Bài 90 trang 54 SBT Toán 11 Tập 2
Giải sách bài tập Toán 11 Bài tập cuối chương 6
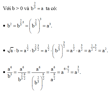
Bài 90 trang 54 SBT Toán 11 Tập 2: Cho b > 0 và Viết b2; theo luỹ thừa cơ số a
Lời giải:
Lời giải SBT Toán 11 Bài tập cuối chương 6 hay khác:
Bài 70 trang 52 SBT Toán 11 Tập 2: Nếu 2x = 3 thì 4x bằng:...
Bài 72 trang 52 SBT Toán 11 Tập 2: Rút gọn biểu thức với x ≥ 0 nhận được:....
Bài 73 trang 52 SBT Toán 11 Tập 2: Tập xác định của hàm số là:...
Bài 74 trang 52 SBT Toán 11 Tập 2: Tập xác định của hàm số log2(x – 1) là:....
Bài 75 trang 52 SBT Toán 11 Tập 2: Giá trị của log29 – log236 bằng:....
Bài 77 trang 52 SBT Toán 11 Tập 2: Nếu log2 = a thì log 4 000 bằng:....
Bài 78 trang 52 SBT Toán 11 Tập 2: Nếu log126 = a thì log26 bằng:....
Bài 79 trang 53 SBT Toán 11 Tập 2: Hàm số nào sau đây đồng biến trên tập xác định của nó?....
Bài 80 trang 53 SBT Toán 11 Tập 2: Nghiệm của phương trình 3x – 1 = 1 là:....
Bài 81 trang 53 SBT Toán 11 Tập 2: Nghiệm của phương trình là:....
Bài 82 trang 53 SBT Toán 11 Tập 2: Nghiệm của phương trình là:....
Bài 83 trang 53 SBT Toán 11 Tập 2: Nghiệm của phương trình là....
Bài 84 trang 53 SBT Toán 11 Tập 2: Tập nghiệm của bất phương trình là:....
Bài 85 trang 53 SBT Toán 11 Tập 2: Tập nghiệm của bất phương trình log2(3x – 1) < 3 là:....
Bài 89 trang 54 SBT Toán 11 Tập 2: Tìm tập xác định của các hàm số sau:a) ....
Bài 91 trang 54 SBT Toán 11 Tập 2: Cho a > 0, a ≠ 1, Tính:....
Bài 92 trang 54 SBT Toán 11 Tập 2: Giải mỗi phương trình sau:a) ....
Xem thêm lời giải Sách bài tập Toán 11 Cánh diều hay, chi tiết khác:
Xem thêm các tài liệu học tốt lớp 11 hay khác:
- Giải sgk Toán 11 Cánh diều
- Giải Chuyên đề học tập Toán 11 Cánh diều
- Giải SBT Toán 11 Cánh diều
- Giải lớp 11 Cánh diều (các môn học)
- Giải lớp 11 Kết nối tri thức (các môn học)
- Giải lớp 11 Chân trời sáng tạo (các môn học)
Tủ sách VIETJACK shopee lớp 10-11 (cả 3 bộ sách):
Đã có app VietJack trên điện thoại, giải bài tập SGK, SBT Soạn văn, Văn mẫu, Thi online, Bài giảng....miễn phí. Tải ngay ứng dụng trên Android và iOS.
Theo dõi chúng tôi miễn phí trên mạng xã hội facebook và youtube:Nếu thấy hay, hãy động viên và chia sẻ nhé! Các bình luận không phù hợp với nội quy bình luận trang web sẽ bị cấm bình luận vĩnh viễn.
- Soạn văn 11 Cánh diều (hay nhất)
- Soạn văn 11 Cánh diều (ngắn nhất)
- Giải sgk Toán 11 - Cánh diều
- Giải Tiếng Anh 11 Global Success
- Giải sgk Tiếng Anh 11 Smart World
- Giải sgk Tiếng Anh 11 Friends Global
- Giải sgk Vật Lí 11 - Cánh diều
- Giải sgk Hóa học 11 - Cánh diều
- Giải sgk Sinh học 11 - Cánh diều
- Giải sgk Lịch Sử 11 - Cánh diều
- Giải sgk Địa Lí 11 - Cánh diều
- Giải sgk Giáo dục KTPL 11 - Cánh diều
- Giải sgk Tin học 11 - Cánh diều
- Giải sgk Công nghệ 11 - Cánh diều
- Giải sgk Hoạt động trải nghiệm 11 - Cánh diều
- Giải sgk Giáo dục quốc phòng 11 - Cánh diều
- Giải sgk Âm nhạc 11 - Cánh diều


Giải bài tập SGK & SBT
Tài liệu giáo viên
Sách
Khóa học
Thi online
Hỏi đáp

