X là nguyên tố hóa học có trong thành phần của chất có tác dụng oxi hóa
Giải SBT Hóa học 10 Bài 2: Thành phần của nguyên tử
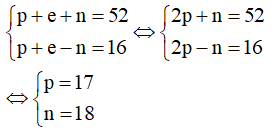
Bài 2.16 trang 9 SBT Hóa học 10: X là nguyên tố hóa học có trong thành phần của chất có tác dụng oxi hóa và sát khuẩn cực mạnh, thường được sử dụng với mục đích khử trùng và tẩy trắng trong lĩnh vực thủy sản, diệt nhuộm, xử lí nước cấp, nước thải, nước bể bơi. Nguyên tử X có tổng số các loại hạt bằng 52, trong đó số hạt mang điện nhiều hơn số hạt không mang điện là 16 hạt. Xác định thành phần cấu tạo của nguyên tử X.
Lời giải:
Gọi p, n và e lần lượt là số proton, neutron và electron của X. Trong đó p = e.
Theo bài ra, ta có hệ phương trình:
Vậy trong X có 17 proton; 17 electron và 18 neutron.
Xem thêm các bài giải sách bài tập Hóa học lớp 10 Chân trời sáng tạo hay, chi tiết khác:
Bài 2.2 trang 7 SBT Hóa học 10: Cho 1 mol kim loại X. Phát biểu nào dưới đây đúng ....
Bài 2.3 trang 7 SBT Hóa học 10: Thành phần nào không bị lệch hướng trong trường điện ....
Bài 2.4 trang 7 SBT Hóa học 10: Phát biểu nào sai khi nói về neutron ....
Bài 2.5 trang 7 SBT Hóa học 10: Nguyên tử R có điện tích lớp vỏ nguyên tử là 41,6.10-19C ....
Bài 2.8 trang 8 SBT Hóa học 10: Đặc điểm của electron là ....
Bài 2.15 trang 9 SBT Hóa học 10: Nguyên tử mang điện tích dương, điện tích âm hay trung hòa ....
Bài 2.18 trang 9 SBT Hóa học 10: Nitrogen giúp bảo quản tinh trùng, phôi, máu và tế bào gốc....
Bài 2.21 trang 10 SBT Hóa học 10: Khi phóng chùm tia α vào một lá vàng mỏng ....
Bài 2.24 trang 10 SBT Hóa học 10: Nguyên tử Fe ở 20oC có khối lượng riêng là ....
Bài 2.25 trang 10 SBT Hóa học 10: Nguyên tử kẽm (Zn) có nguyên tử khối bằng 65u....
Xem thêm các tài liệu học tốt lớp 10 hay khác:
- Giải sgk Hóa học 10 Chân trời sáng tạo
- Giải Chuyên đề Hóa học 10 Chân trời sáng tạo
- Giải SBT Hóa học 10 Chân trời sáng tạo
- Giải lớp 10 Chân trời sáng tạo (các môn học)
- Giải lớp 10 Kết nối tri thức (các môn học)
- Giải lớp 10 Cánh diều (các môn học)
Tủ sách VIETJACK shopee lớp 10-11 (cả 3 bộ sách):
Đã có app VietJack trên điện thoại, giải bài tập SGK, SBT Soạn văn, Văn mẫu, Thi online, Bài giảng....miễn phí. Tải ngay ứng dụng trên Android và iOS.
Theo dõi chúng tôi miễn phí trên mạng xã hội facebook và youtube:Nếu thấy hay, hãy động viên và chia sẻ nhé! Các bình luận không phù hợp với nội quy bình luận trang web sẽ bị cấm bình luận vĩnh viễn.
- Soạn văn 10 (hay nhất) - CTST
- Soạn văn 10 (ngắn nhất) - CTST
- Soạn văn 10 (siêu ngắn) - CTST
- Giải Toán 10 - CTST
- Giải Tiếng Anh 10 Global Success
- Giải Tiếng Anh 10 Friends Global
- Giải sgk Tiếng Anh 10 iLearn Smart World
- Giải sgk Tiếng Anh 10 Explore New Worlds
- Giải sgk Vật lí 10 - CTST
- Giải sgk Hóa học 10 - CTST
- Giải sgk Sinh học 10 - CTST
- Giải sgk Địa lí 10 - CTST
- Giải sgk Lịch sử 10 - CTST
- Giải sgk Kinh tế và Pháp luật 10 - CTST
- Giải sgk Hoạt động trải nghiệm 10 - CTST


Giải bài tập SGK & SBT
Tài liệu giáo viên
Sách
Khóa học
Thi online
Hỏi đáp

