50 câu trắc nghiệm Phản ứng oxi hóa, khử có lời giải (nâng cao - phần 2)
Với 50 câu trắc nghiệm Phản ứng oxi hóa, khử (nâng cao - phần 2) có lời giải chi tiết sẽ giúp học sinh ôn tập, biết cách làm câu trắc nghiệm Phản ứng oxi hóa, khử (nâng cao - phần 2).
50 câu trắc nghiệm Phản ứng oxi hóa, khử có lời giải (nâng cao - phần 2)
Thi online Hóa 10 KNTTThi online Hóa 10 CDThi online Hóa 10 CTST
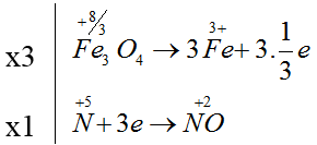
Bài 1: Cho phản ứng: Fe3O4 + HNO3loãng → ....
Tỉ lệ giữa số phân tử Fe3O4 với số HNO3 đóng vai trò môi trường là
A. 1/1. B. 3/1. C. 1/9. D. 3/28.
Lời giải:
Đáp án C
Fe3O4 + HNO3loãng → Fe(NO3)3 + NO + H2O
3Fe3O4 + 28HNO3loãng → 9Fe(NO3)3 + NO + 14H2O
Số phân tử HNO3 đóng vai trò làm môi trường = 27.
Tỉ lệ giữa số phân tử Fe3O4 với số HNO3 đóng vai trò môi trường = 3:27 = 1/9
Bài 2: Hòa tan hoàn toàn hỗn hợp gồm 0,05 mol Ag và 0,03 mol Cu vào dung dịch HNO3 dư thu được hỗn hợp khí X gồm NO và NO2 có tỉ lệ mol tương ứng là 2 : 3. Thể tích khí X (đktc) là:
A. 2,224 B. 2,737 C. 1,368 D. 3,374
Lời giải:
Đáp án C
nNO = 2x mol; nNO2 = 3x mol
Bảo toàn e ta có:
9x = 0,11; x= 11/900 ⇒ V = 5x.22,4 = 1,368 (l)
Bài 3: Hoà tan hoàn toàn a gam Al trong dd HNO3 loãng thấy thoát ra 44,8 lít hỗn hợp 3 khí NO, N2O và N2 có tỉ lệ mol tương ứng là 1:2:2. Giá trị của a là:
A. 140,4 gam B. 70,2 gam C. 35,1 gam D. Kết quả khác
Lời giải:
Đáp án A
nNO = x mol; nN2O = nN2 = 2x mol
Ta có nNO + nN2O + nN2 = x + 2x + 2x = 44,8/22,4 = 2 mol
⇒ x = 0,4 (mol)
Bảo toàn e ta có: 3x = 1,2 + 6,4 + 8 = 15,6 ⇒ x = 5,2 .
mAl = 5,2.27 = 140,4 (gam).
Bài 4: Từ 2 phản ứng:
Cu + 2Fe3+ → Cu2+ + 2Fe2+
Cu2+ + Fe → Cu + Fe2+
Có thể rút ra kết luận:
A. Tính oxi hoá: Fe3+ > Cu2+ > Fe2+ B. Tính khử: Fe > Fe2+ > Cu
C. Tính oxi hoá: Fe3+ > Fe2+ > Cu2+ D. Tính khử: Cu > Fe > Fe2+
Lời giải:
Đáp án A.
Bài 5: Cho phản ứng: FeO + HNO3 → Fe(NO3)3 + NxOy + H2O
Sau khi cân bằng, hệ số của HNO3 là
A. 13x - 9y. B. 23x - 9y. C. 23x - 8y. D. 16x - 6y.
Lời giải:
Đáp án D.
Ta có :
(5x-2y)FeO + (16x-6y)HNO3 → (5x-2y)Fe(NO3)3 + NxOy + (8x-3y)H2O
Bài 6: Hòa tan hoàn toàn 13,0 gam Zn vào dung dịch HNO3 loãng, dư thu được dung dịch X và 0,448 lít khí N2 (đktc). Khối lượng muối trong dung dịch X là:
A. 18,9 gam B. 37,80 gam C. 28,35 gam D. 39,80 gam
Lời giải:
Đáp án D
nZn = 0,2 (mol),
Do số mol e nhường < số mol e nhận, sản phẩm khử phải có NH4NO3.
Bảo toàn e ta có: 0,4 = 0,2 + 8x ⇒ x = 0,025 (mol)
mmuối = mKL + ne.mNO3 + mNH4NO3 = 13 + 0,4.62 + 0,025. 80 = 39,8 gam.
Bài 7: Cho sơ đồ phản ứng : FeS2 + HNO3 → Fe(NO3)3 + H2SO4 + NO + H2O
Sau khi cân bằng, tổng hệ số cân bằng của các chất trong phản ứng là:
A. 21. B. 19. C. 23. D. 25.
Lời giải:
Đáp án B
FeS2 + 8HNO3 → Fe(NO3)3 + 2H2SO4 + 5NO + 2H2O
Tổng hệ số cân bằng của các chất trong phản ứng là = 1 + 8+ 1+ 2+ 5 + 2= 19
Bài 8: Cho 13,5 gam nhôm tác dụng vừa đủ với 2,5 lít dung dịch HNO3, phản ứng tạo ra muối nhôm và một hỗn hợp khí gồm NO và N2O(là sản phẩm khử duy nhất). Tính nồng độ mol của dung dịch HNO3. Biết rằng tỉ khối của hỗn hợp khí đối với hiđro bằng 19,2.
A. 0,95. B. 0,86. C. 0,76. D. 0,9.
Lời giải:
Đáp án C
nAl = 0,5 mol
Bảo toàn e ta có: 1,5 = 8x + 3y (1)
Giải (1), (2) ta có: x = 0,15 , y =0,1 (mol)
nHNO3 = 4nNO + 10nN2O = 4y + 10x = 1.9 (mol)
CHNO3 = 1,9/2,5 = 0,76 M
Cho 7,8 gam hỗn hợp X gồm Mg và Al tác dụng vừa đủ với 5,6 lít hỗn hợp khí Y (đktc) gồm Cl2 và O2 thu được 19,7 gam hỗn hợp Z gồm 4 chất.
Bài 9: Phần trăm thể tích của oxi trong Y là
A. 40% B. 50% C. 60% D. 70%
Lời giải:
Đáp án: C
Ta có mX + mY = mZ ⇒ 7,8 + mY = 19,7
mY = 11,9 (g)
Gọi nCl2 = x mol; nO2 = y mol
Ta có x + y = 5,6/22,4 = 0,25 mol (1)
mCl2 + mO2 = 71x + 32y = 11,9 (2)
Giải (1) và (2) ta có x = 0,1 (mol); y = 0,15(mol)
%VO2 = 0,15/0,25 . 100% = 60%
Bài 10: Phần trăm khối lượng của Al trong X là
A. 30,77% B. 69,23% C. 34,62% D. 65,38%
Lời giải:
Đáp án B
Gọi nMg = a(mol), nAl = b (mol), ta có 24a + 27b = 7,8(*)
Bảo toàn e ta có : 2a + 3b =0,8(**)
Giải (*) và (**), a = 0,1, b = 0,2(mol)
Bài 11: Cho phản ứng sau:
Na2SO3 + KMnO4 + KHSO4 → Na2SO4 + K2SO4 + MnSO4 + H2O
Sau khi cân bằng với hệ số là những số nguyên tối giản thì hệ số của K2SO4 là
A. 2. B. 3. C. 5. D. 4.
Lời giải:
Đáp án D.
5Na2SO3 + 2KMnO4 + 6KHSO4 → 5Na2SO4 + 4K2SO4 + 2MnSO4 + 3H2O
Bài 12: Trong những phản ứng sau đây, phản ứng nào là phản ứng oxi hóa – khử
a) SO3 + H2O → H2SO4 b) CaCO3 + 2HCl → CaCl2 + CO2 + H2O
c) C + H2O → CO + H2 d) CO2 + Ca(OH)2 → CaCO3 + H2O
e) Ca + 2H2O → Ca(OH)2 + H2 f) 2KMnO4 → K2MnO4 + MnO2 + O2
A. c,e,f B. a,d,e C. a, c, e, D. a,e,f
Lời giải:
Đáp án A
Trong những phản ứng trên chỉ có phản ứng c), e), f) là những phản ứng oxi hóa - khử vì có sự thay đổi số oxi hóa của các nguyên tố.
Bài 13: Cho sơ đồ phản ứng : Fe3O4 + HNO3 → Fe(NO3)3 + NxOy + H2O. Sau khi cân bằng, hệ số của phân tử HNO3 là :
A. 23x – 9y. B. 23x – 8y. C. 46x – 18y. D. 13x – 9y.
Lời giải:
Đáp án C
(5x-2y)Fe3O4 + (46x -18y)HNO3 → (15x- 6y)Fe(NO3)3 + NxOy + (23x-9y)H2O
Bài 14: Cho phương trình phản ứng sau:
C6H5C2H5 + KMnO4 → C6H5COOK + MnO2 + K2CO3 + KOH + H2O
Hệ số nguyên tối giản đứng trước chất bị khử khi phản ứng cân bằng là
A. 4. B. 12. C. 3. D. 10.
Lời giải:
Đáp án A.
C6H5C2H5 + 4KMnO4 → C6H5COOK + 4MnO2 + K2CO3 + KOH + 2H2O.
Do số OXH của KMnO4 giảm ⇒ nó là chất oxi hóa nghĩa là trong phản ứng nó bị khử.
⇒ Hệ số cần tìm là 4.
Bài 15: Cho phản ứng hoá học: Tỉ lệ giữa số nguyên tử clo đóng vai trò chất oxi hoá và số nguyên tử clo đóng vai trò chất khử trong phương trình hoá học của phản ứng đã cho tương ứng là
A. 1:5. B. 5:1. C. 1:3. D. 3:1.
Lời giải:
Đáp án B.
Ta có:
Bài 16: Xét phản ứng : xBr2 + yCrO2- + ...OH- → ...Br- + ...CrO42- + ...H2O. Giá trị của x và y là :
A. 3 và 1. B. 1 và 2. C. 2 và 3. D. 3 và 2.
Lời giải:
Đáp án D
3Br2 + 2CrO2- + ...8OH- → ...6Br- + ...2CrO42- + ...4H2O
Bài 17: Cho 0,15 mol FexOy tác dụng với HNO3 đun nóng, thoát ra 0,05 mol NO. Công thức oxit sắt là :
A. FeO. B. Fe2O3. C. Fe3O4. D. FeO hoặc Fe3O4.
Lời giải:
Đáp án D
Bảo toàn e ta có: (3x-2y).0,15 = 0,15 ⇒ 3x-2y = 1
| x | 1 | 2 | 3 |
| y | 1 | 2,5 loại | 4 |
| FeO | Fe3O4 |
Bài 18: Cho phản ứng : Cu2S + HNO3 → Cu(NO3)2 + H2SO4 + NO2 + H2O. Số phân tử HNO3 đóng vai trò làm chất oxi hóa là?
A.14 B. 10. C. 4. D. 12.
Lời giải:
Đáp án B
Cu2S + 14HNO3 → 2Cu(NO3)2 + H2SO4 + 10NO2 + 6H2O
Số phân tử HNO3 đóng vai trò làm chất oxi hóa là 10.
Bài 19: Cho biết các phản ứng xảy ra sau:
2FeBr2 + Br2 → 2FeBr3 ;
2NaBr + Cl2 → 2NaCl + Br2 . Phát biểu đúng là
A. Tính khử của Cl- mạnh hơn của Br- .
B. Tính oxi hóa của Br2 mạnh hơn của Cl2.
C. Tính khử của Br- mạnh hơn của Fe2+.
D. Tính oxi hóa của Cl2 mạnh hơn của Fe3+.
Lời giải:
Đáp án
Từ phương trình (2) : 2NaBr + Cl2 → 2NaCl + Br2 ta suy ra tính oxi hóa của Cl2 mạnh hơn Br2.
Mặt khác từ (1): 2FeBr2 + Br2 → 2FeBr3 nên tính oxi hóa của Br2 mạnh hơn Fe3+.
Bài 20: Cho phản ứng:
FeSO4 + K2Cr2O7 + H2SO4 → Fe2(SO4)3 + Cr2(SO4)3 + K2SO4 + H2O
Tổng hệ số cân bằng của chất oxi hóa và chất khử là:
A. 6 B. 8 C.7 D.14
Lời giải:
Đáp án C
6FeSO4 + K2Cr2O7 + 7H2SO4 → 3Fe2(SO4)3 + Cr2(SO4)3 + K2SO4 + 7H2O
Chất khử Chất oxi hóa
Tổng hệ số cân bằng của chất oxi hóa và chất khử = 6 + 1 = 7.
Bài 21: Thực hiện các thí nghiệm sau:
(I) Sục khí SO2 vào dung dịch KMnO4.
(II) Sục khí SO2 vào dung dịch H2S.
(III) Sục hỗn hợp khí NO2 và O2 vào nước.
(IV) Cho MnO2 vào dung dịch HCl đặc, nóng.
(V) Cho Fe2O3 vào dung dịch H2SO4 đặc, nóng.
Số thí nghiệm có phản ứng oxi hoá - khử xảy ra là
A. 2. B. 5. C. 4. D. 3.
Lời giải:
Đáp án C.
Các phương trình oxi hóa khử là I, II, III, IV.
Các pt phản ứng xảy ra:
(I): 2KMnO4 + 5SO2 + 2H2O → 2H2SO4 + 2MnSO4 + K2SO4
(II) SO2 + 2H2S → 3S + 2H2O
(III) 2NO2 + 1/2 O2 + H2O → 2HNO3
(IV) MnO2 + 4HCl → MnCl2 + 2H2O + Cl2
(V) Fe2O3 + 3H2SO4 → Fe2(SO4)3 + 3H2O
Bài 22: Trong phản ứng:
K2Cr2O7 + HCl → CrCl3 + Cl2 + KCl + H2O
Số phân tử HCl đóng vai trò chất khử bằng k lần tổng số phân tử HCl tham gia phản ứng. Giá trị của k là
A. 3/14. B. 4/7. C. 1/7. D. 3/7.
Lời giải:
Đáp án D
K2Cr2O7 + 14HCl → 2CrCl3 + 3Cl2 + 2KCl + 7H2O
Số phân tử HCl đóng vai trò chất khử /tổng số phân tử HCl tham gia phản ứng = 6/14=3/7
Bài 23: Cho các phản ứng:
(a) Sn + HCl (loãng) → (b) Fe + H2SO4 (loãng) →
(c) MnO2 + HCl (đặc) → (d) Cu + H2SO4 (đặc) →
(e) Al + H2SO4 (loãng) → (g) FeSO4 + KMnO4 + H2SO4 →
Số phản ứng mà H của axit đóng vai trò chất oxi hoá là
A. 3. B. 5. C. 2. D. 6.
Lời giải:
Đáp án C
Các phương trình: a, b.
(a) Sn + 2HCl (loãng) → SnCl2 + H2
Chất oxi hóa (sự thay đổi số oxi hóa xảy ra tại H).
(b) Fe + H2SO4 (loãng) → FeSO4 + H2
Chất oxi hóa (sự thay đổi số oxi hóa xảy ra tại H).
(c) MnO2 + 4HCl (đặc) → MnCl2 + Cl2 + 2H2O
Chất khử (sự thay đổi số oxi hóa xảy ra tại Cl)
(d) Cu + 2H2SO4 (đặc) → CuSO4 + SO2 + 2H2O
Chất oxi hóa (sự thay đổi số oxi hóa xảy ra tại S).
(e) 10FeSO4 + 2KMnO4 + 8H2SO4 → 5Fe2(SO4)3 + K2SO4 + 2MnSO4 + 8H2O
Môi trường
Bài 24: Cho các phản ứng sau:
(a) 4HCl + PbO2 → PbCl2 + Cl2 + 2H2O.
(b) HCl + NH4HCO3 → NH4Cl + CO2 + H2O.
(c) 2HCl + 2HNO3 → 2NO2 + Cl2 + 2H2O.
(d) 2HCl + Zn → ZnCl2 + H2.
Số phản ứng trong đó HCl thể hiện tính khử là
A. 2. B. 3. C. 1. D. 4.
Lời giải:
Đáp án A.
(a) 4HCl + PbO2 → PbCl2 + Cl2 + 2H2O.
Chất khử
(b) HCl + NH4HCO3 → NH4Cl + CO2 + H2O.
Không thay đổi số oxi hóa.
(c) 2HCl + 2HNO3 → 2NO2 + Cl2 + 2H2O.
Chất khử
(d) 2HCl + Zn → ZnCl2 + H2.
Chất oxi hóa
Bài 25: Hai kim loại X, Y và các dung dịch muối của chúng có các phản ứng hoá học sau:
Phát biểu đúng là
A. Ion Y2+ có tính oxi hoá mạnh hơn ion X2+.
B. Kim loại X khử được ion Y2+.
C. Kim loại X có tính khử mạnh hơn kim loại Y.
D. Ion Y3+ có tính oxi hoá mạnh hơn ion X2+.
Lời giải:
Đáp án D
Thi online Hóa 10 KNTTThi online Hóa 10 CDThi online Hóa 10 CTST
Xem thêm các dạng bài tập Hóa học lớp 10 có trong đề thi Tốt nghiệp THPT khác:
- 50 câu trắc nghiệm Phản ứng oxi hóa, khử có lời giải (cơ bản - phần 1)
- 50 câu trắc nghiệm Phản ứng oxi hóa, khử có lời giải (cơ bản - phần 2)
- 50 câu trắc nghiệm Phản ứng oxi hóa, khử có lời giải (nâng cao - phần 1)
Để học tốt lớp 10 các môn học sách mới:
- Giải bài tập Lớp 10 Kết nối tri thức
- Giải bài tập Lớp 10 Chân trời sáng tạo
- Giải bài tập Lớp 10 Cánh diều
Tủ sách VIETJACK shopee lớp 10-11 (cả 3 bộ sách):
Đã có app VietJack trên điện thoại, giải bài tập SGK, SBT Soạn văn, Văn mẫu, Thi online, Bài giảng....miễn phí. Tải ngay ứng dụng trên Android và iOS.
Theo dõi chúng tôi miễn phí trên mạng xã hội facebook và youtube:Nếu thấy hay, hãy động viên và chia sẻ nhé! Các bình luận không phù hợp với nội quy bình luận trang web sẽ bị cấm bình luận vĩnh viễn.
- Giải Tiếng Anh 10 Global Success
- Giải Tiếng Anh 10 Friends Global
- Giải sgk Tiếng Anh 10 iLearn Smart World
- Giải sgk Tiếng Anh 10 Explore New Worlds
- Lớp 10 - Kết nối tri thức
- Soạn văn 10 (hay nhất) - KNTT
- Soạn văn 10 (ngắn nhất) - KNTT
- Soạn văn 10 (siêu ngắn) - KNTT
- Giải sgk Toán 10 - KNTT
- Giải sgk Vật lí 10 - KNTT
- Giải sgk Hóa học 10 - KNTT
- Giải sgk Sinh học 10 - KNTT
- Giải sgk Địa lí 10 - KNTT
- Giải sgk Lịch sử 10 - KNTT
- Giải sgk Kinh tế và Pháp luật 10 - KNTT
- Giải sgk Tin học 10 - KNTT
- Giải sgk Công nghệ 10 - KNTT
- Giải sgk Hoạt động trải nghiệm 10 - KNTT
- Giải sgk Giáo dục quốc phòng 10 - KNTT
- Lớp 10 - Chân trời sáng tạo
- Soạn văn 10 (hay nhất) - CTST
- Soạn văn 10 (ngắn nhất) - CTST
- Soạn văn 10 (siêu ngắn) - CTST
- Giải Toán 10 - CTST
- Giải sgk Vật lí 10 - CTST
- Giải sgk Hóa học 10 - CTST
- Giải sgk Sinh học 10 - CTST
- Giải sgk Địa lí 10 - CTST
- Giải sgk Lịch sử 10 - CTST
- Giải sgk Kinh tế và Pháp luật 10 - CTST
- Giải sgk Hoạt động trải nghiệm 10 - CTST
- Lớp 10 - Cánh diều
- Soạn văn 10 (hay nhất) - Cánh diều
- Soạn văn 10 (ngắn nhất) - Cánh diều
- Soạn văn 10 (siêu ngắn) - Cánh diều
- Giải sgk Toán 10 - Cánh diều
- Giải sgk Vật lí 10 - Cánh diều
- Giải sgk Hóa học 10 - Cánh diều
- Giải sgk Sinh học 10 - Cánh diều
- Giải sgk Địa lí 10 - Cánh diều
- Giải sgk Lịch sử 10 - Cánh diều
- Giải sgk Kinh tế và Pháp luật 10 - Cánh diều
- Giải sgk Tin học 10 - Cánh diều
- Giải sgk Công nghệ 10 - Cánh diều
- Giải sgk Hoạt động trải nghiệm 10 - Cánh diều
- Giải sgk Giáo dục quốc phòng 10 - Cánh diều


Giải bài tập SGK & SBT
Tài liệu giáo viên
Sách
Khóa học
Thi online
Hỏi đáp

