60 bài tập trắc nghiệm Xác suất chọn lọc, có lời giải (phần 1)
Với 60 bài tập trắc nghiệm Xác suất (phần 1) có lời giải chi tiết sẽ giúp học sinh ôn tập, biết cách làm bài tập trắc nghiệm Xác suất (phần 1).
60 bài tập trắc nghiệm Xác suất chọn lọc, có lời giải (phần 1)
(199k) Xem Khóa học Toán 11 KNTTXem Khóa học Toán 11 CDXem Khóa học Toán 11 CTST
Bài 1: Một hộp chứa 7 bi xanh, 5 bi đỏ, 3 bi vàng. Xác suất để trong lần thứ nhất bốc được một bi mà không phải là bi đỏ là:
A. 1/3. B. 2/3. C. 10/21. D. 11/21.
Lời giải:
Đáp án: B
Chọn B.
+ Số phần tử của không gian mẫu là : n(Ω)=15
+ Gọi biến cố A " lần thứ nhất bốc được một bi mà không phải bi đỏ "
Ta có : n(A)=10
Bài 2: Một chứa 6 bi đỏ, 7 bi xanh. Nếu chọn ngẫu nhiên 5 bi từ hộp này. Thì xác suất đúng đến phần trăm để có đúng 2 bi đỏ là:
A. 0,14. B. 0,41 C. 0,28. D. 0,34.
Lời giải:
Đáp án: B
Chọn B.
Bài 3: Một hộp chứa 6 bi xanh, 7 bi đỏ. Nếu chọn ngẫu nhiên 2 bi từ hộp này. Thì xác suất để được 2 bi cùng màu là:
A. 0,46. B. 0,51. C. 0,55. D. 0,64.
Lời giải:
Đáp án: A
Chọn A.
+ Số phần tử của không gian mẫu là : n(Ω)=6
+ Gọi biến cố A " hai viên bi được chọn cùng màu"
Ta có : n(A)=13
Bài 4: Một hộp chứa 3 bi xanh, 2 bi đỏ, 4 bi vàng. Lấy ngẫu nhiên 3 bi. Xác suất để đúng một bi đỏ là:
A. 1/3. B. 2/5. C. 1/2. D. 3/5.
Lời giải:
Đáp án: C
Chọn C.
Bài 5: Có 3 chiếc hộp. Hộp A chứa 3 bi đỏ, 5 bi trắng. Hộp B chứa 2 bi đỏ, hai bi vàng. Hộp C chứa 2 bi đỏ, 3 bi xanh. Lấy ngẫu nhiên một hộp rồi lấy một bi từ hộp đó. Xác suất để được một bi đỏ là:
A. 1/8. B. 1/6. C. 2/15. D. 17/40.
Lời giải:
Đáp án: D
Chọn D.
Lấy ngẫu nhiên một hộp
Gọi C1 là biến cố lấy được hộp A
Gọi C2 là biến cố lấy được hộp B
Gọi C3 là biến cố lấy được hộp C
Vậy P(C1 )=P(C2 )=P(C3 )=1/3
Gọi C là biến cố " lấy ngẫu nhiên một hộp, trong hộp đó lại lấy ngẫu nhiên một viên bi và được bi đỏ " là C=(C ∩ C1 ) ∪ (C ∩ C2 ) ∪ (C ∩ C3 )
Bài 6: Cho phép thử có không gian mẫu Ω={1,2,3,4,5,6}. Các cặp biến cố không đối nhau là:
A. A={1} và B={2,3,4,5,6} B. A={1,4,5} và B={2,3,6}
C. A={1,4,6} và B={2,3} D. Ω
Lời giải:
Đáp án: C
Chọn C.
Cặp biến cố không đối nhau là E={1,4,6} và F={2,3}
Bài 7: Một hộp đựng 10 thẻ, đánh số từ đến 10. Chọn ngẫu nhiên 3 thẻ. Gọi A là biến cố để tổng số của thẻ được chọn không vượt quá 8. Số phần tử của biến cố A là:
A. 2. B.3. C.4. D. 5.
Lời giải:
Đáp án: C
Chọn C.
Liệt kê ta có: A={(1,2,3);(1,2,4);(1,2,5);(1,3,4)}
Bài 8: Xét phép thử tung con súc sắc 6 mặt hai lần. Xác định số phần tử của không gian mẫu
A. 36 B. 40 C. 38 D. 35
Lời giải:
Đáp án: A
Chọn A.
Không gian mẫu gồm các bộ (i,j), trong đó i,j ∈ {1,2,3,4,5,6}
i nhận 6 giá trị,j cũng nhận 6 giá trị nên có 6.6=36 bộ
Vậy. n(Ω)=36
Bài 9: Cho A là một biến cố liên quan phép thử T. Mệnh đề nào sau đây là mệnh đề đúng ?
Lời giải:
Đáp án: B
Chọn B
Loại trừ :A ;B ;C đều sai
Bài 10: Gieo đồng tiền hai lần. Xác suất để sau hai lần gieo thì mặt sấp xuất hiện ít nhất một lần
A. 1/4. B. 1/2. C. 3/4. D. 1/3.
Lời giải:
Đáp án: C
Chọn C.
Số phần tử không gian mẫu: n(Ω)=2.2=4
Biến cố xuất hiện mặt sấp ít nhất một lần: A={SN,NS,SS}
Bài 11: Gieo đồng tiền lần cân đối và đồng chất. Xác suất để được ít nhất một lần xuất hiện mặt sấp là:
A. 31/32. B. 21/32. C. 11/32. D. 1/32.
Lời giải:
Đáp án: A
Chọn A.
Phép thử : Gieo đồng tiền 5 lần cân đối và đồng chất
Ta có n(Ω)=25
Biến cố A : Được ít nhất một lần xuất hiện mặt sấp
B: Tất cả đều là mặt ngửa
Bài 12: Một lớp có 20 học sinh nam và 18 học sinh nữ. Chọn ngẫu nhiên một học sinh. Tính xác suất chọn được một học sinh nữ.
A. 1/38 B. 10/19 C. 9/19 D. 19/9
Lời giải:
Đáp án: C
Chọn đáp án: C.
Gọi A là biến cố: "chọn được một học sinh nữ."
Bài 13: Một tổ học sinh có 7 nam và 3 nữ. Chọn ngẫu nhiên 2 người. Tính xác suất sao cho 2 người được chọn có đúng một người nữ.
A. 1/15 B. 7/15 C. 8/15 D. 1/5
Lời giải:
Đáp án: B
Chọn đáp án: B.
Gọi A là biến cố: "2 người được chọn có đúng một người nữ."
Bài 14: Chọn ngẫu nhiên một số có 2 chữ số từ các số 00 đến 99. Xác suất để có một con số tận cùng là 0 là:
A.0.1. B. 0.2. C. 0.3. D. 0.4.
Lời giải:
Đáp án: A
Chọn A.
Phép thử : Chọn một số có hai chữ số bất kì
Ta có n(Ω)=100
Biến cố A : Chọn số lẻ và chia hết cho 9 là các số 09, 81, 27, 63, 45, 99
Bài 15: Chọn ngẫu nhiên một số có hai chữ số từ các số 00 đến 99. Xác suất để có một con số lẻ và chia hết cho 9 :
A. 0.12 B. 0.6. C.0.06. D. 0.01.
Lời giải:
Đáp án: C
Chọn C.
Phép thử : Chọn một số có hai chữ số bất kì
Ta có n(Ω)=100
Biến cố A : Chọn số lẻ và chia hết cho 9 là các số 09, 81, 27, 63, 45, 99
⇒ n(A)=6
Bài 16: Từ ác chữ số 1,2,3,4 nhười ta lập các số tự nhiên có 3 chữ số khác nhau. Tính số phần tử không gian mẫu
A. 16 B. 24 C. 6 D. 4
Lời giải:
Đáp án: B
Ta lập được 4! =24 số
Bài 17: Từ các chữ số 1,2,3,4 người ta lập các số tự nhiên có 3 chữ số khác nhau.
Phát biểu biến cố A={123,234,124,134} dưới dạng mệnh đề
A. Số tự nhiên có ba chữ số được thành lập từ các chữ số 1,2,3,4
B. Số tự nhiên có ba chữ số được thành lập có chữ số đứng sau lớn hơn chữ số đứng trước
C. Số tự nhiên có ba chữ số được thành lập chia hết cho 2 hoặc 3
D. Số tự nhiên có ba chữ số được thành lập có chữ số tận cùng là 3 hoặc 4
Lời giải:
Đáp án: B
Ta thấy chữ số hàng chục lớn hơn chữ số hàng trăm, chữ số hàng đơn vị lớn hơn chữ số hàng chục chọn B
Bài 18: Một cái túi chứa 3 viên bi đỏ và 5 bi xanh, 6 viên bi vàng. Chọn ngẫu nhiên 3 viên bi. Xác suất để 3 viên bi có cả ba màu đỏ, xanh, vàng là:
A. 1/14 B. 45/182 C. 1/90 D. 1/364
Lời giải:
Đáp án: B
Xem việc tung con súc sắc là một phép thử ngẫu nhiên
Số lần thực hiện phép thử: N=100
Số lần xuất hiện của biến cố A: 12
Suy ra P(A)=12/ 100= 3/25
Số lần xuất hiện của biến cố B: 18
Suy ra P(B)= 18/ 100= 9/ 50
Số lần xuất hiện của biến cố C: 14+30+14=58
Suy ra P(B)= 58/ 100)= 29/ 50.
Bài 19: Gieo 3 con súc sắc cân đối, đồng chất và quan sát số chấm xuất hiện. Khi đó Xác suất để tổng số chấm xuất hiện trên mặt ba con súc sắc bằng 12 là
A. 25/216 B. 1/8 C. 1/6 D. 1/3
Lời giải:
Đáp án: A
1. Ta có:
2. Ta có:
Ta có:
Ta có: Số cách lấy 6 viên bi cùng một màu: 245 cách
Số cách lấy 6 viên bi gồm hai màu:
Suy ra n(C)=177100-35455-245=141400. Vậy P(C)=202/253.
Bài 20: Hai xạ thủ cùng bắn mỗi nhười một viên đạn vào bia một cách độc lập với nhau. Xác suất bắn trúng bia của hai xạ thủ lần lượt là 1/2 và 1/3
Tính xác suất của biến cố X:"cả hai xạ thủ đều bắn trúng bia"
A. 5/6 B. 1/6 C. 2/3 D. 1/3
Lời giải:
Đáp án: B
Gọi A là biến cố "Xạ thủ thứ i bắn trúng bia" i = 1,2.
Khi đó, P(A1) =1/2; P(A2) = 1/3; A1 và A2 độc lập với nhau
X =A1∩ A2 nên P(X) = P(A1∩ A2) = P(A1.A2) = P(A1).P(A2) = 1/6
Chọn đáp án là B
Bài 21: Lớp 11B có 25 đoàn viên trong đó có 10 nam và 15 nữ. Cho ngẫu nhiên 3 đoàn viên trong lớp để tham dự hội trại ngày 26 tháng 3. Tính xác suất để 3 đoàn viên được chọn có 2 nam và 1 nữ.
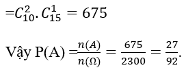
A. 3/115 B. 27/92 C. 9/92 D. 7/920
Lời giải:
Đáp án: D
Chọn 3 đoàn viên trong 25 đoàn viên thì có cách chọn,
do đó ta có: n(Ω) = = 2300 phần tử
Có 10 đoàn viên nam chọn 2 đoàn viên thì có cách chọn;
có 15 đoàn viên nữ chọn 1 nữ thì có cách chọn.
Gọi A là biến cố:"3 đoàn viên được chọn có 2 nam và 1 nữ" thì số phần tử của tập A là n(A)
Bài 22: Một túi chứa 2 bi trắng và 3 bi đen. Rút ra 3 bi. Xác suất để được ít nhất 1 bi trắng là:
A. 1/5. B. 1/10. C. 9/10. D. 4/5.
Lời giải:
Đáp án: C
Bài 23: Một hộp đựng 4 bi xanh và 6 bi đỏ lần lượt rút 2 viên bi. Xác suất để rút được một bi xanh và 1 bi đỏ là:
A. 2/15. B. 6/25. C. 8/25. D. 4/15.
Lời giải:
Đáp án: D
Phép thử : Rút lần lượt hai viên bi
Ta có n(Ω)=9.10=90
Biến cố A : Rút được một bi xanh, một bi đỏ n(Ω)=4.6=24
Bài 24: Một bình đựng 5 quả cầu xanh và 4 quả cầu đỏ và 3 quả cầu vàng. Chọn ngẫu nhiên 3 quả cầu. Xác suất để được 3 quả cầu khác màu là:
A. 3/5. B. 3/7. C. 3/11. D. 3/14.
Lời giải:
Đáp án: C
Phép thử : Rút ngẫu nhiên ba quả cầu
Ta có n(Ω)=220
Biến cố A : Rút được ba qua cầu khác màu n(A)=5.4.3=60
Bài 25: Một bình đựng 5 viên bi xanh và 3 viên bi đỏ (các viên bi chỉ khác nhau về màu sắc). Lấy ngẫu nhiên một viên bi, rồi lấy ngẫu nhiên một viên bi nữa. Khi tính xác suất của biến cố "Lấy lần thứ hai được một viên bi xanh", ta được kết quả
A. 5/8 B. 5/9 C. 5/7 D. 4/7
Lời giải:
Đáp án: A
Chọn A.
Gọi A là biến cố "Lấy lần thứ hai được một viên bi xanh". Có hai trường hợp xảy ra
Trường hợp 1. Lấy lần thứ nhất được bi xanh, lấy lần thứ hai cũng được một bi xanh. Xác suất trong trường hợp này là
Trường hợp 2. Lấy lần thứ nhất được bi đỏ, lấy lần thứ hai được bi xanh. Xác suất trong trường hợp này là
Vậy P(A)= P1+ P2=5/8
Bài 26: Một hộp có hai bi trắng được đánh số từ 1 đến 2, 3 viên bi xanh được đánh số từ 3 đến 5 và 2 viên bi đỏ được đánh số từ 6 đến 7. Lấy ngẫu nhiên hai viên bi:
Mô tả không gian mẫu
A. Ω={(m,n)|1 ≤ m ≤ 7,1 ≤ n ≤ 7}
B. Ω={(m,n)|1 ≤ m ≤ 7,1 ≤ n ≤ 7,m ≠ n}
C. Ω={(m,n)|1 ≤ m ≤ 5,6 ≤ n ≤ 7}
D. Ω={(m,n)|1 ≤ m ≤ 3,4 ≤ n ≤ 7}
Lời giải:
Đáp án: B
Mỗi viên bi đánh một số, nên 2 viên bi lấy ra mang số khác nhau. Vậy
Ω={(m,n)|1 ≤ n ≤ 7 và m ≠ n}
Bài 27: Một hộp có hai bi trắng được đánh số từ 1 đến 2, 3 viên bi xanh được đánh số từ 3 đến 5 và 2 viên bi đỏ được đánh số từ 6 đến 7. Lấy ngẫu nhiên hai viên bi:
Số phần tử của không gian mẫu là:
A. 49 B. 42 C. 10 D. 12
Lời giải:
Đáp án: B
Mỗi phần tử của không gian mẫu là một chỉnh hợp chập 2 của 7
vì vậy số phần tử của không gian mẫu là
Bài 28: Một hộp có hai bi trắng được đánh số từ 1 đến 2, 3 viên bi xanh được đánh số từ 3 đến 5 và 2 viên bi đỏ được đánh số từ 6 đến 7. Lấy ngẫu nhiên hai viên bi:
Phát biểu biến cố M={(1,2),(3,4),(3,5),(4,5),(6,7)} dưới dạng mệnh đề
A. Hai bi lấy ra cùng màu trắng
B. Hai bi lấy ra cùng màu xanh
C. Hiệu hai số của hai bi không lớn hơn hai
D. Hai bi lấy ra cùng màu
Lời giải:
Đáp án: D
Bài 29: Chọn ngẫu nhiên 5 sản phẩm trong 10 sản phẩm. Biết rằng trong 10 sản phẩm đó có 2 phế phẩm. Tính xác suất để trong 5 sản phẩm được chọn có đúng 1 phế phẩm
A. 2/5 B. 5/.9 C. 2/9 D. 7/9
Lời giải:
Đáp án: B
Gọi C là biến cố:" trong 5 sản phẩm được chọn có đúng một phế phẩm"
Bài 30: Trong một buổi liên hoan có 6 cặp nam nữ, trong đó có 3 cặp là vợ chồng. Chọn ngẫu nhiên 3 người trong số đó tham gia trò chơi
Tính xác suất để trong 3 người được chọn có đúng 1 người là nam
A. 1/4 B. 9/22 C. 1/11 D. 19/22
Lời giải:
Đáp án: B
Số khả năng chọn ngẫu nhiên 3 người từ 6*2= 12 người là
a. Gọi A là biến cố:" trong 3 người được chọn có đúng 1 nam"
(199k) Xem Khóa học Toán 11 KNTTXem Khóa học Toán 11 CDXem Khóa học Toán 11 CTST
Xem thêm các dạng bài tập Toán lớp 11 có trong đề thi THPT Quốc gia khác:
- Dạng 1: Xác định phép thử, không gian mẫu và biến cố
- Trắc nghiệm xác định phép thử, không gian mẫu và biến cố
- Dạng 2: Tính xác suất theo định nghĩa cổ điển
- Trắc nghiệm tính xác suất theo định nghĩa cổ điển
- Dạng 3: Các quy tắc tính xác suất
- Trắc nghiệm các quy tắc tính xác suất
- 60 bài tập trắc nghiệm Xác suất chọn lọc, có lời giải (phần 2)
Tủ sách VIETJACK shopee lớp 10-11 (cả 3 bộ sách):
Đã có app VietJack trên điện thoại, giải bài tập SGK, SBT Soạn văn, Văn mẫu, Thi online, Bài giảng....miễn phí. Tải ngay ứng dụng trên Android và iOS.
Theo dõi chúng tôi miễn phí trên mạng xã hội facebook và youtube:Nếu thấy hay, hãy động viên và chia sẻ nhé! Các bình luận không phù hợp với nội quy bình luận trang web sẽ bị cấm bình luận vĩnh viễn.
- Giải Tiếng Anh 11 Global Success
- Giải sgk Tiếng Anh 11 Smart World
- Giải sgk Tiếng Anh 11 Friends Global
- Lớp 11 - Kết nối tri thức
- Soạn văn 11 (hay nhất) - KNTT
- Soạn văn 11 (ngắn nhất) - KNTT
- Giải sgk Toán 11 - KNTT
- Giải sgk Vật Lí 11 - KNTT
- Giải sgk Hóa học 11 - KNTT
- Giải sgk Sinh học 11 - KNTT
- Giải sgk Lịch Sử 11 - KNTT
- Giải sgk Địa Lí 11 - KNTT
- Giải sgk Giáo dục KTPL 11 - KNTT
- Giải sgk Tin học 11 - KNTT
- Giải sgk Công nghệ 11 - KNTT
- Giải sgk Hoạt động trải nghiệm 11 - KNTT
- Giải sgk Giáo dục quốc phòng 11 - KNTT
- Giải sgk Âm nhạc 11 - KNTT
- Lớp 11 - Chân trời sáng tạo
- Soạn văn 11 (hay nhất) - CTST
- Soạn văn 11 (ngắn nhất) - CTST
- Giải sgk Toán 11 - CTST
- Giải sgk Vật Lí 11 - CTST
- Giải sgk Hóa học 11 - CTST
- Giải sgk Sinh học 11 - CTST
- Giải sgk Lịch Sử 11 - CTST
- Giải sgk Địa Lí 11 - CTST
- Giải sgk Giáo dục KTPL 11 - CTST
- Giải sgk Hoạt động trải nghiệm 11 - CTST
- Giải sgk Âm nhạc 11 - CTST
- Lớp 11 - Cánh diều
- Soạn văn 11 Cánh diều (hay nhất)
- Soạn văn 11 Cánh diều (ngắn nhất)
- Giải sgk Toán 11 - Cánh diều
- Giải sgk Vật Lí 11 - Cánh diều
- Giải sgk Hóa học 11 - Cánh diều
- Giải sgk Sinh học 11 - Cánh diều
- Giải sgk Lịch Sử 11 - Cánh diều
- Giải sgk Địa Lí 11 - Cánh diều
- Giải sgk Giáo dục KTPL 11 - Cánh diều
- Giải sgk Tin học 11 - Cánh diều
- Giải sgk Công nghệ 11 - Cánh diều
- Giải sgk Hoạt động trải nghiệm 11 - Cánh diều
- Giải sgk Giáo dục quốc phòng 11 - Cánh diều
- Giải sgk Âm nhạc 11 - Cánh diều


Giải bài tập SGK & SBT
Tài liệu giáo viên
Sách
Khóa học
Thi online
Hỏi đáp

