Cách giải Bài tập tìm tập xác định của phương trình (cực hay)
Bài viết Cách giải Bài tập tìm tập xác định của phương trình với phương pháp giải chi tiết giúp học sinh ôn tập, biết cách làm bài tập Cách giải Bài tập tìm tập xác định của phương trình.
Cách giải Bài tập tìm tập xác định của phương trình (cực hay)
(199k) Xem Khóa học Toán 10 KNTTXem Khóa học Toán 10 CDXem Khóa học Toán 10 CTST
Câu 1. Hai phương trình được gọi là tương đương khi
A. Có cùng dạng phương trình
B. Có cùng tập xác định
C. Có cùng tập hợp nghiệm.
D. Cả A, B, C đều đúng
Câu 2. Trong các khẳng định sau, khẳng định nào đúng?
Câu 3. Phương trình (x2+1)(x–1)(x+1) = 0 tương đương với phương trình:
A. x-1 = 0
B. x+1 = 0
C. x2 + 1 = 0
D. (x-1)(x+1) = 0
Câu 4. Phương trình tương đương với phương trình :
Câu 5. Cho phương trình 2x2 - x = 0 (1). Trong các phương trình sau đây, phương trình nào không phải là hệ quả của phương trình (1)?
A. 2x - x/(1-x) = 0
B. 4x3 - x = 0
C. (2x2 - x)2 = 0
D. x2 - 2x + 1 = 0
Câu 6. Cho phương trình
và
Khẳng định đúng nhất trong các khẳng định sau là:
A. (1) và (2) tương đương
B. (2) là phương trình hệ quả của (1)
C. (1) là phương trình hệ quả của (2)
D. Cả A, B, C đều đúng
Câu 7. Cho phương trìnhvà x2 − x − 2 = 0 (2)
Khẳng định đúng nhất trong các khẳng định sau là:
A. (1) và (2) tương đương
B. (2) là phương trình hệ quả của (1)
C. (1) là phương trình hệ quả của (2)
D. Cả A, B, C đều đúng
Câu 8. Khi giải phương trình |x - 2| = 2x - 3 (1), một học sinh tiến hành theo các bước sau:
Bước 1: Bình phương hai vế của phương trình (1) ta được:
x2 - 4x + 4 = 4x2 - 12x + 9 (2)
Bước 2: Khai triển và rút gọn (2) ta được: 3x2 - 8x + 5 = 0
Bước 3: (2)⇔ x = 1 ∪ x = 5/3
Bước 4: Vậy phương trình có nghiệm là: x = 1 và x = 5/3
Cách giải trên sai từ bước nào?
A. Sai ở bước 1.
B. Sai ở bước 2.
C. Sai ở bước 3.
D. Sai ở bước 4.
Câu 9. Khi giải phương trìnhmột học sinh tiến hành theo các bước sau:
Bước 4:Vậy phương trình có tập nghiệm là: T = {5; 4}
Cách giải trên sai từ bước nào?
A. Sai ở bước 1.
B. Sai ở bước 2.
C. Sai ở bước 3.
D. Sai ở bước 4.
Câu 10. Khi giải phương trình,một học sinh tiến hành theo các bước sau:
Bước 1: đk: x ≠ -2
Bước 2: với điều kiện trên (1) ⇔ x(x + 2) + 1 = -(2x + 3) (2)
Bước 3: (2)⇔ x2 + 4x + 4 = 0 ⇔ x = -2
Bước 4: Vậy phương trình có tập nghiệm là: T = {-2}
Cách giải trên sai từ bước nào?
A. Sai ở bước 1.
B. Sai ở bước 2.
C. Sai ở bước 3.
D. Sai ở bước 4.
Câu 11. Phương trình (x-4)2 = x - 2 là phương trình hệ quả của phương trình nào sau đây ?
A. x-4 = x-2
B. √(x-2) = x - 4
C. √(x-4) = √(x-2)
D. √(x-4) = x-2
Câu 12. Phương trình x2 = 3x tương đương với phương trình :
Câu 13. Phương trình 3x-7 = √(x-6) tương đương với phương trình :
A. (3x-7)2 = x-6
B. √(3x-7) = x-6
C. (3x-7)2 = (x-6)2
D. √(3x-7) = √(x-6)
Câu 14. Cho hai phương trình x2 + x + 1 = 0 (1) và √(1-x) = √(x-1) + 2 (2). Khẳng định đúng nhất trong các khẳng định sau là:
A. (1) và (2) tương đương.
B. Phương trình (2) là phương trình hệ quả của phương trình (1).
C. Phương trình (1) là phương trình hệ quả của phương trình (2).
D. Cả A, B, C đều đúng.
Câu 15. Chỉ ra khẳng định sai ?
A. √(x-2) = 3√(2-x) ⇔ x-2 = 0
B. √(x-3) = 2 ⇒ x-3 = 4
C. |x-2| = 2x + 1 ⇔ (x-2)2 = (2x+1)2
D. x2 = 1 ⇔ x = ±1
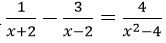
Câu 16. Tập xác định của phương trình là:
A. (2; +∞) B. R\{-2; 2} C. [2; +∞) D. R
Câu 17. Điều kiện xác định của phương trình √(2x - 1) = 4x + 1 là:
A. (3; +∞) B. [1/2; +∞) C. [1; +∞) D. [3; +∞)
Câu 18. Điều kiện xác định của phương trình √(3x - 2) + √(4 - 3x) = 1 là:
A. (4/3; +∞) B. (2/3; 4/3) C. R\{2/3; 4/3} D. [2/3; 4/3]
Câu 19. Điều kiện xác định của phương trình √(x-1) + √(x-2) = √(x-3) là:
A. (3; +∞) B. [2; +∞) C. [1; +∞) D. [3; +∞)
Câu 20. Tập xác định của phương trìnhlà:
A. (4; +∞) B. R\{2; 3; 4} C. R D. R\{4}
Đáp án và hướng dẫn giải
| Câu | 1 | 2 | 3 | 4 | 5 | 6 | 7 | 8 | 9 | 10 |
| Đáp án | C | A | D | A | D | C | B | D | B | D |
| Câu | 11 | 12 | 13 | 14 | 15 | 16 | 17 | 18 | 19 | 20 |
| Đáp án | B | D | A | D | C | B | B | D | B | B |
Câu 1. Chọn C
Câu 2. Chọn A
Câu 3. Chọn D
Vì hai phương trình có cùng tập nghiệm T = {±1}
Câu 4. Chọn A
Vì hai phương trình có cùng tập nghiệm T = {5}.
Câu 5. Chọn D
⇒ Đáp án D vì x2 - 2x + 1 = 0 ⇔ x = 1
Câu 6. Chọn C.
Ta có: (1) ⇔ x = 2 hoặc x = 1. Và (2) ⇔ x = 1
Vậy (1) là phương trình hệ quả của (2)
Câu 7. Chọn B.
Ta có: (1)⇔ x = 2 (2) ⇔ x = -1 ∪ x = 2
Vậy (2) là phương trình hệ quả của (1)
Câu 8. Chọn D
Vì phương trình (2) là phương trình hệ quả nên ta cần thay nghiệm vào phương trình (1) để thử lại
Câu 9. Chọn B
Vì biến đổi tương đương mà chưa đặt điều kiện
Câu 10. Chọn D
Vì không kiểm tra điều kiện
Câu 11. Chọn B.
Ta có √(x-2) = x-4 ⇒ (x-4)2 = x-2
Câu 12. Chọn D.
Vì hai phương trình có cùng tập nghiệm T = {0; 3}
Câu 13. Chọn A.
Ta có
Ta có (3x - 7)2 = x - 6 ⇔ 9x2 - 43x + 55 = 0 vô nghiệm
Câu 14. Chọn D
Câu 15. Chọn C
Câu 16. Chọn B
Điều kiện xác định:
Vậy TXĐ: R\{-2; 2}
Câu 17. Chọn B
Điều kiện xác định: 2x - 1 ≥ 0 ⇔ x ≥ 1/2
Câu 18. Chọn D
Điều kiện xác định:
Câu 19. Chọn B
Điều kiện xác định:
Câu 20. Chọn B.
Điều kiện xác định:
Vậy TXĐ: R\{2; 3; 4}.
(199k) Xem Khóa học Toán 10 KNTTXem Khóa học Toán 10 CDXem Khóa học Toán 10 CTST
Xem thêm các dạng bài tập Toán 10 có đáp án hay khác:
- Giải phương trình bằng phương pháp biến đổi tương đương
- Bài tập giải phương trình bằng phương pháp biến đổi tương đương
- Giải và biện luận phương trình bậc nhất
- Bài tập giải và biện luận phương trình bậc nhất
Để học tốt lớp 10 các môn học sách mới:
- Giải bài tập Lớp 10 Kết nối tri thức
- Giải bài tập Lớp 10 Chân trời sáng tạo
- Giải bài tập Lớp 10 Cánh diều
Tủ sách VIETJACK shopee lớp 10-11 (cả 3 bộ sách):
Đã có app VietJack trên điện thoại, giải bài tập SGK, SBT Soạn văn, Văn mẫu, Thi online, Bài giảng....miễn phí. Tải ngay ứng dụng trên Android và iOS.
Theo dõi chúng tôi miễn phí trên mạng xã hội facebook và youtube:Nếu thấy hay, hãy động viên và chia sẻ nhé! Các bình luận không phù hợp với nội quy bình luận trang web sẽ bị cấm bình luận vĩnh viễn.
- Giải Tiếng Anh 10 Global Success
- Giải Tiếng Anh 10 Friends Global
- Giải sgk Tiếng Anh 10 iLearn Smart World
- Giải sgk Tiếng Anh 10 Explore New Worlds
- Lớp 10 - Kết nối tri thức
- Soạn văn 10 (hay nhất) - KNTT
- Soạn văn 10 (ngắn nhất) - KNTT
- Soạn văn 10 (siêu ngắn) - KNTT
- Giải sgk Toán 10 - KNTT
- Giải sgk Vật lí 10 - KNTT
- Giải sgk Hóa học 10 - KNTT
- Giải sgk Sinh học 10 - KNTT
- Giải sgk Địa lí 10 - KNTT
- Giải sgk Lịch sử 10 - KNTT
- Giải sgk Kinh tế và Pháp luật 10 - KNTT
- Giải sgk Tin học 10 - KNTT
- Giải sgk Công nghệ 10 - KNTT
- Giải sgk Hoạt động trải nghiệm 10 - KNTT
- Giải sgk Giáo dục quốc phòng 10 - KNTT
- Lớp 10 - Chân trời sáng tạo
- Soạn văn 10 (hay nhất) - CTST
- Soạn văn 10 (ngắn nhất) - CTST
- Soạn văn 10 (siêu ngắn) - CTST
- Giải Toán 10 - CTST
- Giải sgk Vật lí 10 - CTST
- Giải sgk Hóa học 10 - CTST
- Giải sgk Sinh học 10 - CTST
- Giải sgk Địa lí 10 - CTST
- Giải sgk Lịch sử 10 - CTST
- Giải sgk Kinh tế và Pháp luật 10 - CTST
- Giải sgk Hoạt động trải nghiệm 10 - CTST
- Lớp 10 - Cánh diều
- Soạn văn 10 (hay nhất) - Cánh diều
- Soạn văn 10 (ngắn nhất) - Cánh diều
- Soạn văn 10 (siêu ngắn) - Cánh diều
- Giải sgk Toán 10 - Cánh diều
- Giải sgk Vật lí 10 - Cánh diều
- Giải sgk Hóa học 10 - Cánh diều
- Giải sgk Sinh học 10 - Cánh diều
- Giải sgk Địa lí 10 - Cánh diều
- Giải sgk Lịch sử 10 - Cánh diều
- Giải sgk Kinh tế và Pháp luật 10 - Cánh diều
- Giải sgk Tin học 10 - Cánh diều
- Giải sgk Công nghệ 10 - Cánh diều
- Giải sgk Hoạt động trải nghiệm 10 - Cánh diều
- Giải sgk Giáo dục quốc phòng 10 - Cánh diều


Giải bài tập SGK & SBT
Tài liệu giáo viên
Sách
Khóa học
Thi online
Hỏi đáp

