Đồng phân của C7H12 và gọi tên | Công thức cấu tạo của C7H12 và gọi tên
Đồng phân của một chất hữu cơ khá phức tạp và có nhiều loại: đồng phân mạch hở (đồng phân mạch cacbon), đồng phân hình học, đồng phân nhóm chức, đồng phân dẫn xuất, ... Nhằm mục đích giúp các em học sinh viết đủ số đồng phân của C7H12 và gọi tên đúng các đồng phân của C7H12 tương ứng, dưới đây VietJack sẽ hướng dẫn các bạn cách viết đồng phân và gọi tên C7H12 đầy đủ, chi tiết.
Đồng phân của C7H12 và gọi tên | Công thức cấu tạo của C7H12 và gọi tên
Độ bất bão hòa k = số liên kết π + số vòng = (7.2 + 2 - 12) / 2 = 2
Phân tử có chứa 2 liên kết pi hoặc 1 vòng + 1 liên kết pi
alkadien C7H12 có đồng phân trong đó:
alkadien C7H12 có đồng phân cấu tạo (hay còn gọi là đồng phân mạch cácbon hoăc đồng phân mạch hở).
| STT | Đồng phân | Tên gọi |
|---|---|---|
| 1 | CH2 = C = CH – CH2 – CH2 – CH2 – CH3 | hepta – 1, 2 – diene |
| 2 | CH2 = CH – CH = CH – CH2 – CH2 – CH3 | hepta – 1, 3 – diene |
| 3 | CH2 = CH – CH2 – CH = CH – CH2 – CH3 | hepta – 1,4 – diene |
| 4 | CH2 = CH – CH2 – CH2 – CH = CH – CH3 | hepta – 1,5 – diene |
| 5 | CH2 = CH – CH – CH2 – CH2 – CH = CH2 | hepta – 1,6 – diene |
| 6 |
| 3 – metylhexa – 1,2 –diene |
| 7 |
| 4 – metylhexa – 1,2 –diene |
| 8 |
| 5 – metylhexa – 1,2 –diene |
| 9 |
| 3,4 – đimethyl penta – 1,2 – diene |
| 10 |
| 2 – metylhexa – 1,3 – diene |
| 11 |
| 3 – metylhexa – 1,3 – diene |
| 12 |
| 4 – metylhexa – 1,3 – diene |
| 13 |
| 5 – metylhexa – 1,3 –diene |
| 14 |
| 2,3 – dimethylpenta – 1, 3 – diene |
| 15 |
| 2,4 – dimethylpenta – 1,3 – diene |
| 16 |
| 3,4 – dimethylpenta – 1,3 – diene |
| 17 |
| 2 – metylhexa – 1,4 – diene |
| 18 |
| 3 – metylhexa – 1,4 – diene |
| 19 |
| 4 – metylhexa – 1,4 – diene |
| 20 |
| 5 – metylhexa – 1,4 – diene |
| 21 |
| 2,3 – dimethylpenta – 1,4 – diene |
| 22 |
| 2,4 – dimethylpenta – 1,4 – diene |
| 23 |
| 2 – metylhexa – 1,5 – diene |
| 24 |
| 3 – metylhexa – 1,5 – diene |
| 25 | CH3 – CH = C = CH – CH2 – CH2 – CH3 | hepta – 2,3 – diene |
| 26 |
| 2 – metylhexa – 2,3 – diene |
| 27 |
| 4– metylhexa – 2,3 – diene |
| 28 |
| 5– metylhexa – 2,3 – diene |
| 29 |
| 2,4 – dimethylpenta – 2,3 – diene |
| 30 | CH3 – CH = CH – CH = CH – CH2 – CH3 | hepta – 2,4 – diene |
| 31 |
| 2 – metylhexa – 2,4 – diene |
| 32 |
| 3 – metylhexa – 2,4 – diene |
| 33 | CH3 – CH = CH – CH2 – CH = CH – CH3 | hepta – 2, 5 – diene |
| 34 | CH3 – CH2 – CH = C = CH – CH2 – CH3 | hepta – 3,4 – diene |
- Trong đó
+ hepta – 1, 3 – diene có đồng phân hình học
| STT | Đồng phân | Tên gọi |
|---|---|---|
| 1 |
| Cis - hepta – 1, 3 – diene |
| 2 |
| Trans - hepta – 1, 3 – diene |
+ hepta – 1,4 – diene có đồng phân hình học
| STT | Đồng phân | Tên gọi |
|---|---|---|
| 1 |
| Cis - hepta – 1,4 – diene |
| 2 |
| Trans - hepta – 1,4 – diene |
+ Hepta – 1,5 – diene có đồng phân hình học
| STT | Đồng phân | Tên gọi |
|---|---|---|
| 1 |
| Cis - Hepta – 1,5 – diene |
| 2 |
| Trans - Hepta – 1,5 – diene |
+ 2 – metylhexa – 1,3 – diene có đồng phân hình học
| STT | Đồng phân | Tên gọi |
|---|---|---|
| 1 |
| Cis - 2 – metylhexa – 1,3 – diene |
| 2 |
| Trans - 2 – metylhexa – 1,3 – diene |
+ 3 – metylhexa – 1,3 – diene có đồng phân hình học
| STT | Đồng phân | Tên gọi |
|---|---|---|
| 1 |
| Cis - 3 – metylhexa – 1,3 – diene |
| 2 |
| Trans - 3 – metylhexa – 1,3 – diene |
+ 5 – metylhexa – 1,3 –diene có đồng phân hình học
| STT | Đồng phân | Tên gọi |
|---|---|---|
| 1 |
| Cis - 5 – metylhexa – 1,3 –diene |
| 2 |
| Trans - - 5 – metylhexa – 1,3 –diene |
+ 2,3 – dimethylpenta – 1, 3 – diene có đồng phân hình học
| STT | Đồng phân | Tên gọi |
|---|---|---|
| 1 |
| Cis - 2,3 – dimethylpenta – 1, 3 – diene |
| 2 |
| Trans - 2,3 – dimethylpenta – 1, 3 – diene |
+ 2 – metylhexa – 1,4 – diene có đồng phân hình học
| STT | Đồng phân | Tên gọi |
|---|---|---|
| 1 |
| Cis - 2 – metylhexa – 1,4 – diene |
| 2 |
| Trans – 2 – metylhexa – 1,4 – diene |
+ 3 – metylhexa – 1,4 – diene có đồng phân hình học
| STT | Đồng phân | Tên gọi |
|---|---|---|
| 1 |
| Cis - metylhexa – 1,4 – diene |
| 2 |
| Trans - metylhexa – 1,4 – diene |
+ 4 – metylhexa – 1,4 – diene có đồng phân hình học
| STT | Đồng phân | Tên gọi |
|---|---|---|
| 1 |
| Cis - 4 – metylhexa – 1,4 – diene |
| 2 |
| Trans - 4– metylhexa – 1,4 – diene |
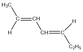
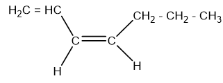
+ hepta – 2,4 – diene có đồng phân hình học
| STT | Đồng phân | Tên gọi |
|---|---|---|
| 1 |
| Trans – Cis - hepta – 2,4 – diene |
| 2 |
| Trans – Trans - hepta – 2,4 – diene |
| 3 |
| Cis – Trans - hepta – 2,4 – diene |
| 4 |
| Cis – Cis - hepta – 2,4 – diene |
+ 2 – metylhexa – 2,4 – diene có đồng phân hình học
| STT | Đồng phân | Tên gọi |
|---|---|---|
| 1 |
| Cis - 2 – metylhexa – 2,4 – diene |
| 2 |
| Trans - 2 – metylhexa – 2,4 – diene |
+ 3 – metylhexa – 2,4 – diene có đồng phân hình học
| STT | Đồng phân | Tên gọi |
|---|---|---|
| 1 |
| Trans – Trans - 3 – metylhexa – 2,4 – diene |
| 2 |
| Trans – Cis - 3 – metylhexa – 2,4 – diene |
| 3 |
| Cis – Cis - 3 – metylhexa – 2,4 – diene |
| 4 |
| Cis – Trans - 3 – metylhexa – 2,4 – diene |
+ hepta – 2, 5 – diene có đồng phân hình học
| STT | Đồng phân | Tên gọi |
|---|---|---|
| 1 |
| Trans – Cis - hepta – 2, 5 – diene |
| 2 |
| Trans – Trans - hepta – 2, 5 – diene |
| 3 |
| Cis – Trans -hepta – 2, 5 – diene |
| 4 |
| Cis – Cis - hepta – 2, 5 – diene |
Do tính đối xứng nên Trans – Cis - hepta – 2, 5 – diene và Cis – Trans - hepta – 2, 5 – diene trùng nhau ⇒ hepta – 2, 5 – diene có 3 đồng phân hình học.
Vậy tính cả đồng phân hình học thì alkadien C5H8 có tổng cộng 53 đồng phân.
Xem thêm các đồng phân và cách gọi tên chi tiết của các chất hóa học khác:
Sách VietJack thi THPT quốc gia 2025 cho học sinh 2k7:
- Đề thi lớp 1 (các môn học)
- Đề thi lớp 2 (các môn học)
- Đề thi lớp 3 (các môn học)
- Đề thi lớp 4 (các môn học)
- Đề thi lớp 5 (các môn học)
- Đề thi lớp 6 (các môn học)
- Đề thi lớp 7 (các môn học)
- Đề thi lớp 8 (các môn học)
- Đề thi lớp 9 (các môn học)
- Đề thi lớp 10 (các môn học)
- Đề thi lớp 11 (các môn học)
- Đề thi lớp 12 (các môn học)
- Giáo án lớp 1 (các môn học)
- Giáo án lớp 2 (các môn học)
- Giáo án lớp 3 (các môn học)
- Giáo án lớp 4 (các môn học)
- Giáo án lớp 5 (các môn học)
- Giáo án lớp 6 (các môn học)
- Giáo án lớp 7 (các môn học)
- Giáo án lớp 8 (các môn học)
- Giáo án lớp 9 (các môn học)
- Giáo án lớp 10 (các môn học)
- Giáo án lớp 11 (các môn học)
- Giáo án lớp 12 (các môn học)
Giải bài tập SGK & SBT
Tài liệu giáo viên
Sách
Khóa học
Thi online
Hỏi đáp



