Bài tập tổng hợp Chương 2: Hàm số bậc nhất và bậc hai chọn lọc, có lời giải (phần 4)
Bài viết Bài tập tổng hợp Chương 2: Hàm số bậc nhất và bậc hai với phương pháp giải chi tiết giúp học sinh ôn tập, biết cách làm bài tập tổng hợp Chương 2: Hàm số bậc nhất và bậc hai.
Bài tập tổng hợp Chương 2: Hàm số bậc nhất và bậc hai chọn lọc, có lời giải (Bài tập trắc nghiệm)
(199k) Xem Khóa học Toán 10 KNTTXem Khóa học Toán 10 CDXem Khóa học Toán 10 CTST
Câu 31: Với x > 0, nếuthì f(x) bằng:
Câu 32: Đường thẳng đi qua điểm A (1; 2) và song song với đường thẳng y = -2x + 3 có phương trình là:
A. y = -2x – 4 B. y = -2x + 4
C. y = -3x + 5 D. y = 2x
Câu 33: Đường thẳng đi qua điểm A (1; 2) và vuông góc với đường thẳng y = - 2x + 3 có phương trình là:
A. 2x + y – 4 = 0 B. x – 2y + 3 = 0
C. x – 2y – 3 = 0 D. 2x – y + 3 = 0
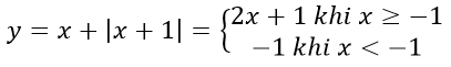
Câu 34: Hàm số y = x + |x + 1| có đồ thị là:
A. Hình 1 B. Hình 2 C. Hình 3 D. Hình 4.
Câu 35: Giá trị của m để hai đường (d1 ): (m - 1)x + my - 5 = 0,
(d2 ): mx + (2m - 1)y + 7 = 0 cắt nhau tại một điểm trên trục hoành là:
A. m = 7/12 B. m = 1/2 C. m = 5/12 D. m = 4
Câu 36: Cho parabol (P): y = -3x2 + 6x - 1. Khẳng định đúng nhất trong các khẳng định sau là:
A. (P) có đỉnh I(1; 2). B. (P) có trục đối xứng x = 1.
C. (P) cắt trục tung tại điểm A(0; -1). D. Cả A, B, C, đều đúng.
Câu 37: Đường thẳng nào trong các đường thẳng sau đây là trục đối xứng của parabol y = -2x2 + 5x + 3 ?
A. x = 5/2 B. x = -5/2 C. x = 5/4 D. x = -5/4
Câu 38: Cho hàm số y = f(x) = ax2 + bx + c. Biểu thức f(x + 3) - 3f(x + 2) + 3f(x + 1) có giá trị bằng:
A. ax2 - bx - c B. ax2 + bx - c
C. ax2 - bx + c D. ax2 + bx + c
Câu 39: Giá trị nhỏ nhất của hàm số y = 2x2 + x - 3 là:
A. -3 B. -2 C. (-21)/8 D. (-25)/8
Câu 40: Giá trị nhỏ nhất của hàm sốlà:
A. -4 B. -3 C. -2 D. -1
Câu 41: Phương trình x4 - 2x2 + 3 - m = 0 có nghiệm khi:
A. m ≥ 3 B. m ≥ -3 C. m ≥ 2 D. m ≥ -2
Câu 42: Phương trình -2x2 - 4x + 3 = m có nghiệm khi:
A. m ≤ 5 B. m ≥ 5 C. m < 5 D. m < 5
Câu 43: Phương trình x2 - 2|x| - 3 = m có 4 nghiệm phân biệt khi:
A. 0 < m < 4 B. -4 ≤ m ≤ 0
C. 0 ≤ m ≤ 4 D. m ≥ 4
Câu 44: Phương trình |x2 - 2x - 3| = m có 2 nghiệm phân biệt khi:
A. m = -4 B. m ≥ -3
C. -4 ≤ m ≤ -3 D. m = - 4 hoặc m > - 3
Câu 45: Cho hai hàm số f(x) đồng biến và g(x) nghịch biến trên khoảng (a; b). Có thể kết luận gì về chiều biến thiên của hàm số y = f(x) + g(x) trên khoảng (a; b) ?
A. đồng biến B. nghịch biến
C. không đổi D. không kết luận được
Câu 46: Xác định (P): y = -2x2 + bx + c, biết (P) có đỉnh là I(1;3)
A. (P): y = -2x2 + 4x + 1 B. (P): y = -2x2 + 3x + 1
C. (P): y = -2x2 - 4x + 1 D. (P): y = -2x2 + 4x - 1
Câu 47: Gọi A (a;b) và B (c; d) là tọa độ giao điểm của (P): y = 2x - x2 và Δ: y = 3x - 6. Giá trị của b + d bằng:
A. 7 B. -7 C. -15 D. 15
Câu 48: Phương trình đường thẳng đi qua hai điểm A(5; 2), B(-3; 2) là:
A. y = 5 B. y = -3 C. y = 5x + 2 D. y = 2
Câu 49: Trong mặt phẳng Oxy cho đường thẳng (d) có phương trình y = kx + k2 - 3. Tìm k để đường thẳng d đi qua gốc tọa độ:
A. k = √3 B. k = √2
C. k = -√2 D. k = √3 hoặc k = -√3
Câu 50: Phương trình đường thẳng đi qua giao điểm hai đường thẳng y = 2x + 1 và y = 3x - 4 và song song với đường thẳng y = √2.x + 15 là:
A. y = √2.x + 11 - 5√2 B. y = x + 5√2
C. y = √6.x - 5√2 D. y = 4x + √2
Đáp án và hướng dẫn giải
| 31-B | 32-A | 33-B | 34-B | 35-A | 36-D | 37-C | 38-D | 39-D | 40-B |
| 41-C | 42-A | 43-A | 44-A | 45-D | 46-A | 47-D | 48-C | 49-D | 50-A |
Câu 31: Đáp án B
Đặt t = 1/x > 0 với x > 0 ⇒ x = 1/t
Thay vào ta có:
Câu 34: Đáp án B
Xét hàm số
Với x ≥ -1, đồ thị hàm số là đường thẳng y = 2x + 1 .
Với x < -1, đồ thị hàm số là đường thẳng y = -1.
Vậy đồ thị hàm số ở hình 3 thỏa mãn điều kiện trên.
Câu 35: Đáp án A
Gọi M(x; 0) ∈ Ox là giao điểm của d1,d2.
Ta có:
Câu 38: Đáp án D
Ta có: f(x + 3) - 3f(x + 2) + 3f(x + 1)
= a(x + 3)2 + b(x + 3) + c - 3[a(x + 2)2 + b(x + 2) + c] + 3[a(x + 1)2 + b(x + 1) + c]
= ax2 + bx + c.
Câu 40 :Đáp án B
y = x - 2√(x + 2) = x + 2 - 2√(x + 2) - 2
Đặt t = √(x+2), t ≥ 0 hàm số trở thành: f(t) = t2 - 2t - 2
Ta có:
Vậy giá trị nhỏ nhất của hàm số là -3.
Câu 41: Đáp án C
Phương trình x4 - 2x2 + 3 - m = 0 ⇔ (x2 - 1)2 = m - 2
Do đó phương trình có nghiệm khi m - 2 ≥ 0 ⇔ m ≥ 2.
Câu 42: Đáp án A
Phương trình -2x2 - 4x + 3 = m ⇔ 2x2 + 4x + m - 3 = 0 (*)
Phương trình (*) có nghiệm ⇔ Δ' = 22 - 2(m - 3) ≥ 0 ⇔ m ≤ 5.
Câu 43: Đáp án A
Phương trình |x2 - 2x - 3| = m
(*) ⇔ (x2 - 2x - 3)2 - m2 = 0
⇔ (x2 - 2x - 3 + m)(x2 - 2x - 3 - m) = 0
Để phương trình có 4 nghiệm phân biệt thì phương trình (1), (2) có hai nghiệm phân biệt
Kết hợp với điều kiện m > 0, ta được 0 < m < 4 là giá trị cần tìm.
Câu 44: Đáp án A
Đặt t = |x| > 0, phương trình x2 - 2|x| - 3 = m ⇔ t2 - 2t - 3 - m = 0 (*)
Phương trình có hai nghiệm phân biệt ⇔ (*) có nghiệm duy nhất khác 0
⇔ Δ' = 1 + 3 + m = 0 ⇔ m = -4
Với m = -4 thì phương trình có nghiệm duy nhất và khác 0.
Câu 47: Đáp án D
Phương trình hoành độ giao điểm của (P): y = 2x - x2 và Δ: y = 3x - 6 là: 2x - x2 = 3x - 6 ⇔ x2 + x - 6 = 0
Phương trình có hai nghiệm phân biệt, do đó, theo định lí Vi-et ta có:
x1 + x2 = -1
⇒ b + d = (3x1 - 6) + (3x2 - 6) = 3(x1 + x2 ) - 12 = -15
Để học tốt lớp 10 các môn học sách mới:
- Giải bài tập Lớp 10 Kết nối tri thức
- Giải bài tập Lớp 10 Chân trời sáng tạo
- Giải bài tập Lớp 10 Cánh diều
Tủ sách VIETJACK shopee lớp 10-11 (cả 3 bộ sách):
Đã có app VietJack trên điện thoại, giải bài tập SGK, SBT Soạn văn, Văn mẫu, Thi online, Bài giảng....miễn phí. Tải ngay ứng dụng trên Android và iOS.
Theo dõi chúng tôi miễn phí trên mạng xã hội facebook và youtube:Nếu thấy hay, hãy động viên và chia sẻ nhé! Các bình luận không phù hợp với nội quy bình luận trang web sẽ bị cấm bình luận vĩnh viễn.
- Giải Tiếng Anh 10 Global Success
- Giải Tiếng Anh 10 Friends Global
- Giải sgk Tiếng Anh 10 iLearn Smart World
- Giải sgk Tiếng Anh 10 Explore New Worlds
- Lớp 10 - Kết nối tri thức
- Soạn văn 10 (hay nhất) - KNTT
- Soạn văn 10 (ngắn nhất) - KNTT
- Soạn văn 10 (siêu ngắn) - KNTT
- Giải sgk Toán 10 - KNTT
- Giải sgk Vật lí 10 - KNTT
- Giải sgk Hóa học 10 - KNTT
- Giải sgk Sinh học 10 - KNTT
- Giải sgk Địa lí 10 - KNTT
- Giải sgk Lịch sử 10 - KNTT
- Giải sgk Kinh tế và Pháp luật 10 - KNTT
- Giải sgk Tin học 10 - KNTT
- Giải sgk Công nghệ 10 - KNTT
- Giải sgk Hoạt động trải nghiệm 10 - KNTT
- Giải sgk Giáo dục quốc phòng 10 - KNTT
- Lớp 10 - Chân trời sáng tạo
- Soạn văn 10 (hay nhất) - CTST
- Soạn văn 10 (ngắn nhất) - CTST
- Soạn văn 10 (siêu ngắn) - CTST
- Giải Toán 10 - CTST
- Giải sgk Vật lí 10 - CTST
- Giải sgk Hóa học 10 - CTST
- Giải sgk Sinh học 10 - CTST
- Giải sgk Địa lí 10 - CTST
- Giải sgk Lịch sử 10 - CTST
- Giải sgk Kinh tế và Pháp luật 10 - CTST
- Giải sgk Hoạt động trải nghiệm 10 - CTST
- Lớp 10 - Cánh diều
- Soạn văn 10 (hay nhất) - Cánh diều
- Soạn văn 10 (ngắn nhất) - Cánh diều
- Soạn văn 10 (siêu ngắn) - Cánh diều
- Giải sgk Toán 10 - Cánh diều
- Giải sgk Vật lí 10 - Cánh diều
- Giải sgk Hóa học 10 - Cánh diều
- Giải sgk Sinh học 10 - Cánh diều
- Giải sgk Địa lí 10 - Cánh diều
- Giải sgk Lịch sử 10 - Cánh diều
- Giải sgk Kinh tế và Pháp luật 10 - Cánh diều
- Giải sgk Tin học 10 - Cánh diều
- Giải sgk Công nghệ 10 - Cánh diều
- Giải sgk Hoạt động trải nghiệm 10 - Cánh diều
- Giải sgk Giáo dục quốc phòng 10 - Cánh diều


Giải bài tập SGK & SBT
Tài liệu giáo viên
Sách
Khóa học
Thi online
Hỏi đáp

