Bài 6 trang 56 Toán 9 Tập 1 Chân trời sáng tạo
Giải Toán 9 Bài 4: Biến đổi đơn giản biểu thức chứa căn thức bậc hai - Chân trời sáng tạo
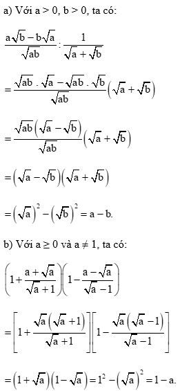
Bài 6 trang 56 Toán 9 Tập 1: Chứng minh rằng:
Lời giải:
Lời giải bài tập Toán 9 Bài 4: Biến đổi đơn giản biểu thức chứa căn thức bậc hai hay, chi tiết khác:
Khám phá 1 trang 52 Toán 9 Tập 1: Bốn ô vuông diện tích ghép thành cửa sổ như Hình 1. ....
Thực hành 1 trang 54 Toán 9 Tập 1: Trục căn thức ở mẫu các biểu thức sau:a) ....
Thực hành 2 trang 54 Toán 9 Tập 1: Khử mẫu của biểu thức lấy căn:a) ....
Thực hành 3 trang 55 Toán 9 Tập 1: Rút gọn các biểu thức:a) ....
Thực hành 4 trang 56 Toán 9 Tập 1: Rút gọn các biểu thức sau:a) ....
Vận dụng 2 trang 56 Toán 9 Tập 1: Trả lời câu hỏi trong Hoạt động khởi động (trang 52). ....
Bài 1 trang 56 Toán 9 Tập 1: Trục căn thức ở mẫu các biểu thức sau:a) ....
Bài 2 trang 56 Toán 9 Tập 1: Khử mẫu của biểu thức lấy căn:a) ....
Bài 3 trang 56 Toán 9 Tập 1: Trục căn thức ở mẫu các biểu thức sau:a) ....
Bài 4 trang 56 Toán 9 Tập 1: Rút gọn các biểu thức sau:a) ....
Xem thêm lời giải bài tập Toán lớp 9 Chân trời sáng tạo hay, chi tiết khác:
Xem thêm các tài liệu học tốt lớp 9 hay khác:
- Giải sgk Toán 9 Chân trời sáng tạo
- Giải SBT Toán 9 Chân trời sáng tạo
- Giải lớp 9 Chân trời sáng tạo (các môn học)
- Giải lớp 9 Kết nối tri thức (các môn học)
- Giải lớp 9 Cánh diều (các môn học)
Tủ sách VIETJACK luyện thi vào 10 cho 2k11 (2026):
Đã có app VietJack trên điện thoại, giải bài tập SGK, SBT Soạn văn, Văn mẫu, Thi online, Bài giảng....miễn phí. Tải ngay ứng dụng trên Android và iOS.
Theo dõi chúng tôi miễn phí trên mạng xã hội facebook và youtube:Loạt bài Giải sgk Toán 9 Tập 1 & Tập 2 của chúng tôi được biên soạn bám sát nội dung sgk Toán 9 Chân trời sáng tạo (NXB Giáo dục).
Nếu thấy hay, hãy động viên và chia sẻ nhé! Các bình luận không phù hợp với nội quy bình luận trang web sẽ bị cấm bình luận vĩnh viễn.
- Soạn văn 9 (hay nhất) - CTST
- Soạn văn 9 (ngắn nhất) - CTST
- Giải sgk Toán 9 - CTST
- Giải Tiếng Anh 9 Global Success
- Giải sgk Tiếng Anh 9 Smart World
- Giải sgk Tiếng Anh 9 Friends plus
- Giải sgk Khoa học tự nhiên 9 - CTST
- Giải sgk Lịch Sử 9 - CTST
- Giải sgk Địa Lí 9 - CTST
- Giải sgk Giáo dục công dân 9 - CTST
- Giải sgk Tin học 9 - CTST
- Giải sgk Công nghệ 9 - CTST
- Giải sgk Hoạt động trải nghiệm 9 - CTST
- Giải sgk Âm nhạc 9 - CTST
- Giải sgk Mĩ thuật 9 - CTST


Giải bài tập SGK & SBT
Tài liệu giáo viên
Sách
Khóa học
Thi online
Hỏi đáp

