Viết các phân số sau dưới dạng số thập phân
Giải sách bài tập Toán lớp 6 Bài 28. Số thập phân
Bài 7.1 trang 24 sách bài tập Toán lớp 6 Tập 2:
Lời giải:
a) Viết các phân số sau dưới dạng số thập phân.

b) Tìm số đối của các số thập phân đã viết được ở câu a.
Lời giải:
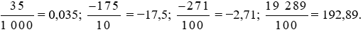
a) Cách đổi các phân số thập phân sang số thập phân thì ta quy về bài toán chia một số cho 10; 100; 1 000 (kết quả để dưới dạng số thập phân).
Quy tắc: Muốn chia một số cho 10; 100; 1 000 ta chỉ việc chuyển dấu phẩy của số đó lần lượt sang bên trái một, hai, ba, … chữ số.
Đổi lần lượt các phân số thập phân trên ra số thập phân, ta được:

b) Cách tìm số đối của một số thập phân: ta thêm dấu trừ vào trước số thập phân đó.
Số đối của 0,035 là –0,035;
Số đối của –17,5 là –(–17,5) = 17,5;
Số đối của –2,71 là –(–2,71) = 2,71;
Số đối của 192,89 là –192,89.
Xem thêm các bài giải sách bài tập Toán lớp 6 Kết nối tri thức với cuộc sống hay, chi tiết khác:
Bài 7.4 trang 25 sách bài tập Toán lớp 6 Tập 2: Tìm số nguyên x, biết 254,12 < x < 259,7.....
Bài 7.8 trang 25 sách bài tập Toán lớp 6 Tập 2: Tìm tất cả các cặp chữ số (a; b) biết rằng ....
Xem thêm các tài liệu học tốt lớp 6 hay khác:
- Giải sgk Toán 6 Kết nối tri thức
- Giải SBT Toán 6 Kết nối tri thức
- Giải lớp 6 Kết nối tri thức (các môn học)
- Giải lớp 6 Chân trời sáng tạo (các môn học)
- Giải lớp 6 Cánh diều (các môn học)
Tủ sách VIETJACK shopee lớp 6-8 (2025):
Đã có app VietJack trên điện thoại, giải bài tập SGK, SBT Soạn văn, Văn mẫu, Thi online, Bài giảng....miễn phí. Tải ngay ứng dụng trên Android và iOS.
Theo dõi chúng tôi miễn phí trên mạng xã hội facebook và youtube:Loạt bài Giải sách bài tập Toán lớp 6 Tập 1, Tập 2 hay nhất, chi tiết của chúng tôi được biên soạn bám sát SBT Toán 6 bộ sách Kết nối tri thức với cuộc sống (NXB Giáo dục).
Nếu thấy hay, hãy động viên và chia sẻ nhé! Các bình luận không phù hợp với nội quy bình luận trang web sẽ bị cấm bình luận vĩnh viễn.
- Soạn Văn 6 (hay nhất) - KNTT
- Soạn Văn 6 (ngắn nhất) - KNTT
- Giải sgk Toán 6 - KNTT
- Giải sgk Tiếng Anh 6 Global Success
- Giải sgk Tiếng Anh 6 Friends plus
- Giải sgk Tiếng Anh 6 Smart World
- Giải sgk Tiếng Anh 6 Explore English
- Giải sgk Khoa học tự nhiên 6 - KNTT
- Giải sgk Lịch Sử 6 - KNTT
- Giải sgk Địa Lí 6 - KNTT
- Giải sgk Giáo dục công dân 6 - KNTT
- Giải sgk Hoạt động trải nghiệm 6 - KNTT
- Giải sgk Tin học 6 - KNTT
- Giải sgk Công nghệ 6 - KNTT
- Giải sgk Âm nhạc 6 - KNTT


Giải bài tập SGK & SBT
Tài liệu giáo viên
Sách
Khóa học
Thi online
Hỏi đáp

