Áp dụng quy tắc về căn bậc hai của một tích, hãy tính
Giải SBT Toán 9 Bài 2: Một số phép tính về căn bậc hai của số thực - Cánh diều
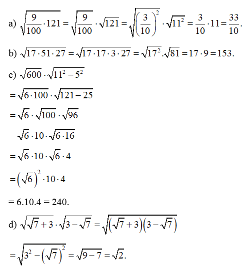
Bài 12 trang 57 SBT Toán 9 Tập 1: Áp dụng quy tắc về căn bậc hai của một tích, hãy tính:
Lời giải:
Lời giải SBT Toán 9 Bài 2: Một số phép tính về căn bậc hai của số thực hay khác:
Bài 13 trang 57 SBT Toán 9 Tập 1: Áp dụng quy tắc về căn bậc hai của một thương, hãy tính: a) ....
Bài 14 trang 57 SBT Toán 9 Tập 1: Rút gọn biểu thức: a) ....
Bài 16 trang 58 SBT Toán 9 Tập 1: Sắp xếp theo thứ tự tăng dần....
Bài 17 trang 58 SBT Toán 9 Tập 1: Cho các biểu thức: Chứng minh: A = 6; B = –2.....
Xem thêm các bài giải sách bài tập Toán lớp 9 Cánh diều hay, chi tiết khác:
SBT Toán 9 Bài 3: Căn thức bậc hai và căn thức bậc ba của biểu thức đại số
SBT Toán 9 Bài 4: Một số phép biến đổi căn thức bậc hai của biểu thức đại số
SBT Toán 9 Bài 2: Một số hệ thức về cạnh và góc trong tam giác vuông
Xem thêm các tài liệu học tốt lớp 9 hay khác:
- Giải sgk Toán 9 Cánh diều
- Giải SBT Toán 9 Cánh diều
- Giải lớp 9 Cánh diều (các môn học)
- Giải lớp 9 Kết nối tri thức (các môn học)
- Giải lớp 9 Chân trời sáng tạo (các môn học)
Tủ sách VIETJACK luyện thi vào 10 cho 2k11 (2026):
Đã có app VietJack trên điện thoại, giải bài tập SGK, SBT Soạn văn, Văn mẫu, Thi online, Bài giảng....miễn phí. Tải ngay ứng dụng trên Android và iOS.
Theo dõi chúng tôi miễn phí trên mạng xã hội facebook và youtube:Loạt bài Giải SBT Toán 9 Cánh diều của chúng tôi được biên soạn bám sát nội dung sgk Toán 9 Tập 1 & Tập 2 (NXB Đại học Sư phạm).
Nếu thấy hay, hãy động viên và chia sẻ nhé! Các bình luận không phù hợp với nội quy bình luận trang web sẽ bị cấm bình luận vĩnh viễn.
- Soạn văn 9 Cánh diều (hay nhất)
- Soạn văn 9 Cánh diều (ngắn nhất)
- Giải sgk Toán 9 - Cánh diều
- Giải Tiếng Anh 9 Global Success
- Giải sgk Tiếng Anh 9 Smart World
- Giải sgk Tiếng Anh 9 Friends plus
- Giải sgk Khoa học tự nhiên 9 - Cánh diều
- Giải sgk Lịch Sử 9 - Cánh diều
- Giải sgk Địa Lí 9 - Cánh diều
- Giải sgk Giáo dục công dân 9 - Cánh diều
- Giải sgk Tin học 9 - Cánh diều
- Giải sgk Công nghệ 9 - Cánh diều
- Giải sgk Hoạt động trải nghiệm 9 - Cánh diều
- Giải sgk Âm nhạc 9 - Cánh diều
- Giải sgk Mĩ thuật 9 - Cánh diều


Giải bài tập SGK & SBT
Tài liệu giáo viên
Sách
Khóa học
Thi online
Hỏi đáp

