Đề kiểm tra Toán 9 Chân trời sáng tạo Chương 3 (có lời giải)
Đề kiểm tra Toán 9 Chân trời sáng tạo Chương 3: Căn thức có đáp án chi tiết theo cấu trúc mới với bài tập đa dạng đầy đủ các mức độ sẽ giúp học sinh lớp 9 ôn luyện Toán 9.
Đề kiểm tra Toán 9 Chân trời sáng tạo Chương 3 (có lời giải)
Chỉ từ 250k mua trọn bộ Bài tập ôn tập + Đề kiểm tra Toán 9 Chân trời sáng tạo theo Chương theo cấu trúc mới bản word có lời giải chi tiết, trình bày đẹp mắt, dễ dàng chỉnh sửa:
- B1: gửi phí vào tk:
1133836868- CT TNHH DAU TU VA DV GD VIETJACK - Ngân hàng MB (QR) - B2: Nhắn tin tới Zalo VietJack Official - nhấn vào đây để thông báo và nhận đề thi
Phần 1. Trắc nghiệm nhiều phương án lựa chọn
Mỗi câu hỏi thí sinh chỉ chọn một phương án.
Câu 1. Căn bậc hai của 9 là
A. 3.
B. .
C. 3 và -3
D. -3
Câu 2. Khẳng định nào dưới đây là đúng?
A. Số âm không có căn bậc 3.
B. .
C. .
D. .
Câu 3. Cho và . Khẳng định nào sau đây là đúng?
A. M < N.
B. M + 2 = N.
C. M = N.
D. M > N.
Câu 4. Kết quả thu gọn của biểu thức là
A. .
B. 1.
C. 9.
D. 4.
Câu 5. Một cái thang dựa vào tường như hình bên dưới. Biết thang dài 2 m và tường cao 1,3 m. Khoảng cách từ chân thang tới góc tường là
A. 2,13 m
B. 1,98 m
C. 1,5 m
D. 1,3 m
Câu 6. Cho biểu thức . Các giá trị nguyên của x để P nhận giá trị nguyên dương là
A. x = 1; x = 36.
B. x = -1; x = 36.
C. x = 4; x = 6.
D. x = 16; x = 36.
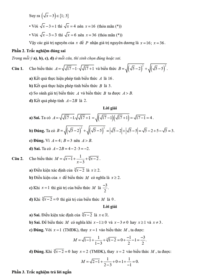
Phần 2. Trắc nghiệm đúng sai
Trong mỗi ý a), b), c), d) ở mỗi câu, thí sinh chọn đúng hoặc sai.
Câu 1. Cho biểu thức và biểu thức .
a) Kết quả thực hiện phép tính biểu thức A là 16.
b) Kết quả thực hiện phép tính biểu thức B là 3.
c) So sánh giá trị biểu thức A và biểu thức B ta được A > B.
d) Kết quả phép tính A - 2B là 2.
Câu 2. Cho biểu thức .
a) Điều kiện xác định của là .
b) Điều kiện của x để biểu thức M có nghĩa là .
c) Khi x = 1 thì giá trị của biểu thức M là
d) Khi thì giá trị của biểu thức M là 0.
Phần 3. Trắc nghiệm trả lời ngắn
Trong mỗi câu hỏi, thí sinh viết câu trả lời/ đáp án vào bài làm mà không cần trình bày lời giải chi tiết.
Câu 1. Công thức biểu diễn mối tương quan giữa cân nặng x (tính bằng kg) và chiều cao h (tính bằng m) của một con hươu cao cổ. Một con hươu cao cổ cân nặng 180kg thì cao bao nhiêu mét? (làm tròn đến chữ số thập phân thứ hai)
Câu 2. Hàng ngày, hai anh em An và Bình cùng đi bộ từ nhà ở vị trí A đến trường. Trường của anh An ở vị trí B và trường của em Bình ở vị trí C theo hai hướng vuông góc với nhau (như hình vẽ). Anh An đi với tốc độ 4 km/h và đến trường sau 15 phút. Em Bình đi với tốc độ 3 km/h và đến trường sau 12 phút. Tính khoảng cách BC giữa hai trường (làm tròn kết quả đến hàng phần trăm của mét).
Câu 3. Tốc độ chuyển động v (m/s) của một vệ tinh nhân tạo quay quanh Trái Đất theo quỹ đạo tròn được tính bởi công thức:
Trong đó là gia tốc trọng trường;
là bán kính Trái Đất,
h (m) là độ cao của vệ tinh so với mặt đất.
Hỏi ở độ cao so với mặt đất 200 km thì tốc độ của vệ tinh là bao nhiêu m/s? (làm tròn đến hàng chục)
................................
................................
................................
Xem thêm đề kiểm tra Toán lớp 9 Chân trời sáng tạo có đáp án hay khác:
Đề kiểm tra Toán 9 Chân trời sáng tạo Chương 1 (có lời giải)
Đề kiểm tra Toán 9 Chân trời sáng tạo Chương 2 (có lời giải)
Đề kiểm tra Toán 9 Chân trời sáng tạo Chương 4 (có lời giải)
Xem thêm các tài liệu học tốt lớp 9 hay khác:
- Giải sgk Toán 9 Chân trời sáng tạo
- Giải SBT Toán 9 Chân trời sáng tạo
- Giải lớp 9 Chân trời sáng tạo (các môn học)
- Giải lớp 9 Kết nối tri thức (các môn học)
- Giải lớp 9 Cánh diều (các môn học)
Tủ sách VIETJACK luyện thi vào 10 cho 2k11 (2026):
Đã có app VietJack trên điện thoại, giải bài tập SGK, SBT Soạn văn, Văn mẫu, Thi online, Bài giảng....miễn phí. Tải ngay ứng dụng trên Android và iOS.
Theo dõi chúng tôi miễn phí trên mạng xã hội facebook và youtube:Loạt bài Giải sgk Toán 9 Tập 1 & Tập 2 của chúng tôi được biên soạn bám sát nội dung sgk Toán 9 Chân trời sáng tạo (NXB Giáo dục).
Nếu thấy hay, hãy động viên và chia sẻ nhé! Các bình luận không phù hợp với nội quy bình luận trang web sẽ bị cấm bình luận vĩnh viễn.
- Soạn văn 9 (hay nhất) - CTST
- Soạn văn 9 (ngắn nhất) - CTST
- Giải sgk Toán 9 - CTST
- Giải Tiếng Anh 9 Global Success
- Giải sgk Tiếng Anh 9 Smart World
- Giải sgk Tiếng Anh 9 Friends plus
- Giải sgk Khoa học tự nhiên 9 - CTST
- Giải sgk Lịch Sử 9 - CTST
- Giải sgk Địa Lí 9 - CTST
- Giải sgk Giáo dục công dân 9 - CTST
- Giải sgk Tin học 9 - CTST
- Giải sgk Công nghệ 9 - CTST
- Giải sgk Hoạt động trải nghiệm 9 - CTST
- Giải sgk Âm nhạc 9 - CTST
- Giải sgk Mĩ thuật 9 - CTST


Giải bài tập SGK & SBT
Tài liệu giáo viên
Sách
Khóa học
Thi online
Hỏi đáp

