Bài 1.15 trang 15 Toán 7 Tập 1 - Kết nối tri thức
Giải Toán lớp 7 Luyện tập chung trang 14, 15
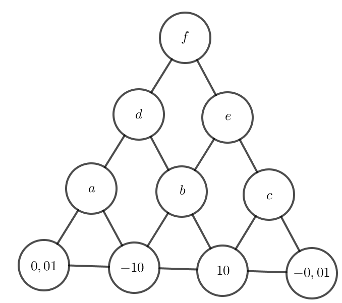
Bài 1.15 trang 15 Toán 7 Tập 1: Thay mỗi dấu “?” bằng số thích hợp để hoàn thiện sơ đồ Hình 1.11, biết số trong mỗi ô ở hàng trên bằng tích của hai số trong hai ô kề nó ở hàng dưới.
Lời giải:
Đặt các ô lần lượt là a, b, c, d, e, f như hình sau:
Áp dụng quy tắc của đề bài, ta tính được: a = 0,01.(–10) = –0,1;
b = (–10).10 = –100;
c = 10.( –0,01) = –0,1;
d = a.b = (–0,1).( –100) = 10;
e = b.c = (–100).( –0,1) = 10;
f = d.e = 10.10 = 100.
Khi đó ta có bảng sau:
Lời giải bài tập Toán 7 Luyện tập chung trang 14, 15 hay khác:
Xem thêm lời giải bài tập Toán lớp 7 Kết nối tri thức hay, chi tiết khác:
Xem thêm các tài liệu học tốt lớp 7 hay khác:
- Giải sgk Toán 7 Kết nối tri thức
- Giải SBT Toán 7 Kết nối tri thức
- Giải lớp 7 Kết nối tri thức (các môn học)
- Giải lớp 7 Chân trời sáng tạo (các môn học)
- Giải lớp 7 Cánh diều (các môn học)
Tủ sách VIETJACK shopee lớp 6-8 (2025):
Đã có app VietJack trên điện thoại, giải bài tập SGK, SBT Soạn văn, Văn mẫu, Thi online, Bài giảng....miễn phí. Tải ngay ứng dụng trên Android và iOS.
Theo dõi chúng tôi miễn phí trên mạng xã hội facebook và youtube:Loạt bài Giải bài tập Toán lớp 7 của chúng tôi được biên soạn bám sát sgk Toán 7 Tập 1 & Tập 2 bộ sách Kết nối tri thức với cuộc sống (NXB Giáo dục).
Nếu thấy hay, hãy động viên và chia sẻ nhé! Các bình luận không phù hợp với nội quy bình luận trang web sẽ bị cấm bình luận vĩnh viễn.
- Soạn văn 7 (hay nhất) - KNTT
- Soạn văn 7 (ngắn nhất) - KNTT
- Giải sgk Toán 7 - KNTT
- Giải Tiếng Anh 7 Global Success
- Giải Tiếng Anh 7 Friends plus
- Giải sgk Tiếng Anh 7 Smart World
- Giải Tiếng Anh 7 Explore English
- Giải sgk Khoa học tự nhiên 7 - KNTT
- Giải sgk Lịch Sử 7 - KNTT
- Giải sgk Địa Lí 7 - KNTT
- Giải sgk Giáo dục công dân 7 - KNTT
- Giải sgk Tin học 7 - KNTT
- Giải sgk Công nghệ 7 - KNTT
- Giải sgk Hoạt động trải nghiệm 7 - KNTT
- Giải sgk Âm nhạc 7 - KNTT


Giải bài tập SGK & SBT
Tài liệu giáo viên
Sách
Khóa học
Thi online
Hỏi đáp

