Một chất điểm có khối lượng 100g dao động điều hoà
Sách bài tập Vật Lí 11 Bài 5: Động năng. Thế năng. Sự chuyển hoá năng lượng trong dao động điều hoà - Kết nối tri thức
Câu 5.8 trang 10 Sách bài tập Vật Lí 11: Một chất điểm có khối lượng 100 g dao động điều hoà trên quỹ đạo là đoạn thẳng MN (dài hơn 8 cm). Tại điểm P cách M một khoảng 4 cm và tại điểm Q cách N một khoảng 2 cm, chất điểm có động năng tương ứng là 32.10-3J và 18.10-3J. Tính tốc độ trung bình khi vật đi từ P đến Q.
Lời giải:
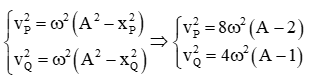
Tốc độ tại P: ; tại Q: .
Do nên li độ ||<|xQ|:
Giải hệ ta được: A = 10 cm và = 10 rad/s.
Quãng đường PQ = OP + OQ = (A-4) + (A-2) = 14 cm.
Thời gian vật đi từ P đến Q là với: .
, với
Tốc độ trung bình khi vật đi từ P đến Q: .
Lời giải SBT Vật Lí 11 Bài 5: Động năng. Thế năng. Sự chuyển hoá năng lượng trong dao động điều hoà hay khác:
Xem thêm các bài giải sách bài tập Vật Lí lớp 11 Kết nối tri thức hay, chi tiết khác:
SBT Vật Lí 11 Bài 6: Dao động tắt dần. Dao động cưỡng bức. Hiện tượng cộng hưởng
SBT Vật Lí 11 Bài 9: Sóng ngang. Sóng dọc. Sự truyền năng lượng của sóng cơ
Xem thêm các tài liệu học tốt lớp 11 hay khác:
- Giải sgk Vật Lí 11 Kết nối tri thức
- Giải Chuyên đề Vật Lí 11 Kết nối tri thức
- Giải SBT Vật Lí 11 Kết nối tri thức
- Giải lớp 11 Kết nối tri thức (các môn học)
- Giải lớp 11 Chân trời sáng tạo (các môn học)
- Giải lớp 11 Cánh diều (các môn học)
Tủ sách VIETJACK shopee lớp 10-11 (cả 3 bộ sách):
Đã có app VietJack trên điện thoại, giải bài tập SGK, SBT Soạn văn, Văn mẫu, Thi online, Bài giảng....miễn phí. Tải ngay ứng dụng trên Android và iOS.
Theo dõi chúng tôi miễn phí trên mạng xã hội facebook và youtube:Nếu thấy hay, hãy động viên và chia sẻ nhé! Các bình luận không phù hợp với nội quy bình luận trang web sẽ bị cấm bình luận vĩnh viễn.
- Soạn văn 11 (hay nhất) - KNTT
- Soạn văn 11 (ngắn nhất) - KNTT
- Giải sgk Toán 11 - KNTT
- Giải Tiếng Anh 11 Global Success
- Giải sgk Tiếng Anh 11 Smart World
- Giải sgk Tiếng Anh 11 Friends Global
- Giải sgk Vật Lí 11 - KNTT
- Giải sgk Hóa học 11 - KNTT
- Giải sgk Sinh học 11 - KNTT
- Giải sgk Lịch Sử 11 - KNTT
- Giải sgk Địa Lí 11 - KNTT
- Giải sgk Giáo dục KTPL 11 - KNTT
- Giải sgk Tin học 11 - KNTT
- Giải sgk Công nghệ 11 - KNTT
- Giải sgk Hoạt động trải nghiệm 11 - KNTT
- Giải sgk Giáo dục quốc phòng 11 - KNTT
- Giải sgk Âm nhạc 11 - KNTT


Giải bài tập SGK & SBT
Tài liệu giáo viên
Sách
Khóa học
Thi online
Hỏi đáp

