60 bài tập trắc nghiệm hàm số lượng giác có đáp án (phần 1)
Với 60 bài tập trắc nghiệm hàm số lượng giác (phần 1) có lời giải chi tiết sẽ giúp học sinh ôn tập, biết cách làm bài tập trắc nghiệm hàm số lượng giác (phần 1).
60 bài tập trắc nghiệm hàm số lượng giác có đáp án (phần 1)
(199k) Xem Khóa học Toán 11 KNTTXem Khóa học Toán 11 CDXem Khóa học Toán 11 CTST
Bài 1: Hàm số y= 3tan( 2x - π/6) có tập xác định là:
Lời giải:
Đáp án: D
ĐKXĐ: cos(2x - π/6) ≠ 0
Bài 2: Cho hàm số y = tanx – cotx. Khoảng mà hàm số xác định là:
Lời giải:
Đáp án: D
Vậy trong đoạn (0, 2π) thì x ≠ π/2; π; 3π/2. Chọn D
Bài 3: Hãy chỉ ra hàm số chẵn trong các hàm số sau:
A.y = sinx B.y= sinx + cotx
C.y= sin(π/2-x) D.y= sinx.cos2x
Lời giải:
Đáp án: C
Ta có các hàm số sinx, cotx là các hàm số lẻ, sin(π/2 - x) = cosx mà cosx là hàm chẵn nên chọn C.
Bài 4: Hãy chỉ ra hàm số lẻ trong các hàm số sau:
A.y= cos2x.cos(π/2-x) B.y= sin2xcosx
C.y= sinx – cosx D.y= xsinx
Lời giải:
Đáp án: A
Bằng các dùng định nghĩa hàm số lẻ để kiểm tra từng đáp án. Ta có y= cos2x.cos(π/2 - x) = cos2x.sinx là hàm lẻ. chọn A
Bài 5: Hàm số nào sau đây không có tính chẵn, lẻ?
A.y= cos2xcos(π/2-x) B.y= sin2x.cosx
C.y= sinx – cosx D.y= x.sinx
Lời giải:
Đáp án: C
Kiểm tra từng đáp án ta có câu C là đáp án đúng do sin(-x) – cos(-x) = -sinx – cosx ≠ - (sinx – cosx). Chọn C
Bài 6: Hàm số y = tanx xác định trong tập nào sau đây?
Lời giải:
Đáp án: A
ĐKXĐ cosx ≠ 0 ⇔ x ≠ π/2 + kπ, k ∈ Z. Đáp án A.
Bài 7: Cho hàm số y= 2sin(x/2), hãy chỉ ra mệnh đề sai trong bốn mệnh đề sau:
A. Hàm số đã cho là hàm số lẻ.
B. Hàm số đã cho có giá trị lớn nhất bằng 2.
C. Hàm số đã cho có chu kì 4π.
D. Trong ba mệnh đề trên có ít nhất một mệnh đề sai.
Lời giải:
Đáp án: A
Ta có 2sin(-x/2) = -2sin (x/2). Vậy hàm đã cho là hàm lẻ, câu A đúng.
|sin (x/2)| ≤ 1 nên y ≤ 2. Vậy hàm số có giá trị lớn nhất bằng 2, câu B đúng.
Hàm số y = 2sin(x/2) là hàm số tuần hoàn với chu kì 2π/0.5 = 4π. Vậy câu C đúng. Từ đó đáp án sai là D.
Bài 8: Hãy chỉ ra hàm số tuần hoàn trong các hàm số sau:
Lời giải:
Đáp án: B
Hàm số y = sinu(x) là hàm tuần hoàn. Vậy y = sin3x là hàm tuần hoàn, chọn B
Bài 9: Hàm số sau có tập xác định là:
A.R\{kπ,k ∈ Z} B.R
C.R\{k2π,k ∈ Z} D.R\{π/2+k2π, k ∈ Z}
Lời giải:
Đáp án: C
ĐKXĐ: cosx ≠ 1 ⇔ x ≠ k2π, k ∈ Z. Chọn C
Bài 10: Chu kì của hàm số y = tan (x/2) là:
A.2π B.4π C.π D.π/2
Lời giải:
Đáp án: A
Chu kì của hàm số đã cho là: π/0.5 = 2π. Chọn A
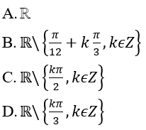
Bài 11: Tìm tập xác định D của hàm số y = (sinx + 2)/ (sinx.cos2x)
Lời giải:
Đáp án: A
Bài 12: Chu kì của hàm số y = sin5x là:
A.2π B.5π C.10π D.2π/5
Lời giải:
Đáp án: D
Chu kì của hàm số đã cho là: 2π/5. Chọn D
Bài 13: Chu kì của hàm số y = sin (x/3) là
A.2π B.6π C.π/3 D. 2π/3
Lời giải:
Đáp án: B
Chu kì của hàm
số đã cho là: 2π/ (1/3) = 6π. Chọn B
Bài 14: Hàm số sau có tập xác định:
Lời giải:
Đáp án: B
Bài 15: Tìm tập giá trị của hàm số sau:
A. D = [0,+∞) B. D = ∅
C. D = R D. D = [1,√3]
Lời giải:
Đáp án: D
Ta có -1 ≤ sinx ≤ 1 nên 1 ≤ sinx + 2 ≤ 3. Đáp án D.
Bài 16: Trong các hàm số sau, hàm số nào là hàm số lẻ?
A. y = cosx + (sinx)2 B. y = sin x + cosx
C. y = -cosx D. y = sinx.cos3x
Lời giải:
Đáp án: D
Ta có sin(-x).cos(-3x) = -sinx.cos3x. Đáp án D.
Bài 17: Chu kì của hàm số y = cos(x/2) + sinx là:
A.0 B.2π C.4π D.6π
Lời giải:
Đáp án: C
Chu kì của hàm số y = cos(x/2) là 4π. Chu kì của hàm số y = sinx là 2π. Vậy chu kì của hàm số đã cho là bội chung nhỏ nhất của hai hàm số trên là 4π. Chọn C.
Bài 18: Tập xác định D của hàm số sau là
Lời giải:
Đáp án: B
Bài 19: Trong các hàm số sau, hàm số nào là hàm số chẵn?
A. y = sinx B. y = cosx C. y = tan x D. y = cotx
Lời giải:
Đáp án: B
Sử dụng định nghĩa để kiểm tra tính chẵn, lẻ. Ta có hàm số chẵn là y = cosx. Đáp án B.
Bài 20: Trong các hàm số sau, hàm số nào có đồ thị đối xứng qua gốc tọa độ?
Lời giải:
Đáp án: A
Hàm số lẻ có đồ thị đối xứng qua gốc tọa độ. Bằng cách kiểm tra tính chẵn, lẻ ta có y = cot4x là một hàm số lẻ. Đáp án A.
Bài 21: Giá trị nhỏ nhất của hàm số y = 2 + sinxcosx là:
A.1 B.3/2 C.2 D.Một số khác
Lời giải:
Đáp án: B
Ta có -1 ≤ sin2x ≤ 1. Vậy y ≥ 3/2. Vậy min y = 3/2. Chọn B
Bài 22: Trong các hàm số sau, hàm số nào có đồ thị đối xứng qua trục tung?
Lời giải:
Đáp án: B
Hàm số chẵn có đồ thị đối xứng qua trục tung. Ta có hàm số
y = sin3 x.cos(x - π/2) = sin4 x là một hàm số chẵn. Đáp án B.
Bài 23: Giá trị lớn nhất của hàm số y = 3sinx + 4cosx là:
A.3 B.4 C.5 D.7
Lời giải:
Đáp án: C
với cosα = 3/5, sinα = 4/5. Mà sin(x+ α ) ≤ 1. Nên y ≤ 5. Vậy max y = 5. Chọn C.
Bài 24: Tìm tập giá trị của hàm số sau: y = 2017/sinx
A. D = R\ {0} B. D = [-2017,2017]
C. D = R D. D = (-∞,-2017] ∪ [2017,+∞)
Lời giải:
Đáp án: D
Ta có -1 ≤ sinx ≤ 1
Bài 25: Hàm số y = 1/(sinx-cosx) có tập xác định là:
A. ℝ\{kπ,k ∈ Z}
B. ℝ\{k2π,k ∈ Z}
C. ℝ\{π/2+kπ,k ∈ Z}
D. ℝ\{π/4+kπ,k ∈ Z}
Lời giải:
Đáp án: D
ĐKXĐ: sinx ≠ cosx ⇔ tanx ≠ 1 ⇔ x ≠ π/4 + kπ, k ∈ Z. Chọn D.
Bài 26: Hàm số sau có tập xác định là:
Lời giải:
Đáp án: B
Bài 27: Tập xác định của hàm số y = sin√x là:
A.ℝ B.ℝ\{0} C.[0;+∞) D.(0;- ∞)
Lời giải:
Đáp án: C
ĐKXĐ: x ≥ 0. Chọn C.
Bài 28: Hàm số y = 2sinxcosx + cos2x có giá trị lớn nhất là
A.3 B.2√2 C.2 D.√2
Lời giải:
Đáp án: D
y = 2sinxcosx + cos2x = sin2x + cos2x = √2 sin(x + π/4). Vậy max y = √2. Chọn D
Bài 29: Hàm số y = 2cos2x – 1 là hàm tuần hoàn với chu kì:
A.T = π. B.T = 2π. C.T = π2 D.T = π/2.
Lời giải:
Đáp án: A
y = 2cos2x – 1 = cos2x. Vậy hàm số đã cho tuần hoàn với chu kì π. Chọn A.
Bài 30: Tìm tập xác định của hàm số sau: y = 2017/sinx
A. D = R B. D = R\ {kπ, k ∈ Z}
C. D = R\{0} D. D = R\ {π/2+kπ, k ∈ Z}
Lời giải:
Đáp án: B
ĐKXĐ: sinx ≠ 0 ⇔ x ≠ kπ , k ∈ Z. Đáp án B
(199k) Xem Khóa học Toán 11 KNTTXem Khóa học Toán 11 CDXem Khóa học Toán 11 CTST
Xem thêm các dạng bài tập Toán lớp 11 có trong đề thi THPT Quốc gia khác:
- Dạng 1: Tập xác định, tập giá trị của hàm số lượng giác
- Trắc nghiệm tập xác định, tập giá trị của hàm số lượng giác
- Dạng 2: Tính chẵn, lẻ và chu kì của hàm số lượng giác
- Trắc nghiệm tính chẵn, lẻ và chu kì của hàm số lượng giác
- 60 bài tập trắc nghiệm hàm số lượng giác có đáp án (phần 2)
Tủ sách VIETJACK shopee lớp 10-11 (cả 3 bộ sách):
Đã có app VietJack trên điện thoại, giải bài tập SGK, SBT Soạn văn, Văn mẫu, Thi online, Bài giảng....miễn phí. Tải ngay ứng dụng trên Android và iOS.
Theo dõi chúng tôi miễn phí trên mạng xã hội facebook và youtube:Nếu thấy hay, hãy động viên và chia sẻ nhé! Các bình luận không phù hợp với nội quy bình luận trang web sẽ bị cấm bình luận vĩnh viễn.
- Giải Tiếng Anh 11 Global Success
- Giải sgk Tiếng Anh 11 Smart World
- Giải sgk Tiếng Anh 11 Friends Global
- Lớp 11 - Kết nối tri thức
- Soạn văn 11 (hay nhất) - KNTT
- Soạn văn 11 (ngắn nhất) - KNTT
- Giải sgk Toán 11 - KNTT
- Giải sgk Vật Lí 11 - KNTT
- Giải sgk Hóa học 11 - KNTT
- Giải sgk Sinh học 11 - KNTT
- Giải sgk Lịch Sử 11 - KNTT
- Giải sgk Địa Lí 11 - KNTT
- Giải sgk Giáo dục KTPL 11 - KNTT
- Giải sgk Tin học 11 - KNTT
- Giải sgk Công nghệ 11 - KNTT
- Giải sgk Hoạt động trải nghiệm 11 - KNTT
- Giải sgk Giáo dục quốc phòng 11 - KNTT
- Giải sgk Âm nhạc 11 - KNTT
- Lớp 11 - Chân trời sáng tạo
- Soạn văn 11 (hay nhất) - CTST
- Soạn văn 11 (ngắn nhất) - CTST
- Giải sgk Toán 11 - CTST
- Giải sgk Vật Lí 11 - CTST
- Giải sgk Hóa học 11 - CTST
- Giải sgk Sinh học 11 - CTST
- Giải sgk Lịch Sử 11 - CTST
- Giải sgk Địa Lí 11 - CTST
- Giải sgk Giáo dục KTPL 11 - CTST
- Giải sgk Hoạt động trải nghiệm 11 - CTST
- Giải sgk Âm nhạc 11 - CTST
- Lớp 11 - Cánh diều
- Soạn văn 11 Cánh diều (hay nhất)
- Soạn văn 11 Cánh diều (ngắn nhất)
- Giải sgk Toán 11 - Cánh diều
- Giải sgk Vật Lí 11 - Cánh diều
- Giải sgk Hóa học 11 - Cánh diều
- Giải sgk Sinh học 11 - Cánh diều
- Giải sgk Lịch Sử 11 - Cánh diều
- Giải sgk Địa Lí 11 - Cánh diều
- Giải sgk Giáo dục KTPL 11 - Cánh diều
- Giải sgk Tin học 11 - Cánh diều
- Giải sgk Công nghệ 11 - Cánh diều
- Giải sgk Hoạt động trải nghiệm 11 - Cánh diều
- Giải sgk Giáo dục quốc phòng 11 - Cánh diều
- Giải sgk Âm nhạc 11 - Cánh diều


Giải bài tập SGK & SBT
Tài liệu giáo viên
Sách
Khóa học
Thi online
Hỏi đáp

