Trong không gian với hệ tọa độ Oxyz cho hình hộp ABCD.A'B'C'D' có A'(1; 0; 1)
Giải SBT Toán 12 Cánh diều Bài 2: Toạ độ của vectơ
Bài 15 trang 67 SBT Toán 12 Tập 1: Trong không gian với hệ tọa độ Oxyz, cho hình hộp ABCD.A'B'C'D' có A'(1; 0; 1), B'(2; 1; 2), D'(1; −1; 1); C(4; 5; −5).
|
a) Tọa độ của vectơ là (0; −1; 0). |
||
b) Gọi tọa độ của điểm B là (xB; yB; zB), ta có tọa độ của vectơ là (xB – 4; yB – 5; zB + 5). |
||
c) Trong hình hộp ABCD.A'B'C'D', ta có: |
||
d) Tọa độ điểm B là (4; 4; −5). |
Lời giải:
|
a) Đ |
b) S |
c) Đ |
d) S |
Ta có: = (1 – 1; −1 – 0; 1 – 1) = (0; −1; 0).
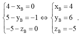
Có B(xB; yB; zB), C(4; 5; −5) nên = (4 − xB; 5 − yB; −5 − zB).
Trong hình hộp ABCD.A'B'C'D', ta có:
(hai vectơ cùng hướng và BC = A'D').
Có với = (4 − xB; 5 − yB; −5 − zB); = (0; −1; 0) ta được:
Vậy tọa độ điểm B là (4; 6; −5).
Lời giải SBT Toán 12 Bài 2: Toạ độ của vectơ hay khác:
Xem thêm các bài giải sách bài tập Toán lớp 12 Cánh diều hay, chi tiết khác:
SBT Toán 12 Bài 1: Khoảng biến thiên, khoảng tứ phân vị của mẫu số liệu ghép nhóm
SBT Toán 12 Bài 2: Phương sai, độ lệch chuẩn của mẫu số liệu ghép nhóm
Xem thêm các tài liệu học tốt lớp 12 hay khác:
- Giải sgk Toán 12 Cánh diều
- Giải Chuyên đề học tập Toán 12 Cánh diều
- Giải SBT Toán 12 Cánh diều
- Giải lớp 12 Cánh diều (các môn học)
- Giải lớp 12 Kết nối tri thức (các môn học)
- Giải lớp 12 Chân trời sáng tạo (các môn học)
Đã có app VietJack trên điện thoại, giải bài tập SGK, SBT Soạn văn, Văn mẫu, Thi online, Bài giảng....miễn phí. Tải ngay ứng dụng trên Android và iOS.
Theo dõi chúng tôi miễn phí trên mạng xã hội facebook và youtube:Nếu thấy hay, hãy động viên và chia sẻ nhé! Các bình luận không phù hợp với nội quy bình luận trang web sẽ bị cấm bình luận vĩnh viễn.
- Soạn văn 12 Cánh diều (hay nhất)
- Soạn văn 12 Cánh diều (ngắn nhất)
- Giải sgk Toán 12 Cánh diều
- Giải Tiếng Anh 12 Global Success
- Giải sgk Tiếng Anh 12 Smart World
- Giải sgk Tiếng Anh 12 Friends Global
- Giải sgk Vật Lí 12 - Cánh diều
- Giải sgk Hóa học 12 - Cánh diều
- Giải sgk Sinh học 12 - Cánh diều
- Giải sgk Lịch Sử 12 - Cánh diều
- Giải sgk Địa Lí 12 - Cánh diều
- Giải sgk Giáo dục KTPL 12 - Cánh diều
- Giải sgk Tin học 12 - Cánh diều
- Giải sgk Công nghệ 12 - Cánh diều
- Giải sgk Hoạt động trải nghiệm 12 - Cánh diều
- Giải sgk Giáo dục quốc phòng 12 - Cánh diều
- Giải sgk Âm nhạc 12 - Cánh diều


Giải bài tập SGK & SBT
Tài liệu giáo viên
Sách
Khóa học
Thi online
Hỏi đáp

