Giáo án Vật Lí 10 Tiết 68 + 69: Ôn tập học kì 2 mới nhất
Giáo án Vật Lí 10 Tiết 68 + 69: Ôn tập học kì 2 mới nhất
Xem thử Giáo án Vật Lí 10 KNTT Xem thử Giáo án Vật Lí 10 CTST Xem thử Giáo án Vật Lí 10 CD
Chỉ từ 300k mua trọn bộ Kế hoạch bài dạy (KHBD) hay Giáo án Vật Lí 10 cả năm (mỗi bộ sách) bản word chuẩn kiến thức, trình bày đẹp mắt:
- B1: gửi phí vào tk:
1133836868- CT TNHH DAU TU VA DV GD VIETJACK - Ngân hàng MB (QR) - B2: Nhắn tin tới Zalo VietJack Official - nhấn vào đây để thông báo và nhận giáo án
I. MỤC TIÊU BÀI HỌC:
+ Ôn tập, củng cố cho HS kiến thức của học kì II.
+ Rèn luyện kĩ năng giải bài tập.
II. PHƯƠNG PHÁP – PHƯƠNG TIỆN DẠY HỌC:
1. Về phương pháp:
- Phân tích kết hợp với đàm thoại nêu vấn đề.
2. Về phương tiện dạy học:
- Giáo án, sgk, thước kẻ, đồ dùng dạy học,…
III. CHUẨN BỊ:
a. Chuẩn bị của GV:
- Hệ thống lại kiến thức học kì II.
b. Chuẩn bị của HS:
- Ôn lại kiến thức học kì II.
IV. CÁC HOẠT ĐỘNG DẠY VÀ HỌC
1. Ổn định tổ chức:
2. Kiểm tra bài cũ: Không kiểm tra.
3. Bài mới:
NỘI DUNG
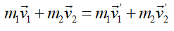
I. Định luật bảo toàn động lượng
+ Hệ kín, không ma sát
+ Áp dụng đối với HQC gắn với trái đất
2. Dạng khác của định luật II Niutơn
- Ứng dụng của ĐL là chuyển động bằng phản lực, tên lửa phụt ra phía sau nó tiến lên phía trước, động lượng của cả hệ không đổi.
II. Định luật bảo toàn năng lượng
1. Công của lực F: A = F.s.cosα
Công suất:
- Công của lực thế (lực đàn hồi, trọng lực) không phụ thuộc vào dạng quỹ đạo chỉ phụ thuộc vào điểm đầu và điểm cuối.
2. Năng lượng: Là đại lượng đặc trưng cho khả năng thực hiện công của nó.
⇒ Wt2 – Wt1 = A
3. Định luật bảo toàn cơ năng:
Wt + Wđ = hằng số
4. Định luật bảo toàn năng lượng
Năng lượng của hệ được bảo toàn (hệ kín)
III. Thuyết động học phan tử và chất khí lí tưởng
1. Nội dung thuyết ĐHPT
2. Phương trình trạng thái của khí lí tưởng
IV. Cơ sở của nhiệt động lực học
1. Nội năng và sự biến thiên nội năng.
2. Các nguyên lí của nhiệt động lực học
+ Nguyên lí I N ĐLH
ΔU = A + Q
Chú ý quy ước dấu:
Q > 0: Vật nhận nhiệt lượng
Q < 0: Vật truyền nhiệt lượng
A > 0: Vật nhận công
A < 0: Vật thực hiện công
+ Nguyên lí II N ĐLH
V. Chất rắn và chất lỏng, sự chuyển thể
1. Chất rắn kết tinh và chất rắn vô định hình
2. Sự nở vì nhiệt của vật rắn
3. Các hiện tượng bề mặt của chất lỏng
4. Sự chuyển thể của các chất
5. Độ ẩm của không khí
Xem thử Giáo án Vật Lí 10 KNTT Xem thử Giáo án Vật Lí 10 CTST Xem thử Giáo án Vật Lí 10 CD
Xem thêm các bài soạn Giáo án Vật Lí lớp 10 theo hướng phát triển năng lực mới nhất, hay khác:
- Giáo án Vật Lí 10 Bài 38: Sự chuyển thể của các chất
- Giáo án Vật Lí 10 Bài 39: Độ ẩm của không khí
- Giáo án Vật Lí 10 Bài 40: Thực hành: Xác định hệ số căng bề mặt của chất lỏng
- Giáo án Vật Lí 10 Tiết 70: Kiểm tra học kì 2
Để học tốt lớp 10 các môn học sách mới:
- Giải bài tập Lớp 10 Kết nối tri thức
- Giải bài tập Lớp 10 Chân trời sáng tạo
- Giải bài tập Lớp 10 Cánh diều
Tủ sách VIETJACK shopee lớp 10-11 (cả 3 bộ sách):
Đã có app VietJack trên điện thoại, giải bài tập SGK, SBT Soạn văn, Văn mẫu, Thi online, Bài giảng....miễn phí. Tải ngay ứng dụng trên Android và iOS.
Theo dõi chúng tôi miễn phí trên mạng xã hội facebook và youtube:Nếu thấy hay, hãy động viên và chia sẻ nhé! Các bình luận không phù hợp với nội quy bình luận trang web sẽ bị cấm bình luận vĩnh viễn.
Đã có app VietJack trên điện thoại, giải bài tập SGK, SBT Soạn văn, Văn mẫu, Thi online, Bài giảng....miễn phí. Tải ngay ứng dụng trên Android và iOS.
Theo dõi chúng tôi miễn phí trên mạng xã hội facebook và youtube:Loạt bài Giáo án Vật Lí lớp 10 chuẩn nhất của chúng tôi được biên soạn bám sát nội dung sgk Vật Lí 10 theo chuẩn Giáo án của Bộ GD & ĐT.
Nếu thấy hay, hãy động viên và chia sẻ nhé! Các bình luận không phù hợp với nội quy bình luận trang web sẽ bị cấm bình luận vĩnh viễn.
- Giáo án lớp 10 (các môn học)
- Giáo án điện tử lớp 10 (các môn học)
- Giáo án Ngữ văn 10
- Giáo án Toán 10
- Giáo án Tiếng Anh 10
- Giáo án Vật Lí 10
- Giáo án Hóa học 10
- Giáo án Sinh học 10
- Giáo án Lịch Sử 10
- Giáo án Địa Lí 10
- Giáo án Kinh tế Pháp luật 10
- Giáo án Tin học 10
- Giáo án Công nghệ 10
- Giáo án Giáo dục quốc phòng 10
- Giáo án Hoạt động trải nghiệm 10
- Đề thi lớp 10 (các môn học)
- Đề thi Ngữ Văn 10 (có đáp án)
- Chuyên đề Tiếng Việt lớp 10
- Đề cương ôn tập Văn 10
- Đề thi Toán 10 (có đáp án)
- Đề thi cương ôn tập Toán 10
- Đề thi Toán 10 cấu trúc mới (có đáp án)
- Đề thi Tiếng Anh 10 (có đáp án)
- Đề thi Vật Lí 10 (có đáp án)
- Đề thi Hóa học 10 (có đáp án)
- Đề thi Sinh học 10 (có đáp án)
- Đề thi Lịch Sử 10 (có đáp án)
- Đề thi Địa Lí 10 (có đáp án)
- Đề thi Kinh tế & Pháp luật 10 (có đáp án)
- Đề thi Tin học 10 (có đáp án)
- Đề thi Công nghệ 10 (có đáp án)
- Đề thi Giáo dục quốc phòng 10 (có đáp án)


Giải bài tập SGK & SBT
Tài liệu giáo viên
Sách
Khóa học
Thi online
Hỏi đáp

