ ba vào một nhóm rồi vận dụng quy tắc. - Hãy thảo luận nhóm để giải.
|
- Quy tắc nhân hai phân số - Đọc yêu cầu bài toán ?1 x2 – 25 = (x+5)(x-5) - Lắng nghe và thực hiện hoàn thành lời giải bài toán. - Muốn nhân hai phân thức, ta nhân các tử thức với nhau, các mẫu thức với nhau. - Lắng nghe và ghi bài. - Lắng nghe và quan sát. - Đọc yêu cầu bài toán ?2 - Tích của hai số cùng dấu thì kết quả là dấu ‘‘ + ’’ - Tích của hai số khác dấu thì kết quả là dấu ‘‘ - ’’ - Thực hiện trên bảng. - Đọc yêu cầu bài toán ?3 - Ta cần áp dụng phương pháp dùng hằng đẳng thức để phân tích Nếu áp dụng quy tắc đổi dấu thì 1 - x = - ( x - 1 ) - Thực hiện trên bảng. - Phép nhân các phân thức có các tính chất: giao hoán, kết hợp, phân phối đối với phép cộng. - Đọc yêu cầu bài toán ?4 - Để tính nhanh được phép nhân các phân thức này ta áp dụng các tính chất giao hoán và kết hợp. - Lắng nghe |
Quy tắc: Muốn nhân hai phân thức, ta nhân các tử thức với nhau, các mẫu thức với nhau: Ví dụ: (SGK) Chú ý: Phép nhân các phân thức có các tính chất sau : |
3. LUYỆN TẬP |
||
Yêu cầu HS hđ cá nhân làm bài tập 1 Hs thực hiện + Hs trình bày Gv: nhận xét chỉnh sửa Y/c hs hđ cặp đôi thực hiện bài 2 Hs hđ cặp đôi + Thực hiện + Trao đổi kết quả Gv: Hỗ trợ nhóm yếu lưu ý cho hs cách đổi dấu GV, Cùng HS hệ thống lại nội dung kiến thức toàn bài. |
- Thảo luận nhóm và thực hiện. - Đọc yêu cầu bài toán. |
|
4. VẬN DỤNG |
||
Hoạt động 4: Luyện tập tại lớp. (5 phút) - Treo bảng phụ bài tập 38a,b trang 52 SGK. - Gọi hai học sinh thực hiện. |
- Thảo luận nhóm và thực hiện. - Đọc yêu cầu bài toán. |
|
5. MỞ RỘNG |
||
Làm bài tập phần mở rộng |
||
4. Hướng dẫn HS học bài và làm bài ở nhà
- Yêu cầu HS về nhà thực hiện mục D, E.
- Học thuộc quy tắc nhân các phân thức đại số.
- Làm BT: 3, 4 SHD/6
Xem thử Giáo án Toán 8 KNTT Xem thử PPT Toán 8 KNTT Xem thử Giáo án Toán 8 CTST Xem thử Giáo án Toán 8 CD
Xem thêm các bài soạn Giáo án Toán lớp 8 theo hướng phát triển năng lực mới nhất, hay khác:
- Giáo án Toán 8 Bài 8: Phép chia các phân thức đại số
- Giáo án Toán 8 Bài 9: Biến đổi các biểu thức hữu tỉ. Giá trị của phân thức
- Giáo án Toán 8 Ôn tập chương 2 Đại số
Tủ sách VIETJACK shopee lớp 6-8 (2025):
Đã có app VietJack trên điện thoại, giải bài tập SGK, SBT Soạn văn, Văn mẫu, Thi online, Bài giảng....miễn phí. Tải ngay ứng dụng trên Android và iOS.
Theo dõi chúng tôi miễn phí trên mạng xã hội facebook và youtube:Loạt bài Giáo án Toán lớp 8 mới, chuẩn nhất của chúng tôi được biên soạn bám sát chuẩn Giáo án môn Toán 8 của Bộ GD & ĐT.
Nếu thấy hay, hãy động viên và chia sẻ nhé! Các bình luận không phù hợp với nội quy bình luận trang web sẽ bị cấm bình luận vĩnh viễn.
- Giáo án lớp 8 (các môn học)
- Giáo án điện tử lớp 8 (các môn học)
- Giáo án Toán 8
- Giáo án Ngữ văn 8
- Giáo án Tiếng Anh 8
- Giáo án Khoa học tự nhiên 8
- Giáo án KHTN 8
- Giáo án Lịch Sử 8
- Giáo án Địa Lí 8
- Giáo án GDCD 8
- Giáo án HĐTN 8
- Giáo án Tin học 8
- Giáo án Công nghệ 8
- Giáo án Vật Lí 8
- Giáo án Hóa học 8
- Giáo án Sinh học 8
- Đề thi lớp 8 (các môn học)
- Đề thi Ngữ Văn 8 (có đáp án)
- Chuyên đề Tiếng Việt lớp 8
- Đề thi Toán 8
- Đề cương ôn tập Toán 8
- Đề thi Tiếng Anh 8 (có đáp án)
- Đề thi Tiếng Anh 8 mới (có đáp án)
- Đề thi Khoa học tự nhiên 8 (có đáp án)
- Đề thi Lịch Sử và Địa Lí 8 (có đáp án)
- Đề thi GDCD 8 (có đáp án)
- Đề thi Tin học 8 (có đáp án)
- Đề thi Công nghệ 8 (có đáp án)


Giải bài tập SGK & SBT
Tài liệu giáo viên
Sách
Khóa học
Thi online
Hỏi đáp

