15+ Bài tập về methane lớp 9 (có lời giải)
Tổng hợp trên 15 Bài tập về methane Hóa học lớp 9 có lời giải chi tiết gồm các câu hỏi & bài tập trắc nghiệm đầy đủ các mức độ nhận biết, thông hiểu, vận dụng sẽ giúp học sinh biết cách làm bài tập Hóa 9.
15+ Bài tập về methane lớp 9 (có lời giải)
Thi online KHTN 9 KNTTThi online KHTN 9 CDThi online KHTN 9 CTST
Dạng 3: Bài tập về methane
Bài 1: Phản ứng của methane đặc trưng cho liên kết đơn là:
A. Phản ứng cháy
B. Phản ứng cộng
C. Phản ứng thế
D. Phản ứng trùng hợp
Lời giải
Phản ứng của methane đặc trưng cho liên kết đơn là: phản ứng thế
Đáp án: C
Bài 2: Chọn câu đúng trong các câu sau:
A. methane có nhiều trong khí quyển
B. methane có nhiều trong mỏ khí, mỏ dầu, mỏ than
C. methane có nhiều trong nước biển
D. methane sinh ra trong quá trình thực vật bị phân hủy.
Lời giải
Câu đúng là: methane có nhiều trong mỏ khí, mỏ dầu, mỏ than
Đáp án: B
Bài 3: Trong các khí sau : CH4, H2, Cl2, O2. Khí nào khi trộn với nhau tạo ra hỗn hợp nổ ?
A. CH4 và Cl2.
B. H2 và O2.
C. CH4 và O2.
D. cả B và C đều đúng
Lời giải
Các hỗn hợp khí khi trộn với nhau tạo ra hỗn hợp nổ là: H2 và O2 và CH4 và O2.
Đáp án: D
Bài 4: Có bao nhiêu phát biểu đúng trong số các phát biểu sau:
a) methane cháy với oxi tạo hơi nước và khí sulfur dioxide.
b) Phản ứng hóa học giữa methane và clo được gọi là phản ứng thế.
c) Trong phản ứng hóa học, giữa methane và clo, chỉ có duy nhất một nguyên tử hiđro của methane có thể được thay thế bởi nguyên tử clo.
d) Hỗn hợp gồm hai thể tích methane và một thể tích oxi là hỗn hợp nổ mạnh.
A. 1 B. 2
C. 3 D. 4
Lời giải
Phát biểu đúng: b). Vậy số phát biểu đúng là 1
Các phát biểu sai là:
a) methane cháy với oxi tạo hơi nước và khí sulfur dioxide => Sai vì tạo khí carbonic (CO2) chứ không phải là sulfur dioxide
c) Trong phản ứng hóa học giữa methane và Clo, chỉ có duy nhất một nguyên tử Hiđro của methane có thể được thay thế bởi nguyên tử Clo => Sai.
d) Hỗn hợp gồm hai thể tích methane và một thể tích Oxi là hỗn hợp nổ mạnh => Sai, hỗn hợp nổ gồm một thể tích methane và hai phần thể tích Oxi
Đáp án: A
Bài 5: Những phát biểu nào sau đây không đúng?
1) methane tác dụng với clo khi có ánh sáng.
2) methane là chất khí, không màu, không mùi, nặng hơn không khí.
3) methane cháy tỏa nhiều nhiệt nên được dùng làm nhiên liệu trong đời sống và trong sản xuất.
4) Hỗn hợp giữa methane và clo là hỗn hợp nổ.
5) Trong phân tử methane có bốn liên kết đơn C-H.
6) methane tác dụng với clo ở điều kiện thường.
A. 1, 3, 5. B. 1, 2, 6.
C. 2, 4, 6. D. 2, 4, 5
Lời giải
Các phát biểu không đúng: 2, 4, 6
2) methane là chất khí, không màu, không mùi, nặng hơn không khí => Sai, khí methane nhẹ hơn không khí.
4) Hỗn hợp giữa methane và Clo là hỗn hợp nổ => Sai.
6) methane tác dụng với Clo ở điều kiện thường => Sai, phải có chiếu sáng thì phản ứng mới xảy ra
Đáp án: C
Bài 6: Đốt cháy hoàn toàn 11,2 lít khí methane. Biết các thể tích khí đo ở điều kiện tiêu chuẩn.Thể tích khí oxi cần dùng và thể tích khí carbonic tạo thành lần lượt là
A. 22,4 lít và 22,4 lít.
B. 11,2 lít và 22,4 lít.
C. 22,4 lít và 11,2 lít.
D. 11,2 lít và 22,4 lít.
Lời giải

CH4 + 2O2
CO2 + 2H2O
0,5 → 1 → 0,5 mol
⇒VO2 = 1.22,4 = 22,4 lít
VCO2 = 0,5.22,4 = 11,2 lít
Đáp án: C
Bài 7: Đốt cháy hoàn toàn 3,36 lít khí methane (đktc). Lấy sản phẩm thu được hấp thụ hoàn toàn vào nước vôi trong dư thấy xuất hiện m gam kết tủa. Giá trị của m là
A. 9 B. 10
C. 12 D. 15
Lời giải

CH4 + 2O2
CO2 + 2H2O
0,15 → 0,15 mol
CO2 + Ca(OH)2 → CaCO3↓ + H2O
0,15 mol → 0,15 mol
mCaCO3 = 0,15.100 = 15 gam
Đáp án: D
Bài 8: Cho 2,24 lít khí methane (đktc) phản ứng hoàn toàn với V lít khí Cl2 cùng điều kiện thu được chất A và HCl. Biết clo chiếm 83,53% khối lượng của A. Giá trị của V là
A. 2,24.
B. 4,48.
C. 3,36.
D. 6,72.
Lời giải

CTPT của A là CH4-xClx
Ta có:

=> x = 2
=> A là CH2Cl2
Pthh: CH4 + 2Cl2 → CH2Cl2 + 2HCl
2,24 → 4,48 lít
=> V = 4,48 (l)
Đáp án: B
Bài 9: Đốt cháy hoàn toàn một alkane thu được 2,24 lít khí CO2 và 3,6 gam H2O. Công thức phân tử của alkane là
A. CH4. B. C2H6.
C. C3H8. D. C4H10.
Lời giải

Cách 1:
PTHH: 
Theo pt: n n + 1
Theo đb: 0,1 0,2
=> 0,2.n = 0,1.(n + 1) => n = 1
Vậy CTPT của alkane là: CH4
Cách 2:
nalkane = nH2O - nCO2
⇒nalkane = 0,2 - 0,1 = 0,1 (mol)

Vậy CTPT của alkane là: CH4
Đáp án: A
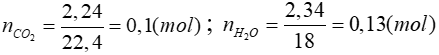
Bài 10: Đốt cháy hoàn toàn hỗn hợp gồm 2 alkane là đồng đẳng kế tiếp thu được 2,24 lít khí và 2,34 gam . Xác định CTPT của 2 alkane.
A. CH4 và C2H6.
B. C2H6 và C3H8.
C. C3H8 và C4H10.
D. CH4 và C3H8
Lời giải

Pthh

nalkane = nH2O - nCO2
⇒nalkane = 0,13 - 0,1 = 0,03 (mol)

⇒ 2 alkane là: CH4, C2H6
Đáp án: A
Thi online KHTN 9 KNTTThi online KHTN 9 CDThi online KHTN 9 CTST
Xem thêm bộ câu hỏi trắc nghiệm Hóa học lớp 9 chọn lọc, có đáp án mới nhất hay khác:
- Bài tập về Etilen lớp 9 (có lời giải)
- Bài tập về acetylene lớp 9 (có lời giải)
- Bài tập về benzene lớp 9 (có lời giải)
- Bài tập về Dầu mỏ và khí thiên nhiên lớp 9 (có lời giải)
- Bài tập về Nhiên liệu lớp 9 (có lời giải)
- Bài tập về ethylic alcohol lớp 9 (có lời giải)
Xem thêm các loạt bài Để học tốt Hóa học 9 hay khác:
- Giải bài tập Hóa học 9
- Giải sách bài tập Hóa 9
- Đề thi Hóa học 9
- Wiki 200 Tính chất hóa học
- Wiki 3000 Phản ứng hóa học quan trọng
Tủ sách VIETJACK luyện thi vào 10 cho 2k11 (2026):
Đã có app VietJack trên điện thoại, giải bài tập SGK, SBT Soạn văn, Văn mẫu, Thi online, Bài giảng....miễn phí. Tải ngay ứng dụng trên Android và iOS.
Theo dõi chúng tôi miễn phí trên mạng xã hội facebook và youtube:Loạt bài Chuyên đề: Lý thuyết - Bài tập Hóa học lớp 9 có đáp án được biên soạn bám sát nội dung chương trình sgk Hóa học 9.
Nếu thấy hay, hãy động viên và chia sẻ nhé! Các bình luận không phù hợp với nội quy bình luận trang web sẽ bị cấm bình luận vĩnh viễn.
- Giải Tiếng Anh 9 Global Success
- Giải sgk Tiếng Anh 9 Smart World
- Giải sgk Tiếng Anh 9 Friends plus
- Lớp 9 Kết nối tri thức
- Soạn văn 9 (hay nhất) - KNTT
- Soạn văn 9 (ngắn nhất) - KNTT
- Giải sgk Toán 9 - KNTT
- Giải sgk Khoa học tự nhiên 9 - KNTT
- Giải sgk Lịch Sử 9 - KNTT
- Giải sgk Địa Lí 9 - KNTT
- Giải sgk Giáo dục công dân 9 - KNTT
- Giải sgk Tin học 9 - KNTT
- Giải sgk Công nghệ 9 - KNTT
- Giải sgk Hoạt động trải nghiệm 9 - KNTT
- Giải sgk Âm nhạc 9 - KNTT
- Giải sgk Mĩ thuật 9 - KNTT
- Lớp 9 Chân trời sáng tạo
- Soạn văn 9 (hay nhất) - CTST
- Soạn văn 9 (ngắn nhất) - CTST
- Giải sgk Toán 9 - CTST
- Giải sgk Khoa học tự nhiên 9 - CTST
- Giải sgk Lịch Sử 9 - CTST
- Giải sgk Địa Lí 9 - CTST
- Giải sgk Giáo dục công dân 9 - CTST
- Giải sgk Tin học 9 - CTST
- Giải sgk Công nghệ 9 - CTST
- Giải sgk Hoạt động trải nghiệm 9 - CTST
- Giải sgk Âm nhạc 9 - CTST
- Giải sgk Mĩ thuật 9 - CTST
- Lớp 9 Cánh diều
- Soạn văn 9 Cánh diều (hay nhất)
- Soạn văn 9 Cánh diều (ngắn nhất)
- Giải sgk Toán 9 - Cánh diều
- Giải sgk Khoa học tự nhiên 9 - Cánh diều
- Giải sgk Lịch Sử 9 - Cánh diều
- Giải sgk Địa Lí 9 - Cánh diều
- Giải sgk Giáo dục công dân 9 - Cánh diều
- Giải sgk Tin học 9 - Cánh diều
- Giải sgk Công nghệ 9 - Cánh diều
- Giải sgk Hoạt động trải nghiệm 9 - Cánh diều
- Giải sgk Âm nhạc 9 - Cánh diều
- Giải sgk Mĩ thuật 9 - Cánh diều


Giải bài tập SGK & SBT
Tài liệu giáo viên
Sách
Khóa học
Thi online
Hỏi đáp

