Cho x, y là các số thực dương và số thực a thỏa mãn
Giải sách bài tập Toán 11 Bài 1: Phép tính lũy thừa với số mũ thực
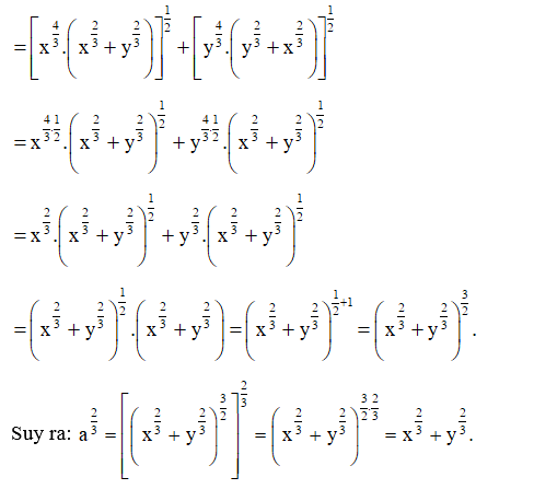
Bài 15 trang 35 SBT Toán 11 Tập 2: Cho x, y là các số thực dương và số thực a thỏa mãn: Chứng minh rằng:
Lời giải:
Với x, y > 0 ta có:
Lời giải SBT Toán 11 Bài 1: Phép tính lũy thừa với số mũ thực hay khác:
Bài 1 trang 33 SBT Toán 11 Tập 2: Điều kiện xác định của x–7 là: ....
Bài 2 trang 34 SBT Toán 11 Tập 2: Điều kiện xác định của là:....
Bài 3 trang 34 SBT Toán 11 Tập 2: Điều kiện xác định của là:....
Bài 4 trang 34 SBT Toán 11 Tập 2: Điều kiện xác định của là:....
Bài 5 trang 34 SBT Toán 11 Tập 2: Giá trị của biểu thức bằng:....
Bài 9 trang 34 SBT Toán 11 Tập 2: Biểu thức với x > 0 được rút gọn bằng:....
Bài 10 trang 34 SBT Toán 11 Tập 2: Biểu thức với a > 0 được rút gọn bằng:....
Bài 11 trang 34 SBT Toán 11 Tập 2: Viết các biểu thức sau về lũy thừa cơ số a, biết:....
Bài 12 trang 34 SBT Toán 11 Tập 2: Không sử dụng máy tính cầm tay, so sánh hai số a và b, biết:....
Bài 13 trang 35 SBT Toán 11 Tập 2: Xác định các giá trị của số thực a thỏa mãn:....
Bài 14 trang 35 SBT Toán 11 Tập 2: Cho a > 0, b > 0. Rút gọn mỗi biểu thức sau:....
Xem thêm lời giải Sách bài tập Toán 11 Cánh diều hay, chi tiết khác:
SBT Toán 11 Bài 4: Phương trình, bất phương trình mũ và lôgarit
SBT Toán 11 Bài 1: Định nghĩa đạo hàm. Ý nghĩa hình học của đạo hàm
Xem thêm các tài liệu học tốt lớp 11 hay khác:
- Giải sgk Toán 11 Cánh diều
- Giải Chuyên đề học tập Toán 11 Cánh diều
- Giải SBT Toán 11 Cánh diều
- Giải lớp 11 Cánh diều (các môn học)
- Giải lớp 11 Kết nối tri thức (các môn học)
- Giải lớp 11 Chân trời sáng tạo (các môn học)
Tủ sách VIETJACK shopee lớp 10-11 (cả 3 bộ sách):
Đã có app VietJack trên điện thoại, giải bài tập SGK, SBT Soạn văn, Văn mẫu, Thi online, Bài giảng....miễn phí. Tải ngay ứng dụng trên Android và iOS.
Theo dõi chúng tôi miễn phí trên mạng xã hội facebook và youtube:Nếu thấy hay, hãy động viên và chia sẻ nhé! Các bình luận không phù hợp với nội quy bình luận trang web sẽ bị cấm bình luận vĩnh viễn.
- Soạn văn 11 Cánh diều (hay nhất)
- Soạn văn 11 Cánh diều (ngắn nhất)
- Giải sgk Toán 11 - Cánh diều
- Giải Tiếng Anh 11 Global Success
- Giải sgk Tiếng Anh 11 Smart World
- Giải sgk Tiếng Anh 11 Friends Global
- Giải sgk Vật Lí 11 - Cánh diều
- Giải sgk Hóa học 11 - Cánh diều
- Giải sgk Sinh học 11 - Cánh diều
- Giải sgk Lịch Sử 11 - Cánh diều
- Giải sgk Địa Lí 11 - Cánh diều
- Giải sgk Giáo dục KTPL 11 - Cánh diều
- Giải sgk Tin học 11 - Cánh diều
- Giải sgk Công nghệ 11 - Cánh diều
- Giải sgk Hoạt động trải nghiệm 11 - Cánh diều
- Giải sgk Giáo dục quốc phòng 11 - Cánh diều
- Giải sgk Âm nhạc 11 - Cánh diều


Giải bài tập SGK & SBT
Tài liệu giáo viên
Sách
Khóa học
Thi online
Hỏi đáp

