Tính tích và viết kết quả ở dạng phân số tối giản
Giải sách bài tập Toán lớp 6 Bài 4. Phép nhân, phép chia phân số
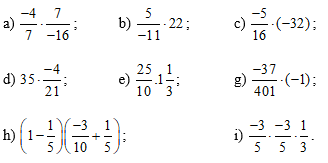
Bài 38 trang 40 sách bài tập Toán lớp 6 Tập 2: Tính tích và viết kết quả ở dạng phân số tối giản:
Lời giải:
a) ;
b) ;
c) ;
d) ;
e) ;
g) ;
h)
;
i) .
Xem thêm các bài giải sách bài tập Toán lớp 6 Cánh diều hay, chi tiết khác:
Bài 39 trang 40 sách bài tập Toán lớp 6 Tập 2: Thực hiện các phép tính sau ....
Bài 40 trang 40 sách bài tập Toán lớp 6 Tập 2: Tính một cách hợp lí ....
Bài 41 trang 40 sách bài tập Toán lớp 6 Tập 2: Tìm số nguyên thích hợp cho ô vuông ....
Bài 45 trang 41 sách bài tập Toán lớp 6 Tập 2: So sánh: A = ....
Bài 46 trang 41 sách bài tập Toán lớp 6 Tập 2: Tìm các tích sau ....
Bài 49 trang 42 sách bài tập Toán lớp 6 Tập 2: Tìm x, biết ....
Bài 50 trang 42 sách bài tập Toán lớp 6 Tập 2: Tính: a) ; ....
Xem thêm các tài liệu học tốt lớp 6 hay khác:
- Giải sgk Toán 6 Cánh diều
- Giải SBT Toán 6 Cánh diều
- Giải lớp 6 Cánh diều (các môn học)
- Giải lớp 6 Kết nối tri thức (các môn học)
- Giải lớp 6 Chân trời sáng tạo (các môn học)
Tủ sách VIETJACK shopee lớp 6-8 (2025):
Đã có app VietJack trên điện thoại, giải bài tập SGK, SBT Soạn văn, Văn mẫu, Thi online, Bài giảng....miễn phí. Tải ngay ứng dụng trên Android và iOS.
Theo dõi chúng tôi miễn phí trên mạng xã hội facebook và youtube:Loạt bài Giải sách bài tập Toán lớp 6 Tập 1, Tập 2 hay nhất, chi tiết của chúng tôi được biên soạn bám sát SBT Toán 6 bộ sách Cánh diều (NXB Đại học Sư phạm).
Nếu thấy hay, hãy động viên và chia sẻ nhé! Các bình luận không phù hợp với nội quy bình luận trang web sẽ bị cấm bình luận vĩnh viễn.
- Soạn Văn 6 Cánh diều (hay nhất)
- Soạn Văn 6 Cánh diều (ngắn nhất)
- Giải sgk Toán 6 - Cánh diều
- Giải sgk Tiếng Anh 6 Global Success
- Giải sgk Tiếng Anh 6 Friends plus
- Giải sgk Tiếng Anh 6 Smart World
- Giải sgk Tiếng Anh 6 Explore English
- Giải sgk Khoa học tự nhiên 6 - Cánh diều
- Giải sgk Lịch Sử 6 - Cánh diều
- Giải sgk Địa Lí 6 - Cánh diều
- Giải sgk Giáo dục công dân 6 - Cánh diều
- Giải sgk Hoạt động trải nghiệm 6 - Cánh diều
- Giải sgk Tin học 6 - Cánh diều
- Giải sgk Công nghệ 6 - Cánh diều
- Giải sgk Âm nhạc 6 - Cánh diều


Giải bài tập SGK & SBT
Tài liệu giáo viên
Sách
Khóa học
Thi online
Hỏi đáp

