10 Bài tập trắc nghiệm Ôn tập phân số lớp 5 (có lời giải)
Với 10 bài tập trắc nghiệm Ôn tập phân số Toán lớp 5 có đáp án và lời giải chi tiết chương trình sách mới sẽ giúp học sinh ôn luyện trắc nghiệm để biết cách làm các dạng bài tập Toán lớp 5.
10 Bài tập trắc nghiệm Ôn tập phân số lớp 5 (có lời giải)
Câu 1. Quan sát hình vẽ dưới đây
a) Điền số thích hợp vào ô trống
Phân số chỉ số phần đã tô màu trong hình vẽ là:
b) Em hãy chọn đáp án đúng nhất
Phân số trên được đọc là:
A. Năm phần mười hai
B. Bảy phần mười hai
C. Mười hai phần năm
D. Mười hai phần bảy
Câu 2. Quan sát hình vẽ dưới đây
a) Điền số thích hợp vào ô trống
Phân số chỉ số phần không tô màu trong hình vẽ là:
b) Em hãy chọn đáp án đúng nhất
Phân số trên được đọc là:
A. Bốn phần ba
B. Một phần ba
C. Ba phần bốn
D. Một phần bốn
Câu 3. Điền số thích hợp vào ô trống
Câu 4. Điền số thích hợp vào ô trống
a)
b)
c)
d)
Câu 5. Em hãy chọn đáp án đúng nhất
a) Phân số nào dưới đây là phân số tối giản?
A.
B.
C.
D.
b) Phân số bằng phân số nào dưới đây?
A.
B.
C.
D.
Câu 6. Em hãy chọn đáp án đúng nhất
a) Phân số nào dưới đây lớn hơn 1?
A.
B.
C.
D.
b) Phân số nào dưới đây bé hơn 1?
A.
B.
C.
D.
c) Phân số nào dưới đây bằng 1?
A.
B.
C.
D.
Câu 7. Em hãy chọn đáp án đúng nhất
Trong các phân số dưới đây, phân số nào bé hơn ?
A.
B.
C.
D.
Câu 8. Em hãy chọn đáp án đúng nhất
Trong các phân số sau, phân số nào lớn nhất?
A.
B.
C.
D.
Câu 9. Em hãy chọn đáp án đúng nhất
Số thích hợp điền vào ô trống là:
A. 5
B. 3
C. 7
D. 1
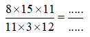
Câu 10. Điền số thích hợp vào ô trống
Điền phân số tối giản
Xem thêm bài tập trắc nghiệm Toán lớp 5 có đáp án hay khác:
Xem thêm các tài liệu học tốt lớp 5 hay khác:
- Giải sgk Toán lớp 5 Kết nối tri thức
- Giải Vở bài tập Toán lớp 5 Kết nối tri thức
- Giải lớp 5 Kết nối tri thức (các môn học)
- Giải lớp 5 Chân trời sáng tạo (các môn học)
- Giải lớp 5 Cánh diều (các môn học)
Tủ sách VIETJACK shopee lớp 1-5 (2025):
Đã có app VietJack trên điện thoại, giải bài tập SGK, SBT Soạn văn, Văn mẫu, Thi online, Bài giảng....miễn phí. Tải ngay ứng dụng trên Android và iOS.
Theo dõi chúng tôi miễn phí trên mạng xã hội facebook và youtube:Loạt bài Giải bài tập sgk Toán 5 của chúng tôi được biên soạn bám sát nội dung sgk Toán lớp 5 Kết nối tri thức (NXB Giáo dục).
Nếu thấy hay, hãy động viên và chia sẻ nhé! Các bình luận không phù hợp với nội quy bình luận trang web sẽ bị cấm bình luận vĩnh viễn.
- Giải sgk Tiếng Việt lớp 5 - KNTT
- Giải Vở bài tập Tiếng Việt lớp 5 - KNTT
- Giải sgk Toán lớp 5 - KNTT
- Giải Vở bài tập Toán lớp 5 - KNTT
- Giải Tiếng Anh lớp 5 Global Success
- Giải sgk Tiếng Anh lớp 5 Smart Start
- Giải sgk Tiếng Anh lớp 5 Family and Friends
- Giải sgk Đạo đức lớp 5 - KNTT
- Giải sgk Khoa học lớp 5 - KNTT
- Giải sgk Lịch Sử và Địa Lí lớp 5 - KNTT
- Giải sgk Hoạt động trải nghiệm lớp 5 - KNTT
- Giải sgk Tin học lớp 5 - KNTT
- Giải sgk Công nghệ lớp 5 - KNTT
- Giải sgk Âm nhạc lớp 5 - KNTT
- Giải sgk Mĩ thuật lớp 5 - KNTT


Giải bài tập SGK & SBT
Tài liệu giáo viên
Sách
Khóa học
Thi online
Hỏi đáp

