Bài tập trắc nghiệm Hàm số lớp 7 (có đáp án)
Bài tập trắc nghiệm Hàm số lớp 7 (có đáp án)
(199k) Học Toán 7 KNTTHọc Toán 7 CTSTHọc Toán 7 CD
Câu 1: Bảng giá trị sau. Chọn câu đúng:
A. Đại lượng y là hàm số của đại lượng x
B. Đại lượng y không là hàm số của đại lượng x
C. Đại lượng y tỉ lê thuận với đại lượng x
D. Đại lượng y tỉ lê nghịch với đại lượng x
Lời giải:
Từ bảng giá trị ta thấy với mỗi giá trị của x ta luôn xác định được chỉ một giá trị tương ứng của y nên đại lượng y là hàm số của đại lượng x.
Đáp án cần chọn là: A
Câu 2: Bảng giá trị sau. Chọn câu đúng
A. Đại lượng y là hàm số của đại lượng x
B. Đại lượng y không là hàm số của đại lượng x
C. Đại lượng y tỉ lê thuận với đại lượng x
D. Đại lượng y tỉ lê nghịch với đại lượng x
Lời giải:
Từ bảng giá trị ta thấy với mỗi giá trị của x ta luôn xác định được chỉ một giá trị tương ứng của y nên đại lượng y là hàm số của đại lượng x.
Đáp án cần chọn là: A
Câu 3: Cho các công thức y-3 = x ; -2y = x ; y2 = x. Có bao nhiêu công thức chứng tỏ rằng y là hàm số của x?
A. 0
B. 1
C. 2
D. 3
Lời giải:
Nhận thấy y - 3 = x ⇒ y = x + 3 là một hàm số
là một hàm số
Với y2 = x ta thấy khi x = 4 thì y2 = 4 suy ra y = 2 hoặc y = -2 nên với một giá trị của x cho hai giá trị của y nên y không là hàm số của x
Đáp án cần chọn là: C
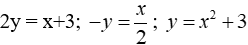
Câu 4: Cho các công thức Có bao nhiêu công thức chứng tỏ rằng y là hàm số của x?
A. 0
B. 1
C. 2
D. 3
Lời giải:
+ Ta có: . Với mỗi giá trị của x ta luôn xác định được chỉ một giá trị tương ứng y nên 2y = x + 3 là một hàm số
+ Ta có: . Với mỗi giá trị của x ta luôn xác định được chỉ một giá trị tương ứng của y nên
là một hàm số
+ Ta có: y = x2 + 3 là một hàm số vì với mỗi giá trị của x ta luôn xác định được chỉ một giá trị tương ứng của y
Đáp án cần chọn là: D
Câu 5: Cho hàm số
Lời giải:
Đáp án cần chọn là: D
Câu 6: Cho hàm số
A. x ≠ -3
B. x = - 3
C. x = 3
D. x ≠ 3
Lời giải:
Đáp án cần chọn là: D
Câu 7: Một hàm số được cho bằng công thức
Lời giải:
Đáp án cần chọn là: B
Câu 8: Một hàm số được cho bằng công thức . Tính f(-1);f(2)
Lời giải:
Đáp án cần chọn là: B
Câu 9: Một hàm số được cho bằng công thức y = f(x) = x2. Tính f(-5) + f(5)
A. 0
B. 25
C. 50
D. 10
Lời giải:
Đáp án cần chọn là: C
Câu 10: Một hàm số được cho bằng công thức y = f(x) = - 2x2. Tính f(-6) - f(6)
A. 0
B. 144
C. -72
D. -144
Lời giải:
Đáp án cần chọn là: A
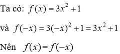
Câu 11: Cho hàm số y = 3x2 + 1. So sánh f(x); f(-x)
A. f(x) > f(-x)
B. f(x) < f(-x)
C. f(x) = f(-x)
D. f(x) ≠ f(-x)
Lời giải:
Đáp án cần chọn là: C
Câu 12: Cho hàm số y = f(x) = -5x2 - 7. So sánh f(x); f(-x)+2
A. f(x) = f(-x)+2
B. f(x) > f(-x)+2
C. f(x) < f(-x)+2
D. f(x) ≤ f(-x)+2
Lời giải:
Đáp án cần chọn là: C
Câu 13: Cho hàm số tuyệt đối y = f(x) = |3x - 1|. Tính
Lời giải:
Đáp án cần chọn là: B
Câu 14: Cho hàm số tuyệt đối y = f(x) = |3 + 4x|. Tính f(-2) + f(3).
A. -10
B. 20
C. 10
D. 26
Lời giải:
Đáp án cần chọn là: B
Câu 15: Cho hàm số xác định bởi y = f(x) = 40x + 20, Với giá tri nào của x thì f(x) = 300?
A. x = 7
B. x = 70
C. x = 17
D. x = 140
Lời giải:
Đáp án cần chọn là: A
Câu 16: Cho hàm số xác định bởi y = f(x) = -4x - 2020. Với giá tri nào của x thì f(x) = -2040?
A. x = 5
B. x = 50
C. x = 1015
D. x = 80
Lời giải:
Từ f(x) = -2040 ta có: -4x - 2020 = -2040 ⇒ -4x = -2040 + 2020 ⇒ -4x = 20 ⇒ x = 5
Vậy x = 5 thì f(x) = -2040
Đáp án cần chọn là: A
Câu 17: Tọa độ điểm M trên hình hình vẽ sau:
A. (-2;-2)
B. (-2 ; 2)
C. (2; -2)
D. (2;2)
Lời giải:
Tọa độ M là (-2 ; 2)
Đáp án cần chọn là: B
Câu 18: Tọa độ điểm A như hình vẽ
A. (-2 ; -3)
B. (2 ; 3)
C. (2; 2)
D. (-2; 3)
Lời giải:
Tọa độ điểm A là (2 ; 3)
Đáp án cần chọn là: B
Câu 19: Điểm nào dưới đây có tọa độ (1; -3)?
A. D
B. E
C. A
D. F
Lời giải:
Từ hình vẽ ta có: A (1;3) ; F(-1;3); D(1;-3); E (-1;-3)
Nên điểm có tọa độ (1;-3) là điểm D
Đáp án cần chọn là: A
Câu 20: Điểm nào dưới đây có tọa độ (-2;2)?
A. A
B. H
C. F
D. G
Lời giải:
Từ hình vẽ ta có: A (2;-2) ; F(2;2) ; G(-2;2) ; H(-1;-2
Nên điểm có tọa độ (-2;2) là điểm G
Đáp án cần chọn là: D
Câu 21: Trên mặt phẳng tọa độ, các điểm có hoành độ bằng o là:
A. Nằm trên trục hoành
B. Nằm trên trục tung
C. Điểm A(0;3)
D. Gốc tọa độ
Lời giải:
Các điểm nằm trên trục hoành đều có tung độ bằng 0.
Các điểm nằm trên trục tung đều có hoành độ bằng 0
Nên chọn B.
Đáp án cần chọn là: B
Câu 22: Trên mặt phẳng tọa độ, các điểm có tung độ bằng o là:
A. Nằm trên trục hoành
B. Nằm trên trục tung
C. Điểm A(1;0)
D. Gốc tọa độ
Lời giải:
Các điểm nằm trên trục hoành đều có tung độ bằng 0.
Các điểm nằm trên trục tung đều có hoành độ bằng 0
Nên chọn A.
Đáp án cần chọn là: B
Câu 23: Trong các điểm M (3;-3);N(4;2);P(-3;-3);Q(-2;1);H(-1;3) có bao nhiêu điểm thuộc góc phần tư thứ hai?
A. 0
B. 1
C. 4
D. 2
Lời giải:
Vẽ các điểm: M (3;-3);N(4;2);P(-3;-3);Q(-2;1);H(-1;3) trên cùng mặt phẳng tọa độ
Ta tháy có hai điểm thuộc góc phần tư thứ hai là:
Q(-2;1);H(-1;3)
Đáp án cần chọn là: D
Câu 24: Trong các điểm M(1;-3);N(1;2);P(3;-3);Q(-2;-1);H(-1;-3) có bao nhiêu điểm thuộc góc phần tư thứ hai?
A. 0
B. 1
C. 4
D. 2
Lời giải:
Vẽ các điểm M(1;-3);N(1;2);P(3;-3);Q(-2;-1);H(-1;-3) trên cùng hệ trục tọa độ
Ta thấy có hai điểm thuộc góc phần tư thứ tư là M(1;-3);P(3;-3)
Đáp án cần chọn là: D
Câu 25: Trên mặt phẳng tọa độ Oxy, vẽ các điểm A(-2;1); B(-6;1); C(-6;6) và D(-2;6). Tứ giác ABCD là hình gì?
A. Hình vuông
B. Hình chữ nhật
C. Hình bình hành
D. Chưa đủ điều kiện xác định
Lời giải:
Vẽ các điểm A(-2;1);B(-6;1);C(-6;6) và D(-2;6) trên cùng mặt phẳng tọa độ
Ta thấy ABCD là hình chữ nhật
Đáp án cần chọn là: B
Câu 26: Trên mặt phẳng tọa độ Oxy, vẽ các điểm A(3;1);B(-2;1);C(3;4) và D(-2;4). Tứ giác ABCD là hình gì?
A. Hình vuông
B. Hình chữ nhật
C. Hình bình hành
D. Chưa đủ điều kiện xác định
Lời giải:
Vẽ các điểm A(3;1);B(-2;1);C(3;4) và D(-2;4) trên cùng mặt phẳng tọa độ
Theo hình vẽ ta thấy ABCD là hình chữ nhật
Đáp án cần chọn là: B
Câu 27: Trên mặt phẳng tọa độ Oxy, vẽ các điểm A(3;1); B(-2;1); C(3;4) và D(-2;4). Tính diện tích tứ giác ABCD ?
A. 15 (cm2)
B. 16 (cm2)
C. 30 (cm2)
D. 40 (cm2)
Lời giải:
Hình chữ nhật ABDC có AB = 5cm; AC = 3cm nên diện tích ABDCABDC bằng 5.3 = 15(cm2)
Đáp án cần chọn là: A
Câu 28: Hãy cho biết các vị trí của các điểm có hoành độ lớn hơn 0 nhỏ hơn 1 và có tung độ lớn hơn 0 nhỏ hơn 4
A. Nằm trong hình chữ nhật được giới hạn bởi bốn đường thẳng x = 0; x = 1; y = 0 ; y = 4, tính cả các điểm thuộc bốn đường thẳng trên.
B. Nằm trong hình chữ nhật được giới hạn bởi bốn đường thẳng x = 0;x = 1; y = 0 ; y = 4, không tính các điểm thuộc bốn đường thẳng trên.
C. Nằm ngoài hình chữ nhật được giới hạn bởi bốn đường thẳng x = 0; x = 1 ; y = 0 ; y = 4, tính cả các điểm thuộc bốn đường thẳng trên.
D. Nằm ngoài hình chữ nhật được giới hạn bởi bốn đường thẳng x = 0; x = 1 ; y = 0; y = 4, không tính các điểm thuộc bốn đường thẳng trên.
Lời giải:
Ta vẽ bốn đường thẳng x = 0; x = 1; y = 0; y = 4 trên cùng mặt phẳng tọa độ
Dựa vào hình vẽ, vị trí các điểm có hoành độ lớn hơn 0 nhỏ hơn 1 và có tung độ lớn hơn 0 nhỏ hơn 4 nằm trong hình chữ nhật được giới hạn bởi bốn đường thẳng x = 0;x = 1; y = 0; y = 4 (phần bôi vàng), không tính các điểm thuộc bốn đường thẳng trên.
Đáp án cần chọn là: B
(199k) Học Toán 7 KNTTHọc Toán 7 CTSTHọc Toán 7 CD
Xem thêm các bài tập trắc nghiệm Toán lớp 7 chọn lọc, có đáp án chi tiết hay khác:
- Trắc nghiệm Đại lượng tỉ tệ thuận
- Trắc nghiệm Đại lượng tỉ lệ nghịch
- Trắc nghiệm Đồ thị của hàm số y = ax (a ≠ 0)
- Bài tập ôn tập Chương 2 Đại Số 7
Lời giải bài tập lớp 7 sách mới:
- Giải bài tập Lớp 7 Kết nối tri thức
- Giải bài tập Lớp 7 Chân trời sáng tạo
- Giải bài tập Lớp 7 Cánh diều
Tủ sách VIETJACK shopee lớp 6-8 (2025):
Đã có app VietJack trên điện thoại, giải bài tập SGK, SBT Soạn văn, Văn mẫu, Thi online, Bài giảng....miễn phí. Tải ngay ứng dụng trên Android và iOS.
Theo dõi chúng tôi miễn phí trên mạng xã hội facebook và youtube:Loạt bài Lý thuyết - Bài tập Toán lớp 7 có đầy đủ Lý thuyết và các dạng bài có lời giải chi tiết được biên soạn bám sát nội dung chương trình sgk Đại số 7 và Hình học 7.
Nếu thấy hay, hãy động viên và chia sẻ nhé! Các bình luận không phù hợp với nội quy bình luận trang web sẽ bị cấm bình luận vĩnh viễn.
- Giải Tiếng Anh 7 Global Success
- Giải Tiếng Anh 7 Friends plus
- Giải sgk Tiếng Anh 7 Smart World
- Giải Tiếng Anh 7 Explore English
- Lớp 7 - Kết nối tri thức
- Soạn văn 7 (hay nhất) - KNTT
- Soạn văn 7 (ngắn nhất) - KNTT
- Giải sgk Toán 7 - KNTT
- Giải sgk Khoa học tự nhiên 7 - KNTT
- Giải sgk Lịch Sử 7 - KNTT
- Giải sgk Địa Lí 7 - KNTT
- Giải sgk Giáo dục công dân 7 - KNTT
- Giải sgk Tin học 7 - KNTT
- Giải sgk Công nghệ 7 - KNTT
- Giải sgk Hoạt động trải nghiệm 7 - KNTT
- Giải sgk Âm nhạc 7 - KNTT
- Lớp 7 - Chân trời sáng tạo
- Soạn văn 7 (hay nhất) - CTST
- Soạn văn 7 (ngắn nhất) - CTST
- Giải sgk Toán 7 - CTST
- Giải sgk Khoa học tự nhiên 7 - CTST
- Giải sgk Lịch Sử 7 - CTST
- Giải sgk Địa Lí 7 - CTST
- Giải sgk Giáo dục công dân 7 - CTST
- Giải sgk Công nghệ 7 - CTST
- Giải sgk Tin học 7 - CTST
- Giải sgk Hoạt động trải nghiệm 7 - CTST
- Giải sgk Âm nhạc 7 - CTST
- Lớp 7 - Cánh diều
- Soạn văn 7 (hay nhất) - Cánh diều
- Soạn văn 7 (ngắn nhất) - Cánh diều
- Giải sgk Toán 7 - Cánh diều
- Giải sgk Khoa học tự nhiên 7 - Cánh diều
- Giải sgk Lịch Sử 7 - Cánh diều
- Giải sgk Địa Lí 7 - Cánh diều
- Giải sgk Giáo dục công dân 7 - Cánh diều
- Giải sgk Công nghệ 7 - Cánh diều
- Giải sgk Tin học 7 - Cánh diều
- Giải sgk Hoạt động trải nghiệm 7 - Cánh diều
- Giải sgk Âm nhạc 7 - Cánh diều


Giải bài tập SGK & SBT
Tài liệu giáo viên
Sách
Khóa học
Thi online
Hỏi đáp

