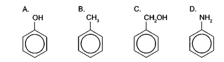
Phenol là hợp chất có chứa vòng benzene, công thức cấu tạo của phenol là
Sách bài tập Hóa học 11 Bài 17: Phenol - Chân trời sáng tạo
Bài 17.1 trang 82 Sách bài tập Hóa học 11: Phenol là hợp chất có chứa vòng benzene, công thức cấu tạo của phenol là
Lời giải:
Đáp án đúng là: A
Công thức cấu tạo của phenol là C6H5OH.
Lời giải SBT Hóa 11 Bài 17: Phenol hay khác:
Bài 17.3 trang 82 Sách bài tập Hóa học 11: Ở điều kiện thường, chất tồn tại ở thể rắn là....
Bài 17.7 trang 83 Sách bài tập Hóa học 11: Trường hợp nào sau đây không xảy ra phản ứng hóa học?...
Xem thêm các bài giải sách bài tập Hóa học lớp 11 Chân trời sáng tạo hay, chi tiết khác:
Xem thêm các tài liệu học tốt lớp 11 hay khác:
- Giải sgk Hóa học 11 Chân trời sáng tạo
- Giải Chuyên đề học tập Hóa 11 Chân trời sáng tạo
- Giải SBT Hóa học 11 Chân trời sáng tạo
- Giải lớp 11 Chân trời sáng tạo (các môn học)
- Giải lớp 11 Kết nối tri thức (các môn học)
- Giải lớp 11 Cánh diều (các môn học)
Tủ sách VIETJACK shopee lớp 10-11 (cả 3 bộ sách):
Đã có app VietJack trên điện thoại, giải bài tập SGK, SBT Soạn văn, Văn mẫu, Thi online, Bài giảng....miễn phí. Tải ngay ứng dụng trên Android và iOS.
Theo dõi chúng tôi miễn phí trên mạng xã hội facebook và youtube:Nếu thấy hay, hãy động viên và chia sẻ nhé! Các bình luận không phù hợp với nội quy bình luận trang web sẽ bị cấm bình luận vĩnh viễn.
- Soạn văn 11 (hay nhất) - CTST
- Soạn văn 11 (ngắn nhất) - CTST
- Giải sgk Toán 11 - CTST
- Giải Tiếng Anh 11 Global Success
- Giải sgk Tiếng Anh 11 Smart World
- Giải sgk Tiếng Anh 11 Friends Global
- Giải sgk Vật Lí 11 - CTST
- Giải sgk Hóa học 11 - CTST
- Giải sgk Sinh học 11 - CTST
- Giải sgk Lịch Sử 11 - CTST
- Giải sgk Địa Lí 11 - CTST
- Giải sgk Giáo dục KTPL 11 - CTST
- Giải sgk Hoạt động trải nghiệm 11 - CTST
- Giải sgk Âm nhạc 11 - CTST


Giải bài tập SGK & SBT
Tài liệu giáo viên
Sách
Khóa học
Thi online
Hỏi đáp

