Bài tập tổng hợp Chương 2: Hàm số bậc nhất và bậc hai chọn lọc, có lời giải (phần 3)
Bài viết Bài tập tổng hợp Chương 2: Hàm số bậc nhất và bậc hai với phương pháp giải chi tiết giúp học sinh ôn tập, biết cách làm bài tập tổng hợp Chương 2: Hàm số bậc nhất và bậc hai.
Bài tập tổng hợp Chương 2: Hàm số bậc nhất và bậc hai chọn lọc, có lời giải (Bài tập trắc nghiệm)
(199k) Xem Khóa học Toán 10 KNTTXem Khóa học Toán 10 CDXem Khóa học Toán 10 CTST
Câu 16: Đồ thị hàm số y = m2x + m + 1 tạo với các trục tam giác cân khi m bằng:
A. 1 B. -1 C. ±1 D. 0
Câu 17: Tìm m để hàm sốcó tập xác định là (-∞;4].
A. m ≤ 1 B. m ≥ 4 C. m ≥ 2 D. m ≤ 0
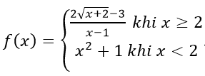
Câu 18: Cho hàm sốKhi đó, f(2) + f(-2) bằng:
A. 8/3 B. 6 C. 4 D. 5/3
Câu 19: Cho hàm số y = f(x) có tập xác định là [-3; 3] và đồ thị của nó được biểu diễn bởi hình bên. Khẳng định nào sau đây là khẳng định đúng?
A. Hàm số đồng biến trên khoảng (-3; -1) và (1; 3)
B. Hàm số đồng biến trên khoảng (-3; 1) và (1; 4)
C. Đồ thị cắt trục hoành tại 3 điểm phân biệt
D. Hàm số nghịch biến trên khoảng (-2; 1).
Câu 20: Cho hàm số f(x) = 3x4 - 4x2 + 3. Trong các mệnh đề sau, mệnh đề nào đúng?
A. y = f(x) là hàm số chẵn
B. y = f(x) là hàm số lẻ
C. y = f(x) là hàm số không có tính chẵn lẻ
D. y = f(x) là hàm số vừa chẵn vừa lẻ
Câu 21: Cho hai hàm số f(x) = x3 - 3x và g(x) = -x3 + x2. Khi đó:
A. f(x) và g(x) cùng lẻ
B. f(x) lẻ, g(x) chẵn
C. f(x) chẵn, g(x) lẻ
D. f(x) lẻ, g(x) không chẵn, không lẻ.
Câu 22: Trong các hàm số sau, hàm số nào tăng trên khoảng (-1; 0)?
A. y = x B. y = 1/x C. y = |x| D. y = x2
Câu 23: Xét sự biến thiên của hàm số y = √(x2 ). Mệnh đề nào sau đây đúng?
A. Hàm số luôn đồng biến
B. Hàm số đồng biến trên (-∞;0), nghịch biến trên (0; +∞)
C. Hàm số đồng biến trên [0; +∞) , nghịch biến trên (-∞;0)
D. Hàm số đồng biến trên (-∞;2), nghịch biến trên (2; +∞)
Câu 24: Câu nào sau đây đúng?
A. Hàm số y = a2x + b đồng biến khi a > 0 và nghịch biến khi a < 0.
B. Hàm số y = a2x + b đồng biến khi b > 0 và nghịch biến khi b < 0.
C. Với mọi b, hàm số y = -a2xb nghịch biến khi a ≠ 0
D. Hàm số y = a2x + b đồng biến khi a > 0 và nghịch biến khi b < 0
Câu 25: Xét sự biến thiên của hàm số y = 1/x2 . Mệnh đề nào sau đây đúng?
A. Hàm số đồng biến trên (-∞;0), nghịch biến trên (0; +∞)
B. Hàm số đồng biến trên (0; +∞), nghịch biến trên (-∞;0)
C. Hàm số đồng biến trên (-∞;1), nghịch biến trên (1; +∞)
D. Hàm số nghịch biến trên (-∞;0) ∪ (0; +∞)
Câu 26: Hàm sốcó tập giá trị là:
A.[(-1)/2; 1/2] B.[-1;1] C.[-2;2] D.[0;1]
Câu 27: Hàm số y = ax + b. Đâu là khẳng định sai:
A. đồng biến trên R khi a > 0 B. nghịch biến trên R khi a < 0
C. đồng biến trên R khi a = 0 D. không nghịch biến trên R khi a = 0
Câu 28: Cho parabol (P): y = ax2 + bx + c. Điều kiện để (P) cắt không cắt trục hoành là:
A. b2 - 4ac ≥ 0 B. b2 - 4ac > 0
C. b2 - 4ac ≤ 0 D. b2 - 4ac < 0
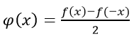
Câu 29: Cho hàm số f(x) = 4x3 - 3x2 + 2x + 1. Hàm sốcó công thức là:
A. φ(x) = 4x3 + 2x B. φ(x) = 4x3 - 2x
C. φ(x) = -4x3 - 2x D. φ(x) = -4x3 + 2x
Câu 30: Hàm số y = f(x) thỏa mãn hệ thức 2f(x) + 3f(-x) = 3x + 2, ∀ x. Hàm số f(x) có công thức là:
A. f(x) = -3x + 2/5 B. f(x) = 3x - 2/5
C. f(x) = -3x - 2/5 D. f(x) = 3x + 2/5
Đáp án và hướng dẫn giải
| 16-A | 17-C | 18-B | 19-A | 20-A | 21-D | 22-D | 23-A |
| 24-C | 25-A | 26-B | 27-C | 28-D | 29-A | 30-A |
Câu 16: Đáp án A
Để đồ thị hàm số đã cho cắt 2 trục thì m ≠ 0 và không đi qua điểm (0;0)
⇒ m ≠ -1.
Cho x = 0 ⇒ y = m + 1 ⇒ Đồ thị hàm số cắt trục Oy tại điểm (0; m + 1)
Cho y = 0 ⇒ x =⇒ Đồ thị hàm số cắt trục Ox tại điểm (
;0).
Theo yêu cầu bài toán, cần:
Câu 17: Đáp án C
Tập xác địnhtheo bài ra D = (-∞; 4]
⇒ 2m ≥ 4 ⇒ m ≥ 2
Câu 20: Đáp án A
TXĐ: R
Ta có: f(-x) = 3(-x)4 - 4(-x)2 + 3 = 3x4 - 4x2 + 3 = f(x)
Vậy hàm số là hàm chẵn.
Câu 21: Đáp án D
TXĐ: R
Ta có
Suy ra f(x) lẻ và g(x) không chẵn không lẻ
Câu 22: Đáp án A
Ta có: y = x = f(x) ⇒ f(0) > f(-1), hàm tăng.
Câu 23: Đáp án B
y = √(x2) = |x|. Đồ thị hàm số các dạng như hình vẽ
Câu 24: Đáp án C
Hàm số bậc nhất phụ thuộc vào hệ số gắn x
Câu 25: Đáp án A
TXĐ: D = R\{0}
Lấy x1; x2 ∈ D, x1 ≠ x2, ta có:
Với x1; x2 (-∞;0) ⇒ K > 0
Với x1; x2 (0; +∞) ⇒ K < 0
Suy ra hàm số đồng biến trên (-∞;0), nghịch biến trên (0; +∞)
Câu 26: Đáp án B
Ta có: x2 + 1 ≥ 2x ≥ -(x2 + 1) ⇒ 1 ≥≥-1
Câu 28: Đáp án D
Để hàm số không cắt trục hoành thì phương trình ax2 + bx + c = 0 vô nghiệm
⇔ Δ = b2 - 4ac < 0
Câu 29: Đáp án A
Ta có: f(x) = 4x3 - 3x2 + 2x + 1 ⇒ f(-x) = f(x) = -4x3 - 3x2 - 2x + 1
Câu 30: Đáp án A
Ta có: 2f(x) + 3f(-x) = 3x + 2, ∀ x
Thay x bằng –x ta có hệ thức mới là: 2f(-x) + 3f(x) = -3x + 2, ∀ x
Từ đó ta có hệ:
⇒ 5f(x) = -15x + 2 ⇒ f(x) = -3x + 2/5
Để học tốt lớp 10 các môn học sách mới:
- Giải bài tập Lớp 10 Kết nối tri thức
- Giải bài tập Lớp 10 Chân trời sáng tạo
- Giải bài tập Lớp 10 Cánh diều
Tủ sách VIETJACK shopee lớp 10-11 (cả 3 bộ sách):
Đã có app VietJack trên điện thoại, giải bài tập SGK, SBT Soạn văn, Văn mẫu, Thi online, Bài giảng....miễn phí. Tải ngay ứng dụng trên Android và iOS.
Theo dõi chúng tôi miễn phí trên mạng xã hội facebook và youtube:Nếu thấy hay, hãy động viên và chia sẻ nhé! Các bình luận không phù hợp với nội quy bình luận trang web sẽ bị cấm bình luận vĩnh viễn.
- Giải Tiếng Anh 10 Global Success
- Giải Tiếng Anh 10 Friends Global
- Giải sgk Tiếng Anh 10 iLearn Smart World
- Giải sgk Tiếng Anh 10 Explore New Worlds
- Lớp 10 - Kết nối tri thức
- Soạn văn 10 (hay nhất) - KNTT
- Soạn văn 10 (ngắn nhất) - KNTT
- Soạn văn 10 (siêu ngắn) - KNTT
- Giải sgk Toán 10 - KNTT
- Giải sgk Vật lí 10 - KNTT
- Giải sgk Hóa học 10 - KNTT
- Giải sgk Sinh học 10 - KNTT
- Giải sgk Địa lí 10 - KNTT
- Giải sgk Lịch sử 10 - KNTT
- Giải sgk Kinh tế và Pháp luật 10 - KNTT
- Giải sgk Tin học 10 - KNTT
- Giải sgk Công nghệ 10 - KNTT
- Giải sgk Hoạt động trải nghiệm 10 - KNTT
- Giải sgk Giáo dục quốc phòng 10 - KNTT
- Lớp 10 - Chân trời sáng tạo
- Soạn văn 10 (hay nhất) - CTST
- Soạn văn 10 (ngắn nhất) - CTST
- Soạn văn 10 (siêu ngắn) - CTST
- Giải Toán 10 - CTST
- Giải sgk Vật lí 10 - CTST
- Giải sgk Hóa học 10 - CTST
- Giải sgk Sinh học 10 - CTST
- Giải sgk Địa lí 10 - CTST
- Giải sgk Lịch sử 10 - CTST
- Giải sgk Kinh tế và Pháp luật 10 - CTST
- Giải sgk Hoạt động trải nghiệm 10 - CTST
- Lớp 10 - Cánh diều
- Soạn văn 10 (hay nhất) - Cánh diều
- Soạn văn 10 (ngắn nhất) - Cánh diều
- Soạn văn 10 (siêu ngắn) - Cánh diều
- Giải sgk Toán 10 - Cánh diều
- Giải sgk Vật lí 10 - Cánh diều
- Giải sgk Hóa học 10 - Cánh diều
- Giải sgk Sinh học 10 - Cánh diều
- Giải sgk Địa lí 10 - Cánh diều
- Giải sgk Lịch sử 10 - Cánh diều
- Giải sgk Kinh tế và Pháp luật 10 - Cánh diều
- Giải sgk Tin học 10 - Cánh diều
- Giải sgk Công nghệ 10 - Cánh diều
- Giải sgk Hoạt động trải nghiệm 10 - Cánh diều
- Giải sgk Giáo dục quốc phòng 10 - Cánh diều


Giải bài tập SGK & SBT
Tài liệu giáo viên
Sách
Khóa học
Thi online
Hỏi đáp

