Quy đồng mẫu số các phân số sau
Giải sách bài tập Toán lớp 6 Bài 2: Tính chất cơ bản của phân số
Bài 1 trang 11 sách bài tập Toán lớp 6 Tập 2: Quy đồng mẫu số các phân số sau:

Lời giải:
a) 
Ta có MSC = BCNN (12, 18) = 36.
Ta quy đồng như sau:

b) 
Ta có MSC = BCNN(15, 20) = 36.
Ta quy đồng như sau:

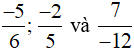
c) 
Ta có MSC = BCNN(6, 5, 12) = 60.
Ta quy đồng như sau:

Xem thêm các bài giải sách bài tập Toán lớp 6 sách Chân trời sáng tạo hay, chi tiết khác:
Bài 2 trang 12 sách bài tập Toán lớp 6 Tập 2: Viết các số sau thành các phân số có cùng mẫu số....
Bài 3 trang 12 sách bài tập Toán lớp 6 Tập 2: Rút gọn các phân số sau ....
Bài 4 trang 12 sách bài tập Toán lớp 6 Tập 2: Hình vẽ sau minh hoạ tính chất nào của phân số ....
Bài 5 trang 12 sách bài tập Toán lớp 6 Tập 2: Nêu hai cách giải thích các phân số sau bằng nhau ....
Xem thêm các tài liệu học tốt lớp 6 hay khác:
- Giải sgk Toán 6 Chân trời sáng tạo
- Giải SBT Toán 6 Chân trời sáng tạo
- Giải lớp 6 Chân trời sáng tạo (các môn học)
- Giải lớp 6 Kết nối tri thức (các môn học)
- Giải lớp 6 Cánh diều (các môn học)
Tủ sách VIETJACK shopee lớp 6-8 (2025):
Đã có app VietJack trên điện thoại, giải bài tập SGK, SBT Soạn văn, Văn mẫu, Thi online, Bài giảng....miễn phí. Tải ngay ứng dụng trên Android và iOS.
Theo dõi chúng tôi miễn phí trên mạng xã hội facebook và youtube:Loạt bài Giải sách bài tập Toán lớp 6 Tập 1, Tập 2 hay nhất, chi tiết của chúng tôi được biên soạn bám sát SBT Toán 6 bộ sách Chân trời sáng tạo (NXB Giáo dục).
Nếu thấy hay, hãy động viên và chia sẻ nhé! Các bình luận không phù hợp với nội quy bình luận trang web sẽ bị cấm bình luận vĩnh viễn.
- Soạn Văn 6 (hay nhất) - CTST
- Soạn Văn 6 (ngắn nhất) - CTST
- Giải sgk Toán 6 - CTST
- Giải sgk Tiếng Anh 6 Global Success
- Giải sgk Tiếng Anh 6 Friends plus
- Giải sgk Tiếng Anh 6 Smart World
- Giải sgk Tiếng Anh 6 Explore English
- Giải sgk Khoa học tự nhiên 6 - CTST
- Giải sgk Lịch Sử 6 - CTST
- Giải sgk Địa Lí 6 - CTST
- Giải sgk Giáo dục công dân 6 - CTST
- Giải sgk Công nghệ 6 - CTST
- Giải sgk Hoạt động trải nghiệm 6 - CTST
- Giải sgk Âm nhạc 6 - CTST


Giải bài tập SGK & SBT
Tài liệu giáo viên
Sách
Khóa học
Thi online
Hỏi đáp

