Các dạng bài tập Tích vô hướng của hai vectơ chọn lọc có lời giải
Bài viết Các dạng bài tập Tích vô hướng của hai vectơ với phương pháp giải chi tiết giúp học sinh ôn tập, biết cách làm bài tập Các dạng bài tập Tích vô hướng của hai vectơ.
Các dạng bài tập Tích vô hướng của hai vectơ chọn lọc có lời giải
(199k) Xem Khóa học Toán 10 KNTTXem Khóa học Toán 10 CDXem Khóa học Toán 10 CTST
Bài giảng: Bài 1: Giá trị lượng giác của một góc bất kì từ 0o đến 180o - Thầy Lê Thành Đạt (Giáo viên VietJack)
Phần dưới là Chuyên đề tổng hợp Lý thuyết và Bài tập Toán 10 Đại số Chương 2: Tích vô hướng của hai vectơ và ứng dụng có đáp án. Bạn vào tên bài hoặc Xem chi tiết để theo dõi các chuyên đề Toán lớp 10 Đại số tương ứng.
Tổng hợp lý thuyết chương Tích vô hướng của hai vectơ và ứng dụng
- Lý thuyết Giá trị lượng giác của một góc bất kì từ 0o đến 180o Xem chi tiết
- Lý thuyết Tích vô hướng của hai vectơ Xem chi tiết
- Lý thuyết Các hệ thức lượng trong tam giác và giải tam giác Xem chi tiết
- Lý thuyết Tổng hợp chương Tích vô hướng của hai vectơ và ứng dụng Xem chi tiết
Các dạng bài tập chương Tích vô hướng và ứng dụng
- Giá trị lượng giác của một góc bất kì từ 0 độ đến 180 độ và cách giải
- Tích vô hướng của hai vectơ và cách giải bài tập
- Hệ thức lượng trong tam giác và cách giải bài tập
- Cách tính độ dài vecto, khoảng cách giữa hai điểm trong hệ tọa độ (cực hay, chi tiết) Xem chi tiết
- Công thức, cách tính góc giữa hai vecto (cực hay, chi tiết) Xem chi tiết
- Cách chứng minh Hai vecto vuông góc (cực hay, chi tiết) Xem chi tiết
- Tìm m để góc giữa hai vecto bằng một số cho trước cực hay (45 độ, góc nhọn, góc tù) Xem chi tiết
- Cách giải bài tập về Định lí Cô-sin trong tam giác (cực hay, chi tiết) Xem chi tiết
- Cách giải bài tập về Định lí Sin trong tam giác (cực hay, chi tiết) Xem chi tiết
- Công thức, cách tính độ dài đường trung tuyến (cực hay, chi tiết) Xem chi tiết
- Công thức, cách tính Diện tích tam giác (cực hay, chi tiết) Xem chi tiết
- Bài tập Công thức Heron tính diện tích tam giác (cực hay, chi tiết) Xem chi tiết
- Cách làm bài tập Giải tam giác lớp 10 (cực hay, chi tiết) Xem chi tiết
- Cách tính bán kính đường tròn ngoại tiếp tam giác (cực hay, chi tiết) Xem chi tiết
- Cách tính bán kính đường tròn nội tiếp tam giác (cực hay, chi tiết) Xem chi tiết
Cách chứng minh Hai vecto vuông góc
A. Phương pháp giải
Phương pháp 1: Sử dụng định nghĩa
Nếu thì hai vectơ
vuông góc với nhau, kí hiệu
.
Phương pháp 2: Sử dụng tính chất của tích vô hướng và áp dụng trong hệ tọa độ
Cho .
Khi đó:
B. Ví dụ minh họa
Ví dụ 1: Cho hai vectơ vuông góc với nhau và
. Chứng minh hai vectơ
vuông góc với nhau.
Hướng dẫn giải:
Ví dụ 2: Cho tứ giác ABCD có . Chứng minh hai vectơ
vuông góc.
Hướng dẫn giải:
Ví dụ 3: Cho tam giác ABC vuông tại A có AB = a, AC = 2a. Gọi M là trung điểm của BC và điểm D bất kỳ thuộc cạnh AC. Tính AD theo a để BD ⊥ AM.
Hướng dẫn giải:
Tìm m để góc giữa hai vecto bằng một số cho trước (45 độ, góc nhọn, góc tù)
A. Phương pháp giải
Các bước làm bài
B. Ví dụ minh họa
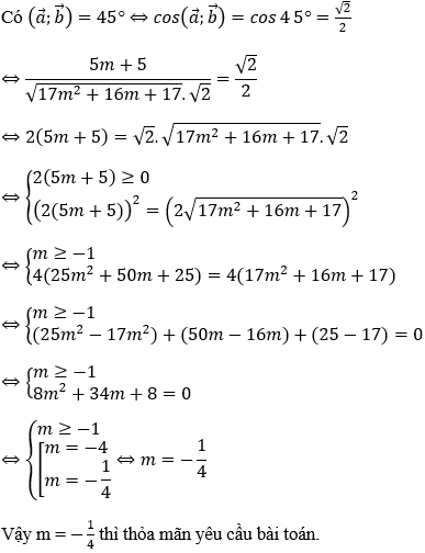
Ví dụ 1: Trong mặt phẳng tọa độ Oxy, cho hai vectơ = (3;m) và
= (1;7). Xác định m để góc giữa hai vectơ
và
là 45°.
Hướng dẫn giải:
Ví dụ 2: Trong mặt phẳng tọa độ Oxy, cho hai vectơ = (-1;1) và
= (m;2). Tìm m để góc giữa hai vectơ
và
là 135°.
Hướng dẫn giải:
Vậy không tồn tại m để góc giữa hai vectơ và
là 135°.
Ví dụ 3: Trong mặt phẳng tọa độ Oxy cho hai vectơ = (4;1) và vectơ
= (1;4). Tìm m để vectơ
=m.
+
tạo với vectơ
một góc 45°.
Hướng dẫn giải:
Đáp án C
Công thức, cách tính độ dài đường trung tuyến
A. Phương pháp giải
Áp dụng công thức tính độ dài đường trung tuyến:
Cho tam giác ABC có các cạnh BC = a, CA = b và AB = c. Gọi ma; mb; mc là độ dài các đường trung tuyến lần lượt vẽ từ các đỉnh A, B và C của tam giác. Khi đó
B. Ví dụ minh họa
Ví dụ 1: Cho tam giác ABC có BC = a = 10 cm, CA = b = 8 cm, AB = c = 7 cm. Tính độ dài các đường trung tuyến của tam giác ABC.
Hướng dẫn giải:
Gọi độ dài trung tuyến từ các đỉnh A, B, C của tam giác ABC lần lượt là ma; mb; mc.
Áp dụng công thức trung tuyến ta có:
Vì độ dài các đường trung tuyến (là độ dài đoạn thẳng) nên nó luôn dương, do đó:
Ví dụ 2: Cho tam giác ABC, có BC = a, CA = b và AB = c. Chứng minh rằng nếu b2 + c2 = 5a2 thì hai trung tuyến kẻ từ B và C của tam giác vuông góc với nhau.
Hướng dẫn giải:
Gọi D và E lần lượt là trung điểm của AB và AC, G là trọng tâm tam giác ABC.
Đặt BE = mb, CD = mc
Áp dụng công thức trung tuyến trong tam giác ABC ta có:
Vậy b2 + c2 = 5a2 thì hai trung tuyến kẻ từ B và C của tam giác vuông góc với nhau. (đpcm)
Ví dụ 3: Cho tam giác ABC có AB = 3, BC = 5 và độ dài đường trung tuyến . Độ dài AC là:
Hướng dẫn giải:
BM là trung tuyến của tam giác ABC, áp dụng công thức trung tuyến ta có:
Đáp án B
(199k) Xem Khóa học Toán 10 KNTTXem Khóa học Toán 10 CDXem Khóa học Toán 10 CTST
Xem thêm các dạng bài tập Toán lớp 10 chọn lọc, có lời giải hay khác:
- Chuyên đề: Mệnh đề - Tập hợp
- Chuyên đề: Hàm số bậc nhất và bậc hai
- Chuyên đề: Phương trình. Hệ phương trình
- Chuyên đề: Bất đẳng thức. Bất phương trình
- Chuyên đề: Thống kê
- Chuyên đề: Cung và góc lượng giác. Công thức lượng giác
- Chuyên đề: Vectơ
- Chuyên đề: Phương pháp tọa độ trong mặt phẳng
Để học tốt lớp 10 các môn học sách mới:
- Giải bài tập Lớp 10 Kết nối tri thức
- Giải bài tập Lớp 10 Chân trời sáng tạo
- Giải bài tập Lớp 10 Cánh diều
Tủ sách VIETJACK shopee lớp 10-11 (cả 3 bộ sách):
Đã có app VietJack trên điện thoại, giải bài tập SGK, SBT Soạn văn, Văn mẫu, Thi online, Bài giảng....miễn phí. Tải ngay ứng dụng trên Android và iOS.
Theo dõi chúng tôi miễn phí trên mạng xã hội facebook và youtube:Nếu thấy hay, hãy động viên và chia sẻ nhé! Các bình luận không phù hợp với nội quy bình luận trang web sẽ bị cấm bình luận vĩnh viễn.
- Giải Tiếng Anh 10 Global Success
- Giải Tiếng Anh 10 Friends Global
- Giải sgk Tiếng Anh 10 iLearn Smart World
- Giải sgk Tiếng Anh 10 Explore New Worlds
- Lớp 10 - Kết nối tri thức
- Soạn văn 10 (hay nhất) - KNTT
- Soạn văn 10 (ngắn nhất) - KNTT
- Soạn văn 10 (siêu ngắn) - KNTT
- Giải sgk Toán 10 - KNTT
- Giải sgk Vật lí 10 - KNTT
- Giải sgk Hóa học 10 - KNTT
- Giải sgk Sinh học 10 - KNTT
- Giải sgk Địa lí 10 - KNTT
- Giải sgk Lịch sử 10 - KNTT
- Giải sgk Kinh tế và Pháp luật 10 - KNTT
- Giải sgk Tin học 10 - KNTT
- Giải sgk Công nghệ 10 - KNTT
- Giải sgk Hoạt động trải nghiệm 10 - KNTT
- Giải sgk Giáo dục quốc phòng 10 - KNTT
- Lớp 10 - Chân trời sáng tạo
- Soạn văn 10 (hay nhất) - CTST
- Soạn văn 10 (ngắn nhất) - CTST
- Soạn văn 10 (siêu ngắn) - CTST
- Giải Toán 10 - CTST
- Giải sgk Vật lí 10 - CTST
- Giải sgk Hóa học 10 - CTST
- Giải sgk Sinh học 10 - CTST
- Giải sgk Địa lí 10 - CTST
- Giải sgk Lịch sử 10 - CTST
- Giải sgk Kinh tế và Pháp luật 10 - CTST
- Giải sgk Hoạt động trải nghiệm 10 - CTST
- Lớp 10 - Cánh diều
- Soạn văn 10 (hay nhất) - Cánh diều
- Soạn văn 10 (ngắn nhất) - Cánh diều
- Soạn văn 10 (siêu ngắn) - Cánh diều
- Giải sgk Toán 10 - Cánh diều
- Giải sgk Vật lí 10 - Cánh diều
- Giải sgk Hóa học 10 - Cánh diều
- Giải sgk Sinh học 10 - Cánh diều
- Giải sgk Địa lí 10 - Cánh diều
- Giải sgk Lịch sử 10 - Cánh diều
- Giải sgk Kinh tế và Pháp luật 10 - Cánh diều
- Giải sgk Tin học 10 - Cánh diều
- Giải sgk Công nghệ 10 - Cánh diều
- Giải sgk Hoạt động trải nghiệm 10 - Cánh diều
- Giải sgk Giáo dục quốc phòng 10 - Cánh diều


Giải bài tập SGK & SBT
Tài liệu giáo viên
Sách
Khóa học
Thi online
Hỏi đáp

