Trong mặt phẳng tọa độ Oxy, cho tam giác ABC có A(- 2; 4), B(- 5; - 1), C(8; - 2)
Giải sách bài tập Toán 10 Bài 2: Biểu thức tọa độ của các phép toán vectơ
Bài 21 trang 67 SBT Toán 10 Tập 2: Trong mặt phẳng tọa độ Oxy, cho tam giác ABC có A(- 2; 4), B(- 5; - 1), C(8; - 2). Giải tam giác ABC (làm tròn các kết quả số đo góc đến hàng đơn vị).
Lời giải:
Ta có: = (-5+2;-1-4) = (-3;-5)
=(8+2;-2-4) = (10;-6)
=(8+5;-2+1) = (13;-1)
Suy ra: AB=||=
AC=||=
BC=||=
Ta có: .= (-3).10+(-5).(-6) = 0 suy ra vuông góc với hay .
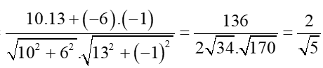
Ta có: cos(,)
= .
Suy ra .
Xem thêm các bài giải sách bài tập Toán lớp 10 Cánh diều hay, chi tiết khác:
Bài 12 trang 66 SBT Toán 10 Tập 2: Cho hai vectơ =(-1;3) và =(2;-5). Tọa độ của vectơ + là ....
Bài 13 trang 66 SBT Toán 10 Tập 2: Cho hai vectơ =(2;-3) và =(1;4). Tọa độ của vectơ là ....
Bài 17 trang 66 SBT Toán 10 Tập 2: Cho hai vectơ =(-4;-3) và =(-1;-7). Góc giữa hai vectơ và là ....
Bài 18 trang 67 SBT Toán 10 Tập 2: Côsin của góc giữa hai vectơ =(1;1) và =(-2;1) là ....
Xem thêm các tài liệu học tốt lớp 10 hay khác:
- Giải sgk Toán 10 Cánh diều
- Giải Chuyên đề học tập Toán 10 Cánh diều
- Giải SBT Toán 10 Cánh diều
- Giải lớp 10 Cánh diều (các môn học)
- Giải lớp 10 Kết nối tri thức (các môn học)
- Giải lớp 10 Chân trời sáng tạo (các môn học)
Tủ sách VIETJACK shopee lớp 10-11 (cả 3 bộ sách):
Đã có app VietJack trên điện thoại, giải bài tập SGK, SBT Soạn văn, Văn mẫu, Thi online, Bài giảng....miễn phí. Tải ngay ứng dụng trên Android và iOS.
Theo dõi chúng tôi miễn phí trên mạng xã hội facebook và youtube:Nếu thấy hay, hãy động viên và chia sẻ nhé! Các bình luận không phù hợp với nội quy bình luận trang web sẽ bị cấm bình luận vĩnh viễn.
- Soạn văn 10 (hay nhất) - Cánh diều
- Soạn văn 10 (ngắn nhất) - Cánh diều
- Soạn văn 10 (siêu ngắn) - Cánh diều
- Giải sgk Toán 10 - Cánh diều
- Giải Tiếng Anh 10 Global Success
- Giải Tiếng Anh 10 Friends Global
- Giải sgk Tiếng Anh 10 iLearn Smart World
- Giải sgk Tiếng Anh 10 Explore New Worlds
- Giải sgk Vật lí 10 - Cánh diều
- Giải sgk Hóa học 10 - Cánh diều
- Giải sgk Sinh học 10 - Cánh diều
- Giải sgk Địa lí 10 - Cánh diều
- Giải sgk Lịch sử 10 - Cánh diều
- Giải sgk Kinh tế và Pháp luật 10 - Cánh diều
- Giải sgk Tin học 10 - Cánh diều
- Giải sgk Công nghệ 10 - Cánh diều
- Giải sgk Hoạt động trải nghiệm 10 - Cánh diều
- Giải sgk Giáo dục quốc phòng 10 - Cánh diều


Giải bài tập SGK & SBT
Tài liệu giáo viên
Sách
Khóa học
Thi online
Hỏi đáp

