Đề kiểm tra Hóa học 12 Cánh diều Chủ đề 4 (có lời giải)
Đề kiểm tra Hóa học 12 Cánh diều Chủ đề 4: Polymer có đáp án chi tiết đầy đủ các mức độ sẽ giúp học sinh lớp 12 ôn luyện Hóa học 12.
Đề kiểm tra Hóa học 12 Cánh diều Chủ đề 4 (có lời giải)
Chỉ từ 200k mua trọn bộ Bài tập ôn tập + Đề kiểm tra Hóa học 12 Cánh diều theo chương theo cấu trúc mới bản word có lời giải chi tiết, trình bày đẹp mắt, dễ dàng chỉnh sửa:
- B1: gửi phí vào tk:
1133836868- CT TNHH DAU TU VA DV GD VIETJACK - Ngân hàng MB (QR) - B2: Nhắn tin tới Zalo VietJack Official - nhấn vào đây để thông báo và nhận đề thi
Phần 1. Trắc nghiệm nhiều phương án lựa chọn
Câu 1. Polymer là những hợp chất có phân tử khối lớn do nhiều đơn vị nhỏ liên kết với nhau tạo thành. Các đơn vị nhỏ này được gọi là
A. mắt xích.
B. monomer.
C. hệ số polymer hóa.
D. hệ số trùng hợp.
Câu 2. Quá trình kết hợp nhiều phân tử nhỏ (monomer) thành phân tử lớn (polymer), đồng thời giải phóng những phân tử nhỏ khác (thường là H2O) được gọi là phản ứng
A. trùng hợp.
B. thế.
C. tách.
D. trùng ngưng.
Câu 3. Chất nào dưới đây thuộc loại polymer?
A. Glucose.
B. Fructose.
C. Saccharose.
D. Cellulose.
Câu 4. Monomer tạo nên mắt xích của polypropylene (PP) là
A. CH4.
B. CH2=CH2.
C. CH3 – CH=CH2.
D. CH≡CH.
Câu 5. Loại polymer nào sau đây có chứa nguyên tố nitrogen?
A. Polystyrene.
B. Poly(vinyl chloride).
C. Polyisoprene.
D. Nylon-6,6.
Câu 6. Trùng hợp ethylene thu được polymer có tên gọi là
A. polystyrene.
B. polyethylene.
C. polypropylene.
D. poly(vinyl chloride).
Câu 7. Poly(methyl methacrylate) (PMMA) cho ánh sáng truyền qua trên 90% nên được sử dụng làm thuỷ tinh hữu cơ. Thực hiện phản ứng trùng hợp monomer nào sau đây thu được PMMA?
A. CH2=C(CH3)COOCH3.
B. CH2 = CH – COOCH3.
C. CH2=CHC6H5.
D. CH2 = CHCl.
Câu 8. Tên gọi của polymer có công thức là
A. poly(vinyl chloride).
B. polyethylene.
C. poly(methyl methacrylate).
D. polystyrene.
Câu 9. Loại polymer nào sau đây được điều chế bằng phản ứng trùng ngưng?
A. PVC.
B. PET.
C. Cao su buna.
D. Teflon.
Câu 10. Phát biểu nào sau đây không đúng?
A. Keo dán có tác dụng gắn hai bề mặt vật liệu rắn với nhau nhưng không làm thay đổi tính chất của chúng.
B. Tơ được dùng sản xuất vải, sợi.
C. Tơ visco là vật liệu khó phân huỷ sinh học.
D. Vật liệu composite có nhiều ưu điểm so với các vật liệu thành phần.
Câu 11. Chất dẻo có rất nhiều ứng dụng trong đời sống. Tuy nhiên, do chất dẻo rất khó bị phân huỷ, nên việc sử dụng nhiều các vật dụng bằng chất dẻo dẫn đến nguy cơ về môi trường rất nghiêm trọng. Phát biểu nào sau đây về chất dẻo là không đúng?
A. Chất dẻo được sử dụng để chế tạo bao bì, đồ gia dụng như tủ, văn phòng phẩm.
B. Các polymer như là các chất được dùng để sản xuất chất dẻo.
C. Để giảm thiểu ô nhiễm, cần hạn chế sử dụng đồ dùng một lần bằng chất dẻo mà cần tăng cuờng tái chế chất dẻo.
D. Phương pháp tối ưu để xử lí chất dẻo phế liệu là đốt hoặc chôn lấp.
Câu 12. Phát biểu nào sau đây là không đúng khi nói về tơ?
A. Theo nguồn gốc, tơ được chia thành 3 loại: tơ tự nhiên, tơ tổng hợp và tơ bán tổng hợp.
B. Tơ là những vật liệu polymer hình sợi, mạch dài, thường phân nhánh.
C. Tơ tằm thuộc loại polypeptide.
D. Tơ là vật liệu kém bền trong môi trường acid cũng như trong môi trường base.
Câu 13. Cho polymer X có công thức cấu tạo như sau:
Phát biểu nào sau đây về X là không đúng?
A. Polymer X có thể được điều chế bằng phản ứng trùng ngưng adipic acid với hexamethylenediamine.
B. Nếu điều chế X từ monomer là caprolactam thì phản ứng thuộc loại phản ứng trùng hợp.
C. X là chất tan tốt trong nước và dễ phân huỷ sinh học.
D. X có thể tham gia phản ứng thuỷ phân trong điều kiện thích hợp.
Câu 14. Cho các polymer sau: poly(vinyl chloride), polyethylene, polystyrene, polyethylene, polybuta-1,3-diene, polyisoprene, tơ capron. Trong số các polymer trên, có bao nhiêu chất có thể tham gia phản ứng cộng trong điều kiện thích hợp?
A. 1.
B. 2.
C. 3.
D. 4.
Câu 15. Cho các chất: caprolactam (1), isopropylbenzene (2), acrylonitrile (3), glycine (4), vinyl acetate (5). Các chất có khả năng tham gia phản ứng trùng hợp tạo polymer là
A. (1), (2) và (3).
B. (1), (2) và (5).
C. (1), (3) và (5).
D. (3), (4) và (5).
Câu 16. Trong phân tử poly(vinyl chloride) phần trăm khối lượng chlorine bằng
A. 47,50 %.
B. 65,80 %.
C. 56,80 %.
D. 50,00 %.
Câu 17. Polymer X được dùng sản xuất một loại chất dẻo an toàn thực phẩm trong công nghệ chế tạo chai lọ đựng nước, bao bì đựng thực phẩm. Phân tích thành phần nguyên tố của monomer dùng điều chế X thu được kết quả: %C = 85,71%; %H = 14,29% (về khối lượng). Từ phổ khối lượng, xác định được phân tử khối của monomer bằng 42. Tên của polymer X là
A. polymethylene.
C. polybuta-1,3-diene.
B. polyethylene.
D. polypropylene.
Câu 18. Poly(methyl methacrylate) là chất dẻo được sử dụng để sản xuất thủy tinh hữu cơ dùng làm kính máy bay, kính xây dựng, kính bảo hiểm, bể cá, … Một phân tử poly(methyl metacrylate) có phân tử khối bằng 42 500. Số mắt xích trong phân tử polymer trên bằng
A. 425.
B. 475.
C. 370.
D. 500.
Phần 2. Trắc nghiệm đúng sai. Trong mỗi ý a, b, c, d ở mỗi câu, học sinh chọn đúng hoặc sai.
Câu 19. Vật liệu polymer đã và đang được sử dụng rộng rãi trong rất nhiều lĩnh vực. Với những ưu điểm vượt trội về tính chất, độ bền,… vật liệu polymer được ứng dụng rộng rãi trong đời sống như làm vật liệu cách điện và đặc biệt là vật liệu xây dựng mới như: sơn chống thấm, bê tông siêu nhẹ, gỗ công nghiệp, … Các polymer được điều chế bằng phản ứng trùng hợp hoặc trùng ngưng.
a. Sự khác biệt cơ bản giữa hai phản ứng điều chế polymer là: phản ứng trùng ngưng có tạo ra các phân tử nhỏ, còn trùng hợp thì không tạo ra các phân tử nhỏ.
b. Poly(vinyl acetate) được dùng để chế tạo sơn, keo dán. Để thu được 8,6 kg keo dán chứa 80% poly(vinyl acetate) cần 8,6 kg vinyl acetate biết hiệu suất quá trình trùng hợp là 80%.
c. Nylon-6,6 được sử dụng phổ biến trong ngành dệt may và được điều chế từ phản ứng trùng ngưng.
d. Trùng hợp buta-1,3-diene thu được polymer có cấu trúc tương tự cao su tự nhiên.
Câu 20. Poly(methyl methacrylate) (viết tắt là PMMA) là một polymer được điều chế từ methyl methacrylate. PMMA được sử dụng để chế tạo thuỷ tinh hữu cơ plexiglass. Plexiglass được dùng làm kính máy bay, ô tô, kính trong các máy móc nghiên cứu, trong xây dựng, trong y học dùng làm răng giả, xương giả, ...
a. Methyl methacrylate có một liên kết đôi C = C trong phân tử.
b. Phản ứng tổng hợp PMMA từ methyl methacrylate thuộc loại phản ứng trùng ngưng.
c. Trong một mắt xích PMMA, phần trăm khối lượng nguyên tố carbon là 58%.
d. Từ methacrylic acid (CH2=C(CH3)COOH) và methanol có thể điều chế trực tiếp được methyl methacrylate.
Câu 21. Polymer X có tính dai, bền, mềm mại, óng mượt, ít thấm nước, giặt mau khô. Polymer X dùng để dệt vải may mặc, vải lót săm lốp xe, dệt bít tất, bện làm dây cáp, dây dù, đan lưới, … Cấu tạo một đoạn mạch polymer X như sau:
a. X có tên là tơ nylon-6,6.
b. Các loại vải làm từ polymer X có thể giặt trong nước có độ kiềm cao.
c. X được điều chế từ hexamethylenediamine và adipic acid bằng phản ứng trùng hợp.
d. Các nhóm amide trong nylon-6,6 có khả năng tạo liên kết hydrogen giữa các chuỗi polymer, giúp tăng cường các tính chất cơ học cho nylon-6,6.
Câu 22. Poly(phenol-formaldehyde) (PPF) là polymer có tính cứng, chịu nhiệt, chống mài mòn và chống ẩm cao. Vì vậy, PPF được ứng dụng rộng rãi trong nhiều ngành công nghiệp như sử dụng làm chất kết dính trong sản xuất ván ép, ván MDF, giúp tăng độ bền và khả năng chống ẩm của vật liệu…. PPF được điều chế từ phản ứng giữa phenol và formaldehyde ở pH và nhiệt độ thích hợp.
a. PPF được điều chế từ phản ứng trùng hợp.
b. PPF là vật liệu polymer thuộc loại chất dẻo.
c. Rác thải nhựa làm từ vật liệu PPF có thể xử lí bằng cách đốt.
d. Các mạch polymer của PPF có thể tham gia phản ứng nối mạch polymer lại với nhau tạo thành mạng không gian.
Phần 3. Trắc nghiệm yêu cầu trả lời ngắn
Câu 23. Có bao nhiêu loại polymer có thể tạo thành từ adipic acid; 1,2-ethylene diamine và ethylene glycol bằng phản ứng trùng ngưng?
Câu 24. Cho các polymer: tinh bột, nitron, tơ tằm, capron; polyethylene, nylon-7, polypropylene, nylon-6,6. Trong số các polymer trên, có bao nhiêu polymer tổng hợp?
Câu 25. Hydrocarbon X có chứa vòng benzene. X tác dụng với bromine và có phản ứng trùng hợp tạo polymer PS. Có bao nhiêu nguyên tử hydrogen trong công thức phân tử của X?
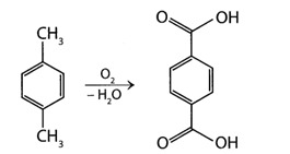
Câu 26. Terephthalic acid là chất rắn màu trắng, tiền thân của polyester PET, được sử dụng để sản xuất quần áo và chai nhựa. Quá trình tổng hợp terephthalic từ p-xylene theo sơ đồ sau:
Có bao nhiêu phân tử oxygen đã phản ứng với 1 phân tử p-xylene trong phản ứng trên?
Câu 27. Copolymer được tạo thành từ 2 monomer khác nhau. Khi thực hiện phản ứng trùng hợp gồm ethylene và styrene thu được copolymer X. Phân tích thành phần nguyên tố của X thấy phần trăm khối lượng của carbon bằng 91,0%. Tỉ lệ số mol của styrene: số mol ethylene trong copolymer X bằng bao nhiêu? (Kết quả làm tròn đến hàng phần mười)
Câu 28. Từ methacrylic acid () và methanol có thể điều chế được methyl methacrylate.
Để tổng hợp được 100kg poly(methyl methacrylate) cần dùng bao nhiêu kg methacrylic acid? Biết hiệu suất phản ứng ester hóa đạt là 60% và phản ứng trùng hợp là 86%.
(Kết quả làm tròn đến hàng phần mười)
................................
................................
................................
Xem thêm đề kiểm tra Hóa học lớp 12 Cánh diều có đáp án hay khác:
Xem thêm các tài liệu học tốt lớp 12 hay khác:
- Giải sgk Hóa học 12 Cánh diều
- Giải Chuyên đề học tập Hóa 12 Cánh diều
- Giải SBT Hóa học 12 Cánh diều
- Giải lớp 12 Cánh diều (các môn học)
- Giải lớp 12 Kết nối tri thức (các môn học)
- Giải lớp 12 Chân trời sáng tạo (các môn học)
Đã có app VietJack trên điện thoại, giải bài tập SGK, SBT Soạn văn, Văn mẫu, Thi online, Bài giảng....miễn phí. Tải ngay ứng dụng trên Android và iOS.
Theo dõi chúng tôi miễn phí trên mạng xã hội facebook và youtube:Nếu thấy hay, hãy động viên và chia sẻ nhé! Các bình luận không phù hợp với nội quy bình luận trang web sẽ bị cấm bình luận vĩnh viễn.
- Soạn văn 12 Cánh diều (hay nhất)
- Soạn văn 12 Cánh diều (ngắn nhất)
- Giải sgk Toán 12 Cánh diều
- Giải Tiếng Anh 12 Global Success
- Giải sgk Tiếng Anh 12 Smart World
- Giải sgk Tiếng Anh 12 Friends Global
- Giải sgk Vật Lí 12 - Cánh diều
- Giải sgk Hóa học 12 - Cánh diều
- Giải sgk Sinh học 12 - Cánh diều
- Giải sgk Lịch Sử 12 - Cánh diều
- Giải sgk Địa Lí 12 - Cánh diều
- Giải sgk Giáo dục KTPL 12 - Cánh diều
- Giải sgk Tin học 12 - Cánh diều
- Giải sgk Công nghệ 12 - Cánh diều
- Giải sgk Hoạt động trải nghiệm 12 - Cánh diều
- Giải sgk Giáo dục quốc phòng 12 - Cánh diều
- Giải sgk Âm nhạc 12 - Cánh diều


Giải bài tập SGK & SBT
Tài liệu giáo viên
Sách
Khóa học
Thi online
Hỏi đáp

