Viết công thức cấu tạo đầy đủ của những hợp chất hữu cơ sau
Sách bài tập Hóa học 11 Bài 11: Cấu tạo hóa học hợp chất hữu cơ - Chân trời sáng tạo
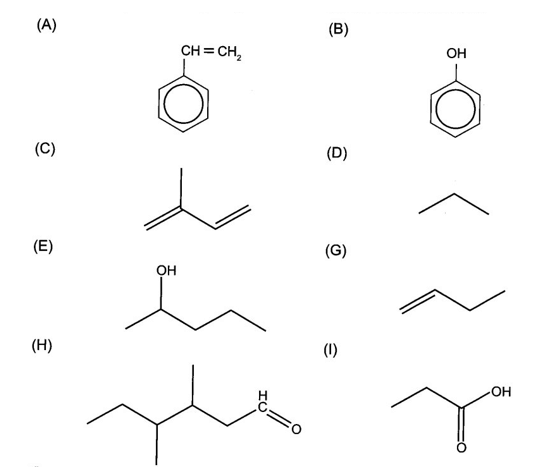
Bài 11.7 trang 45 Sách bài tập Hóa học 11: Viết công thức cấu tạo đầy đủ của những hợp chất hữu cơ sau:
Lời giải:
Lời giải SBT Hóa 11 Bài 11: Cấu tạo hóa học hợp chất hữu cơ hay khác:
Bài 11.1 trang 44 Sách bài tập Hóa học 11: Phát biểu nào sau đây là đúng? Đồng đẳng là ....
Bài 11.2 trang 44 Sách bài tập Hóa học 11: Phát biểu nào sau đây là đúng khi nói về đồng phân?....
Bài 11.3 trang 44 Sách bài tập Hóa học 11: Cặp chất nào sau đây là đồng phân của nhau?....
Bài 11.4 trang 44 Sách bài tập Hóa học 11: Cặp chất nào sau đây là đồng đẳng của nhau?....
Xem thêm các bài giải sách bài tập Hóa học lớp 11 Chân trời sáng tạo hay, chi tiết khác:
Xem thêm các tài liệu học tốt lớp 11 hay khác:
- Giải sgk Hóa học 11 Chân trời sáng tạo
- Giải Chuyên đề học tập Hóa 11 Chân trời sáng tạo
- Giải SBT Hóa học 11 Chân trời sáng tạo
- Giải lớp 11 Chân trời sáng tạo (các môn học)
- Giải lớp 11 Kết nối tri thức (các môn học)
- Giải lớp 11 Cánh diều (các môn học)
Tủ sách VIETJACK shopee lớp 10-11 (cả 3 bộ sách):
Đã có app VietJack trên điện thoại, giải bài tập SGK, SBT Soạn văn, Văn mẫu, Thi online, Bài giảng....miễn phí. Tải ngay ứng dụng trên Android và iOS.
Theo dõi chúng tôi miễn phí trên mạng xã hội facebook và youtube:Nếu thấy hay, hãy động viên và chia sẻ nhé! Các bình luận không phù hợp với nội quy bình luận trang web sẽ bị cấm bình luận vĩnh viễn.
- Soạn văn 11 (hay nhất) - CTST
- Soạn văn 11 (ngắn nhất) - CTST
- Giải sgk Toán 11 - CTST
- Giải Tiếng Anh 11 Global Success
- Giải sgk Tiếng Anh 11 Smart World
- Giải sgk Tiếng Anh 11 Friends Global
- Giải sgk Vật Lí 11 - CTST
- Giải sgk Hóa học 11 - CTST
- Giải sgk Sinh học 11 - CTST
- Giải sgk Lịch Sử 11 - CTST
- Giải sgk Địa Lí 11 - CTST
- Giải sgk Giáo dục KTPL 11 - CTST
- Giải sgk Hoạt động trải nghiệm 11 - CTST
- Giải sgk Âm nhạc 11 - CTST


Giải bài tập SGK & SBT
Tài liệu giáo viên
Sách
Khóa học
Thi online
Hỏi đáp

