Bài tập trắc nghiệm Từ vuông góc đến song song lớp 7 (có đáp án)
Bài tập trắc nghiệm Từ vuông góc đến song song lớp 7 (có đáp án)
(199k) Học Toán 7 KNTTHọc Toán 7 CTSTHọc Toán 7 CD
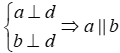
Câu 1: Cho ba đường thẳng phân biệt a, b và c, biết a∥b, a⊥c. Kết luận nào đúng:
Lời giải:
Ta có: (quan hệ tính vuông góc với tính song song)
Đáp án cần chọn là: B
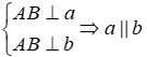
Câu 2: Cho ba đường thẳng phân biệt a, b và c, biết a⊥b, a⊥c. Kết luận nào đúng:
Lời giải:
Ta có: (quan hệ tính vuông góc với tính song song)
Đáp án cần chọn là: A
Câu 3: Cho ba đường thẳng phân biệt a, b và c, biết a∥b, b∥c. Kết luận nào đúng:
Lời giải:
Ta có: (hai đường thẳng cùng song song với một đường thẳng thứ ba thì song song với nhau)
Đáp án cần chọn là: A
Câu 4: Điền cụm từ thích hợp vào chỗ trống: Nếu hai đường thẳng phân biệt cùng song song với đường thẳng thứ ba thì chúng...
A. cắt nhau
B. song song với nhau
C. vuông góc với nhau
D. Cả A, B, C đều sai
Lời giải:
Nếu hai đường thẳng phân biệt cùng song song với đường thẳng thứ ba thì chúng song song với nhau.
Đáp án cần chọn là: B
Câu 5: Cho hình vẽ sau:
Lời giải:
Vì (quan hệ tính vuông góc với tính song song)
Đáp án cần chọn là: D
Câu 6: Cho hình vẽ sau:
Lời giải:
Vì (quan hệ tính vuông góc với tính song song)
Vì a∥b nên (hai góc trong cùng phía bù nhau)
Đáp án cần chọn là: D
Câu 7: Cho hai đường thẳng a và b cùng vuông góc với đường thẳng c,
c vuông góc với a tại M và vuông góc với b tại N. Một đường thẳng m cắt a, b tại A, B. Biết . Số đo góc BAM là:
Lời giải:
Từ đề bài ta có: a⊥c; b⊥c ⇒ a∥b (quan hệ tính vuông góc với tính song song)
Suy ra
(hai góc trong cùng phía bù nhau)
Đáp án cần chọn là: B
Câu 8: Cho hai đường thẳng a và b cùng vuông góc với đường thẳng c,
c vuông góc với a tại M và vuông góc với b tại N. Một đường thẳng m cắt a, b tại A, B. Biết . Số đo góc MAB là:
Lời giải:
Từ đề bài ta có: a⊥c; b⊥c ⇒ a∥b (quan hệ tính vuông góc với tính song song)
Vì a∥b (cmt) nên (hai góc trong cùng phía bù nhau)
Đáp án cần chọn là: B
Câu 9: Cho hình vẽ sau
Biết . Kết luận nào sau đây đúng:
Lời giải:
Ta có: (quan hệ tính vuông góc với tính song song)
Vì (hai góc trong cùng phía bù nhau)
Đáp án cần chọn là: D
Câu 10: Cho hình vẽ sau:
Lời giải:
Ta có: (quan hệ tính vuông góc với tính song song)
Theo đề bài (hai góc trong cùng phía bù nhau)
Đáp án cần chọn là: D
Câu 11: Cho hình vẽ sau:
Lời giải:
Ta có: (quan hệ tính vuông góc với tính song song)
Đáp án cần chọn là: C
Câu 12: Cho hình vẽ
Lời giải:
Ta có: (quan hệ tính vuông góc với tính song song)
Vì nên (hai góc trong cùng phía bù nhau)
Đáp án cần chọn là: C
Câu 13: Cho hình vẽ sau. Tính số đo góc BAD
Lời giải:
Ta thấy: AB⊥BC; DC⊥BC ⇒ AB∥DC (quan hệ tính vuông góc với tính song song)
Suy ra: (hai góc trong cùng phía bù nhau)
Đáp án cần chọn là: A
Câu 14: Cho hình vẽ sau. Tính số đo góc ADC
Lời giải:
Ta thấy: AB⊥BC; DC⊥BC ⇒ AB∥DC (quan hệ tính vuông góc với tính song song)
Suy ra: (hai góc trong cùng phía bù nhau)
Đáp án cần chọn là: A
Câu 15: Cho hình vẽ sau
Lời giải:
Ta có: (quan hệ tính vuông góc với tính song song)
Đáp án cần chọn là: B
Câu 16: Cho hình vẽ sau
Lời giải:
Ta có: (quan hệ tính vuông góc với tính song song)
Đáp án cần chọn là: A
Câu 17: Cho hình vẽ biết AD∥BC. Tính
Lời giải:
Đáp án cần chọn là: A
Câu 18: Cho hình vẽ sau biết AB // DE. Tính
Lời giải:
Vì tia CF nằm trong nên tia CF nằm giữa hai tia CA và tia CD, ta có:
Đáp án cần chọn là: A
Câu 19:Cho hình vẽ sau
Biết . Khi đó chọn câu đúng
Lời giải:
Mà hai góc ở vị trí so le trong nên suy ra Cz//By (dấu hiệu nhận biết hai đường thẳng song song)
Đáp án cần chọn là: B
Câu 20: Cho hình vẽ sau, biết AB//DE, tính
Lời giải:
Theo đề bài AB//DE và AB//CF (theo cách dựng) nên CF//DE
Vì CF//DE(cmt) nên (hai góc so le trong bằng nhau)
Vì tia CF nằm trong (theo cách vẽ) nên tia CF nằm giữa tia CB và tia CE, ta có:
Đáp án cần chọn là: B
Câu 21: Cho hình vẽ sau:
Lời giải:
Đáp án cần chọn là: C
Câu 22: Cho hình vẽ sau, biết . Chọn câu đúng
A. MN//PQ
B. MN cắt PQ
C. MN⊥PQ
D. Cả A, B, C đều sai
Lời giải:
Vì Ox nằm trong nên tia Ox nằm giữa hai tia ON, OP do đó ta có:
mà ở vị trí so le trong nên Ox//PQ
MN//Ox (theo cách vẽ) và Ox//PQ (cmt) nên MN//PQ
Đáp án cần chọn là: A
(199k) Học Toán 7 KNTTHọc Toán 7 CTSTHọc Toán 7 CD
Xem thêm các bài tập trắc nghiệm Toán lớp 7 chọn lọc, có đáp án chi tiết hay khác:
- Trắc nghiệm Hai đường thẳng song song. Tiên đề Ơ-clit về hai đường thẳng song song
- Trắc nghiệm Định lí
- Bài tập ôn tập Chương 1 Hình Học 7
Lời giải bài tập lớp 7 sách mới:
- Giải bài tập Lớp 7 Kết nối tri thức
- Giải bài tập Lớp 7 Chân trời sáng tạo
- Giải bài tập Lớp 7 Cánh diều
Tủ sách VIETJACK shopee lớp 6-8 (2025):
Đã có app VietJack trên điện thoại, giải bài tập SGK, SBT Soạn văn, Văn mẫu, Thi online, Bài giảng....miễn phí. Tải ngay ứng dụng trên Android và iOS.
Theo dõi chúng tôi miễn phí trên mạng xã hội facebook và youtube:Loạt bài Lý thuyết - Bài tập Toán lớp 7 có đầy đủ Lý thuyết và các dạng bài có lời giải chi tiết được biên soạn bám sát nội dung chương trình sgk Đại số 7 và Hình học 7.
Nếu thấy hay, hãy động viên và chia sẻ nhé! Các bình luận không phù hợp với nội quy bình luận trang web sẽ bị cấm bình luận vĩnh viễn.
- Giải Tiếng Anh 7 Global Success
- Giải Tiếng Anh 7 Friends plus
- Giải sgk Tiếng Anh 7 Smart World
- Giải Tiếng Anh 7 Explore English
- Lớp 7 - Kết nối tri thức
- Soạn văn 7 (hay nhất) - KNTT
- Soạn văn 7 (ngắn nhất) - KNTT
- Giải sgk Toán 7 - KNTT
- Giải sgk Khoa học tự nhiên 7 - KNTT
- Giải sgk Lịch Sử 7 - KNTT
- Giải sgk Địa Lí 7 - KNTT
- Giải sgk Giáo dục công dân 7 - KNTT
- Giải sgk Tin học 7 - KNTT
- Giải sgk Công nghệ 7 - KNTT
- Giải sgk Hoạt động trải nghiệm 7 - KNTT
- Giải sgk Âm nhạc 7 - KNTT
- Lớp 7 - Chân trời sáng tạo
- Soạn văn 7 (hay nhất) - CTST
- Soạn văn 7 (ngắn nhất) - CTST
- Giải sgk Toán 7 - CTST
- Giải sgk Khoa học tự nhiên 7 - CTST
- Giải sgk Lịch Sử 7 - CTST
- Giải sgk Địa Lí 7 - CTST
- Giải sgk Giáo dục công dân 7 - CTST
- Giải sgk Công nghệ 7 - CTST
- Giải sgk Tin học 7 - CTST
- Giải sgk Hoạt động trải nghiệm 7 - CTST
- Giải sgk Âm nhạc 7 - CTST
- Lớp 7 - Cánh diều
- Soạn văn 7 (hay nhất) - Cánh diều
- Soạn văn 7 (ngắn nhất) - Cánh diều
- Giải sgk Toán 7 - Cánh diều
- Giải sgk Khoa học tự nhiên 7 - Cánh diều
- Giải sgk Lịch Sử 7 - Cánh diều
- Giải sgk Địa Lí 7 - Cánh diều
- Giải sgk Giáo dục công dân 7 - Cánh diều
- Giải sgk Công nghệ 7 - Cánh diều
- Giải sgk Tin học 7 - Cánh diều
- Giải sgk Hoạt động trải nghiệm 7 - Cánh diều
- Giải sgk Âm nhạc 7 - Cánh diều


Giải bài tập SGK & SBT
Tài liệu giáo viên
Sách
Khóa học
Thi online
Hỏi đáp

