Lý thuyết Lũy thừa của một số hữu tỉ lớp 7 (có đáp án)
Lý thuyết Lũy thừa của một số hữu tỉ lớp 7 (có đáp án)
(199k) Học Toán 7 KNTTHọc Toán 7 CTSTHọc Toán 7 CD
Câu 1: Chọn câu sai. Với hai số hữu tỉ a, b và các số tự nhiên m, n ta có:
A. am. an = am+n
B. (a.b)m = am. bm
C. (am)n = am+n
D. (am)n = am.n
Lời giải:
Ta có: am. an = am+n ; (a.b)m = am. bm và (am)n = am.n nên câu C sai
Đáp án cần chọn là: C
Câu 2: Chọn câu sai:
A. Muốn nhân hai lũy thừa cùng cơ số, ta giữ nguyên cơ số và cộng hai số mũ
B. Muốn tính lũy thừa của một lũy thừa, ta giữ nguyên cơ số và cộng hai số mũ
C. Lũy thừa của một thương bằng thương các lũy thừa
D. Lũy thừa của một tích bằng tích các lũy thừa
Lời giải:
+ Khi nhân hai lũy thừa cùng cơ số, ta giữ nguyên cơ số và cộng hai số mũ nên A đúng.
+ Khi tính lũy thừa của một lũy thừa, ta giữ nguyên cơ số và nhân hai số mũ nên B sai.
+ Lũy thừa của một thương bằng thương các lũy thừa nên C đúng.
+ Lũy thừa của một tích bằng tích các lũy thừa nên D đúng.
Đáp án cần chọn là: B
Câu 3: Tính
Lời giải:
Đáp án cần chọn là: C
Câu 4: Tính
Lời giải:
Đáp án cần chọn là: B
Câu 5: Chọn khẳng định đúng với số hữu tỉ x, y với m, n ∈ N*, ta có:
Lời giải:
Ta có:
Đáp án cần chọn là: D
Câu 6: Kết quả của phép tính là:
Lời giải:
Đáp án cần chọn là: D
Câu 7: Kết quả của phép tính là:
Lời giải:
Ta có:
Đáp án cần chọn là: D
Câu 8: Chọn câu sai:
Lời giải:
Ta có:
Đáp án cần chọn là: B
Câu 9: Chọn câu đúng:
Lời giải:
Ta có:
Đáp án cần chọn là: D
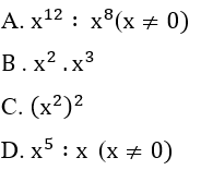
Câu 10: Số x12 (với x ≠ 0) không bằng số nào trong các số sau đây?
Lời giải:
Đáp án cần chọn là: C
Câu 11: Số x4 (với x ≠ 0) không bằng số nào trong các số sau đây?
Lời giải:
Ta có:
Đáp án cần chọn là C
Câu 12: Số 224 viết dưới dạng lũy thừa có số mũ 8 là:
A. 88
B. 98
C. 68
D. Một số đáp án khác
Lời giải:
Đáp án cần chọn là: A
Câu 13: Số 327 viết dứoi dạng lũy thừa có số mũ 9 là:
A. 279
B. 259
C. 99
D. Một số đáp án khác
Lời giải:
Đáp án cần chọn là: C
Câu 14: Số x sao cho 2x = (22)5 là:
A. 5
B. 7
C. 27
D. 10
Lời giải:
Ta có:
Đáp án cần chọn là: D
Câu 15: Số x sao cho (-3)x = (-3)9 ∶(-3)4 là:
A. 4
B. 13
C. 9
D. 5
Lời giải:
Đáp án cần chọn là: D
Câu 16: Số x thỏa mãn là:
Lời giải:
Đáp án cần chọn là: D
Câu 17: Số x thỏa mãn là:
Lời giải:
Đáp án cần chọn là: B
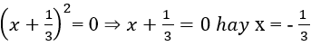
Câu 18: Gía trị nhỏ nhất của biểu thức đạt được là:
Lời giải:
Do đó GTNN biểu thức đạt được là khi và chỉ khi
Vậy giá trị nhỏ nhất cần tìm là
Đáp án cần chọn là: C
Câu 19: Gía trị nhỏ nhất của biểu thức đạt được là:
Lời giải:
Do đó giá trị nhỏ nhất của biểu thức là
Đáp án cần chọn là: C
Câu 20: Cho 20n:5n = 4
A. n = 0
B. n = 3
C. n = 2
D. n = 1
Lời giải:
Đáp án cần chọn là: D
Câu 21: Cho 48n:6n = 64 thì:
A. n = 0
B. n = 3
C. n = 2
D. n = 1
Lời giải:
Đáp án cần chọn là: C
Câu 22: Cho biểu thức . Chọn khẳng định đúng:
A. A >1
B. A < 1
C. A > 2
D. A = 1
Lời giải :
Đáp án cần chọn là: B
Câu 23: Cho biểu thức . Chọn khẳng định đúng:
A. A > 1
B. A < 1
C. A = 2
D. A = 1
Lời giải:
Đáp án cần chọn là: B
Câu 24: Gía trị biểu thức là:
Lời giải:
Ta có:
Đáp án cần chọn là: A
Câu 25: Gía trị biểu thức là
Lời giải:
Đáp án cần chọn là: A
Câu 26: Tìm x, biết (5x-1)6 = 729?
Lời giải:
Đáp án cần chọn là: C
Câu 27: Tìm x, biết (7x + 3)4 = 625
Lời giải:
Đáp án cần chọn là: C
Câu 28: Có bao nhiêu giá trị của x thỏa mãn (-2x + 1)3 = -0,001 ?
A. 0
B. 1
C. 2
D. 3
Lời giải:
Đáp án cần chọn là: B
Câu 29: Có bao nhiêu giá trị của x thỏa mãn (-x+0,2)3 = 0,008 ?
A. 0
B. 1
C. 2
D. 3
Lời giải:
Đáp án cần chọn là: B
Câu 30: Tìm số tự nhiên n thỏa mãn 5n + 5n+2 = 650 ?
A. n = 1
B. n = 2
C. n = 3
D. n = 4
Lời giải:
Vậy n = 2
Đáp án cần chọn là: B
Câu 31: Tìm số tự nhiên n thỏa mãn 7n+1 - 7n = 2058 ?
A. n = 1
B. n = 2
C. n = 3
D. n = 4
Lời giải:
Vậy n = 3
Đáp án cần chọn là: C
Câu 32: Cho biết: . Tính nhanh giá trị của biểu thức sau:
A. 1155
B. 5511
C. 5151
D. 1515
Lời giải:
Đáp án cần chọn là: A
Câu 33: Cho . Chọn đáp án đúng
A. A không phải là một số nguyên
B. A là một số nguyên
C. A là một số nguyên dương
D. A là một số nguyên âm
Lời giải:
Vậy A không phải là số nguyên
Đáp án cần chọn là: A
(199k) Học Toán 7 KNTTHọc Toán 7 CTSTHọc Toán 7 CD
Xem thêm các bài tập trắc nghiệm Toán lớp 7 chọn lọc, có đáp án chi tiết hay khác:
- Trắc nghiệm Tập hợp Q các số hữu tỉ
- Trắc nghiệm Cộng, trừ số hữu tỉ
- Trắc nghiệm Nhân, chia số hữu tỉ
- Trắc nghiệm Giá trị tuyệt đối của một số hữu tỉ. Cộng, trừ, nhân, chia số thập phân
- Trắc nghiệm Tỉ lệ thức
Lời giải bài tập lớp 7 sách mới:
- Giải bài tập Lớp 7 Kết nối tri thức
- Giải bài tập Lớp 7 Chân trời sáng tạo
- Giải bài tập Lớp 7 Cánh diều
Tủ sách VIETJACK shopee lớp 6-8 (2025):
Đã có app VietJack trên điện thoại, giải bài tập SGK, SBT Soạn văn, Văn mẫu, Thi online, Bài giảng....miễn phí. Tải ngay ứng dụng trên Android và iOS.
Theo dõi chúng tôi miễn phí trên mạng xã hội facebook và youtube:Loạt bài Lý thuyết - Bài tập Toán lớp 7 có đầy đủ Lý thuyết và các dạng bài có lời giải chi tiết được biên soạn bám sát nội dung chương trình sgk Đại số 7 và Hình học 7.
Nếu thấy hay, hãy động viên và chia sẻ nhé! Các bình luận không phù hợp với nội quy bình luận trang web sẽ bị cấm bình luận vĩnh viễn.
- Giải Tiếng Anh 7 Global Success
- Giải Tiếng Anh 7 Friends plus
- Giải sgk Tiếng Anh 7 Smart World
- Giải Tiếng Anh 7 Explore English
- Lớp 7 - Kết nối tri thức
- Soạn văn 7 (hay nhất) - KNTT
- Soạn văn 7 (ngắn nhất) - KNTT
- Giải sgk Toán 7 - KNTT
- Giải sgk Khoa học tự nhiên 7 - KNTT
- Giải sgk Lịch Sử 7 - KNTT
- Giải sgk Địa Lí 7 - KNTT
- Giải sgk Giáo dục công dân 7 - KNTT
- Giải sgk Tin học 7 - KNTT
- Giải sgk Công nghệ 7 - KNTT
- Giải sgk Hoạt động trải nghiệm 7 - KNTT
- Giải sgk Âm nhạc 7 - KNTT
- Lớp 7 - Chân trời sáng tạo
- Soạn văn 7 (hay nhất) - CTST
- Soạn văn 7 (ngắn nhất) - CTST
- Giải sgk Toán 7 - CTST
- Giải sgk Khoa học tự nhiên 7 - CTST
- Giải sgk Lịch Sử 7 - CTST
- Giải sgk Địa Lí 7 - CTST
- Giải sgk Giáo dục công dân 7 - CTST
- Giải sgk Công nghệ 7 - CTST
- Giải sgk Tin học 7 - CTST
- Giải sgk Hoạt động trải nghiệm 7 - CTST
- Giải sgk Âm nhạc 7 - CTST
- Lớp 7 - Cánh diều
- Soạn văn 7 (hay nhất) - Cánh diều
- Soạn văn 7 (ngắn nhất) - Cánh diều
- Giải sgk Toán 7 - Cánh diều
- Giải sgk Khoa học tự nhiên 7 - Cánh diều
- Giải sgk Lịch Sử 7 - Cánh diều
- Giải sgk Địa Lí 7 - Cánh diều
- Giải sgk Giáo dục công dân 7 - Cánh diều
- Giải sgk Công nghệ 7 - Cánh diều
- Giải sgk Tin học 7 - Cánh diều
- Giải sgk Hoạt động trải nghiệm 7 - Cánh diều
- Giải sgk Âm nhạc 7 - Cánh diều


Giải bài tập SGK & SBT
Tài liệu giáo viên
Sách
Khóa học
Thi online
Hỏi đáp

