59 bài tập Tiếp tuyến của đồ thị hàm số siêu hay (ôn thi Tốt nghiệp)
59 bài tập Tiếp tuyến của đồ thị hàm số siêu hay
Tài liệu 59 bài tập Tiếp tuyến của đồ thị hàm số siêu hay có lời giải chi tiết giúp học sinh củng cố kiến thức, ôn luyện để chuẩn bị tốt cho kì thi THPT Quốc gia môn Toán năm 2021.
Câu 1: Phương trình tiếp tuyến của đồ thị hàm số y = x3 - 3x2 + 1 tại điểm A(3;1) là
A. y = =9x - 26. B. y = 9x -26.
C. y = -9x -3. D. y = 9x - 2.
Lời giải:
Tính y' = 3x2 - 6x ⇒ y' (3) = 9 ⇒ phương trình tiếp tuyến là y = 9x - 26.
Chọn đáp án: B.
Câu 2: Phương trình tiếp tuyến của đồ thị hàm số y = x4 - 4x2 +1 tại điểm B(1;-2) là
A. y = 4x +6. B. y = 4x + 2.
C. y = -4x + 6. D. y = -4x + 2.
Lời giải:
Tính y' = 4x3 - 8x ⇒ y'(1) = -4 ⇒ phương trình tiếp tuyến là y = -4x +2.
Chọn đáp án: D
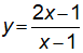
Câu 3: Phương trình tiếp tuyến của đồ thị hàm số
tại điểm C(-2;3) là
A. y = 2x + 1. B. y = -2x + 7.
C. y = 2x + 7. D. y = -2x - 1.
Lời giải:
Tính
phương trình tiếp tuyến là y = 2x + 7.
Chọn đáp án: C
Câu 4: Tiếp tuyến của đồ thị hàm số y = -x3 +3x - 2 tại điểm D có hoành độ bằng 2 có phương trình là
A. y = -9x +14. B. y = 9x +14.
C. y = -9x + 22. D. y = 9x + 22.
Lời giải:
Tính yo = y(2) = -4 và y' = -3x2 + 3 ⇒ y'(2) = -9. Vậy phương trình tiếp tuyến là y = -9x + 14.
Chọn đáp án: A
Câu 5: Tiếp tuyến của đồ thị hàm số y = -x4 + 8x2 tại điểm E có hoành độ bằng –3 có phương trình là
A. y = 60x +171. B. y = -60x + 171.
C. y = 60x + 189 D. y = -60x +189.
Lời giải:
Tính yo = y(-3) = -9 và y' = -4x3 +16x ⇒ y'(-3) = 60. Vậy phương trình tiếp tuyến là y = 60x = 171.
Chọn đáp án: A
Câu 6: Tiếp tuyến của đồ thị hàm số
tại điểm F có hoành độ bằng 2 có phương trình là
A. y = -x +5. B. y = x + 5.
C. y = -x - 1. D. y = x - 1.
Lời giải:
Tính yo = y(2) = 3 và
. Vậy phương trình tiếp tuyến là y = -x + 5.
Chọn đáp án: A
Câu 7: Tiếp tuyến của đồ thị hàm số y = 2x3 + 3x2 tại điểm G có tung độ bằng 5 có phương trình là
A. y = 12x - 7. B. y = -12x - 7.
C. y = 12x +17. D. y = -12x + 17.
Lời giải:
Giải phương trình
, và y' = 6x2 + 6x ⇒ y'(1) = 12. Vậy phương trình tiếp tuyến là y = 12x - 7.
Chọn đáp án: A
ĐÁP ÁN
1 |
2 |
3 |
4 |
5 |
6 |
7 |
8 |
9 |
10 |
11 |
12 |
13 |
14 |
15 |
16 |
17 |
18 |
19 |
20 |
B |
D |
C |
A |
A |
A |
A |
B |
C |
D |
B |
D |
B |
A |
C |
C |
C |
D |
D |
B |
21 |
22 |
23 |
24 |
25 |
26 |
27 |
28 |
29 |
30 |
31 |
32 |
33 |
34 |
35 |
36 |
37 |
38 |
39 |
40 |
D |
D |
C |
C |
A |
B |
D |
B |
B |
D |
B |
A |
B |
A |
D |
C |
B |
A |
C |
C |
41 |
42 |
43 |
44 |
45 |
46 |
47 |
48 |
49 |
50 |
51 |
52 |
53 |
54 |
55 |
56 |
57 |
58 |
59 |
|
B |
C |
B |
D |
B |
C |
A |
B |
C |
C |
A |
A |
A |
D |
C |
D |
D |
D |
A |
...................................................
...................................................
Để xem tài liệu đầy đủ, có đáp án chi tiết, bạn có thể tải xuống tài liệu ở đường dẫn bên dưới.
Xem thêm bộ tài liệu Toán lớp 12 ôn thi THPT Quốc gia chọn lọc, hay khác:
- 60 câu trắc nghiệm Đồ thị hàm số có đáp án
- 63 bài tập trắc nghiệm về Thể tích có đáp án
- 64 câu trắc nghiệm Thể tích khối đa diện có đáp án
- 66 bài tập Phương trình mặt phẳng thường gặp trong đề thi Đại học
- 75 câu trắc nghiệm Tọa độ trong không gian nắm chắc 8 điểm
Đã có app VietJack trên điện thoại, giải bài tập SGK, SBT Soạn văn, Văn mẫu, Thi online, Bài giảng....miễn phí. Tải ngay ứng dụng trên Android và iOS.
Theo dõi chúng tôi miễn phí trên mạng xã hội facebook và youtube:Nếu thấy hay, hãy động viên và chia sẻ nhé! Các bình luận không phù hợp với nội quy bình luận trang web sẽ bị cấm bình luận vĩnh viễn.
- Đề thi lớp 1 (các môn học)
- Đề thi lớp 2 (các môn học)
- Đề thi lớp 3 (các môn học)
- Đề thi lớp 4 (các môn học)
- Đề thi lớp 5 (các môn học)
- Đề thi lớp 6 (các môn học)
- Đề thi lớp 7 (các môn học)
- Đề thi lớp 8 (các môn học)
- Đề thi lớp 9 (các môn học)
- Đề thi lớp 10 (các môn học)
- Đề thi lớp 11 (các môn học)
- Đề thi lớp 12 (các môn học)
- Giáo án lớp 1 (các môn học)
- Giáo án lớp 2 (các môn học)
- Giáo án lớp 3 (các môn học)
- Giáo án lớp 4 (các môn học)
- Giáo án lớp 5 (các môn học)
- Giáo án lớp 6 (các môn học)
- Giáo án lớp 7 (các môn học)
- Giáo án lớp 8 (các môn học)
- Giáo án lớp 9 (các môn học)
- Giáo án lớp 10 (các môn học)
- Giáo án lớp 11 (các môn học)
- Giáo án lớp 12 (các môn học)


Giải bài tập SGK & SBT
Tài liệu giáo viên
Sách
Khóa học
Thi online
Hỏi đáp

