Tìm một số biết 2/-7 của số đó là
Giải sách bài tập Toán lớp 6 Bài 6: Giá trị của một phân số
Bài 2 trang 28 sách bài tập Toán lớp 6 Tập 2: Tìm một số, biết 2/-7 của số đó là
a) 42;
b) −40;

Lời giải:
Muốn tìm một số khi biết giá trị phân số
của nó là b, ta tính: b :
.
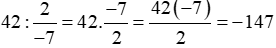
a) Giá trị phân số
của nó là 42 thì số đó là:
;
b) Giá trị phân số
của nó là −40 thì số đó là:
;
c) Giá trị phân số
của nó là
thì số đó là:
;
d) Giá trị phân số
của nó là
thì số đó là:
.
Xem thêm các bài giải sách bài tập Toán lớp 6 sách Chân trời sáng tạo hay, chi tiết khác:
Bài 1 trang 28 sách bài tập Toán lớp 6 Tập 2: Tính giá trị ....
Bài 3 trang 28 sách bài tập Toán lớp 6 Tập 2: Dế Mèn phiêu lưu ký ....
Bài 4 trang 28 sách bài tập Toán lớp 6 Tập 2: Tuổi con là 12 ....
Bài 5 trang 29 sách bài tập Toán lớp 6 Tập 2: Một túi kẹo có 35 chiếc ....
Bài 6 trang 29 sách bài tập Toán lớp 6 Tập 2: Trong một buổi tự học khoảng 80 phút ở nhà ....
Bài 7 trang 29 sách bài tập Toán lớp 6 Tập 2: Một người đăng kí mua một căn hộ ....
Bài 8 trang 29 sách bài tập Toán lớp 6 Tập 2: Một người góp vốn ....
Xem thêm các tài liệu học tốt lớp 6 hay khác:
- Giải sgk Toán 6 Chân trời sáng tạo
- Giải SBT Toán 6 Chân trời sáng tạo
- Giải lớp 6 Chân trời sáng tạo (các môn học)
- Giải lớp 6 Kết nối tri thức (các môn học)
- Giải lớp 6 Cánh diều (các môn học)
Tủ sách VIETJACK shopee lớp 6-8 (2025):
Đã có app VietJack trên điện thoại, giải bài tập SGK, SBT Soạn văn, Văn mẫu, Thi online, Bài giảng....miễn phí. Tải ngay ứng dụng trên Android và iOS.
Theo dõi chúng tôi miễn phí trên mạng xã hội facebook và youtube:Loạt bài Giải sách bài tập Toán lớp 6 Tập 1, Tập 2 hay nhất, chi tiết của chúng tôi được biên soạn bám sát SBT Toán 6 bộ sách Chân trời sáng tạo (NXB Giáo dục).
Nếu thấy hay, hãy động viên và chia sẻ nhé! Các bình luận không phù hợp với nội quy bình luận trang web sẽ bị cấm bình luận vĩnh viễn.
- Soạn Văn 6 (hay nhất) - CTST
- Soạn Văn 6 (ngắn nhất) - CTST
- Giải sgk Toán 6 - CTST
- Giải sgk Tiếng Anh 6 Global Success
- Giải sgk Tiếng Anh 6 Friends plus
- Giải sgk Tiếng Anh 6 Smart World
- Giải sgk Tiếng Anh 6 Explore English
- Giải sgk Khoa học tự nhiên 6 - CTST
- Giải sgk Lịch Sử 6 - CTST
- Giải sgk Địa Lí 6 - CTST
- Giải sgk Giáo dục công dân 6 - CTST
- Giải sgk Công nghệ 6 - CTST
- Giải sgk Hoạt động trải nghiệm 6 - CTST
- Giải sgk Âm nhạc 6 - CTST


Giải bài tập SGK & SBT
Tài liệu giáo viên
Sách
Khóa học
Thi online
Hỏi đáp

